Контакты E-Mail: PMaxim2006@mail.ru Lolita.Einfeld@yandex.ru VK: id197545744 Instagram: @math_example

Решение задач и примеров

Информация
18.03.2024
Инструкция как оплачивать картой Каспи или Halyk для Казахстана
Прочитать инструкцию

18.03.2024
При добавлении товаров в корзину на сумму от 200 до 500 руб. и оформлении заказа активируется 5 % скидка на оплату, на сумму от 500 руб. активируется 10 % скидка на оплату

22.10.2022
Для Беларуси возможно оплачивать только банковской картой выпущенной в России или картой Белкарт МИР.
Также для Беларуси можно оплачивать Банковской картой Белкарт МИР или картой выпущенной в РФ, ЮMoney перейдя в раздел Решения заданий (digiseller) в меню сайта

23.08.2021
ЮMoney+Банковская карта. Принимаются виды оплат: Карты RU/РФ, ЮMoney-кошелек (Снижена комиссия)
Оплата картой Каспи или Halyk для Казахстана, пишите на почтовый ящик pmaxim2006@mail.ru

23.08.2021
В Digiseller можно найти все решения, что и на fizmathim.ru Перейти в Магазин на Digiseller
Можно воспользоваться формой поиска по первым 3-4 словам. Способы оплаты: Банковская карта (RU/РФ), ЮMoney, Webmoney, Unionpay, Alipay, Скины Steam

26.04.2019
- Все задачи оформлены в текстовом редакторе Microsoft Word, в PDF формате рассылаются решения отдельно.

- Ссылки действительны в течение 24 часов до первой попытки скачать (90 минут с момента первого скачивания).

05.02.2019
- Ссылка на скачивание задач, приходит на указанный вами почтовый ящик при оформлении заказа и его оплаты. Дополнительная рассылка оплаченных заказов на E-mail производится в течение нескольких минут/часов, тема писем имеет вид "Заказ xxxxx".
Форма входа
Главная Магазин готовых задач Высшая Математика Решенные методички

Контрольная работа 3 семестр Вариант 1 (1,11,21,31) Сургутский государственный университет


    120 руб.
  •        Единица: шт.
  •        Размер файла (.doc): 109.0Kb

  • Чтобы получить решение задачи: 1) Нажмите "справа" на кнопку "Купить задачу"Купить задачу сейчас
    2) Выбираете один из удобных способов оплаты (ЮMoney+Банковская карта RU/РФ, ЮMoney-кошелек (Снижена комиссия) Webmoney WMZ-USD; WMB-белорусские рубли). Для Казахстана оплата переводом на карту Каспи или Halyk.
    3) Укажите E-Mail, на него придет ссылка на скачивание оплаченной задачи.
    4) Нажмите на «Оформить заказ», затем «Перейти к оплате»

    Перед покупкой задачи рекомендуем Вам ознакомиться с Примерами решений
    Бесплатные решенные примеры по высшей математике
    Пробная покупка "тестовой задачи" магазина за 3 руб. (проверка оплаты/доставки) и инструкция по оплате через Webmoney, ЮMoney+Банковская карта RU/РФ. Перейти на страницу
    Помимо решений в Word'е, также в e-mail-рассылку входят решения купленных задач в PDF формате для удобства просмотра на смартфонах и планшетах. Письма на e-mail приходят с темой "Заказ xxxxx"
Купить задачу
  • Описание

ВУЗ: Сургутский государственный университет
Математика для бакалавров – Промышленное и гражданское строительство 3 й семестр
Методичка по математике Сургутский государственный университет Скачать файл
Решенные задания из Контрольной работы 3-го семестра, номера 1,11,21,31

Задание 1.
1. Исследовать на сходимость ряд


Задание 2.
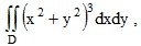
11. Вычислить двойной интеграл
, где область D – часть круга в первой четверти, ограниченного линиями x2 + y2 = 4, y = 0, y = x.

Задание 3.
21. Найти массу пластины с плотностью μ по области D ограниченной линиями:
μ = 7x2 + y, D: x = 1, y = 0, y2 = 4x (y ≥ 0)

Задание 4.
31. Вычислить криволинейный интеграл , где L – четверть окружности x2 + y2 = R2 в первой четверти, пробегаемая против вращения часовой стрелки

Подробное решение. Оформлено в Microsoft Word 2003 (Задание решено с использованием редактора формул)

Если не нашли решение своего варианта, вы можете заказать их у нас.
Решение задачи добавил: Massimo, Воскресенье, 04.12.2016

Просмотренные ранее товары

Соленоид, диаметр которого 4 см поворачивается в магнитном поле на 180° за 0,004 с Напряженность магнитного поля 4,77∙105 А/м Определить среднее значение ЭДС индукции возникающей в соленоиде если
Решенная задача по физике. Раздел: Магнетизм. Электромагнетизм Условие задачи: Соленоид, диаметр которого 4 см, поворачивается в магнитном поле на 180° за 0,004 с. Напряженность магнитного поля 4,77∙105 А/м. Определить среднее значение ЭДС индукции, во...
30 руб.

    Электрон обладает кинетической энергией T = 100 эВ Определить величину дополнительной энергии ΔT которую необходимо сообщить электрону для того чтобы дебройлевская длина волны уменьшилась вдвое
    Решенная задача по физике. Раздел: Квантовая, ядерная физика Условие задачи: Электрон обладает кинетической энергией T = 100 эВ. Определить величину дополнительной энергии ΔT, которую необходимо сообщить электрону для того, чтобы дебройлевская длина во...
    30 руб.

      Тело массой m движется так что зависимость пройденного пути от времени описывается уравнением s = Acosωt где А и ω – постоянные Запишите закон изменения силы от времени
      Решенная задача по физике. Раздел: Кинематика, механика, динамика Условие задачи: Тело массой m движется так, что зависимость пройденного пути от времени описывается уравнением s = Acosωt, где А и ω – постоянные. Запишите закон изменения силы от времен...
      20 руб.

        На дифракционную решетку падает нормально пучок света Для того чтобы увидеть красную линию λ = 700 нм в спектре 2-го порядка зрительную трубу пришлось установить под углом φ = 30° к оси коллиматор
        На дифракционную решетку падает нормально пучок света. Для того чтобы увидеть красную линию (λ = 700 нм) в спектре 2-го порядка, зрительную трубу пришлось установить под углом φ = 30° к оси коллиматора. Найти постоянную d дифракционной решетки. Какое ч...
        20 руб.

          Человек массой m = 60 кг стоящий на краю горизонтальной платформы массой М = 120 кг вращающейся по инерции вокруг неподвижной вертикальной оси с частотой n1 = 12 мин-1 переходит к ее центру Считая
          Решенная задача по физике. Раздел: Кинематика, механика, динамика Условие задачи: Человек массой m = 60 кг, стоящий на краю горизонтальной платформы массой М = 120 кг, вращающейся по инерции вокруг неподвижной вертикальной оси с частотой n1 = 12 мин-1,...
          30 руб.
            Корзина
            Ваша корзина пуста
            Валюта

            • 10 руб. = 0.100 $
            • 1 руб. = 5.000₸
            Поиск в магазине
            Группа Vk.com Рынок цифровых товаров plati.market, игры, игровые аккаунты, itunes, appstore, xbox, steam, ключи, пин-коды Сертификат Webmoney www.webmoney.ru

            Пользовательское соглашение | Договор оферты  ЭЙНФЕЛЬД ЛОЛИТА РИЧАРДОВНА ИНН 502205387028
            Решение контрольных работ по высшей математике
            Fizmathim.ru © 2013 - 2025


            Visa, MasterCard, Мир
            Рейтинг@Mail.ru