Контакты E-Mail: PMaxim2006@mail.ru Lolita.Einfeld@yandex.ru VK: id197545744 Instagram: @math_example

Решение задач и примеров

Информация
18.03.2024
Инструкция как оплачивать картой Каспи или Halyk для Казахстана
Прочитать инструкцию

18.03.2024
При добавлении товаров в корзину на сумму от 200 до 500 руб. и оформлении заказа активируется 5 % скидка на оплату, на сумму от 500 руб. активируется 10 % скидка на оплату

22.10.2022
Для Беларуси возможно оплачивать только банковской картой выпущенной в России или картой Белкарт МИР.
Также для Беларуси можно оплачивать Банковской картой Белкарт МИР или картой выпущенной в РФ, ЮMoney перейдя в раздел Решения заданий (digiseller) в меню сайта

23.08.2021
ЮMoney+Банковская карта. Принимаются виды оплат: Карты RU/РФ, ЮMoney-кошелек (Снижена комиссия)
Оплата картой Каспи или Halyk для Казахстана, пишите на почтовый ящик pmaxim2006@mail.ru

23.08.2021
В Digiseller можно найти все решения, что и на fizmathim.ru Перейти в Магазин на Digiseller
Можно воспользоваться формой поиска по первым 3-4 словам. Способы оплаты: Банковская карта (RU/РФ), ЮMoney, Webmoney, Unionpay, Alipay, Скины Steam

26.04.2019
- Все задачи оформлены в текстовом редакторе Microsoft Word, в PDF формате рассылаются решения отдельно.

- Ссылки действительны в течение 24 часов до первой попытки скачать (90 минут с момента первого скачивания).

05.02.2019
- Ссылка на скачивание задач, приходит на указанный вами почтовый ящик при оформлении заказа и его оплаты. Дополнительная рассылка оплаченных заказов на E-mail производится в течение нескольких минут/часов, тема писем имеет вид "Заказ xxxxx".
Форма входа
Главная Магазин готовых задач Высшая Математика Решебник Арутюнова

Задание N570 Решебник Арутюнова Ю.С. Высшая математика


    20 руб.
  •        Единица: шт.
  •        Размер файла (.doc): 28.5Kb
  • Теги: Высшая математика, Вариант N10, Задания 561-570, Решебник Арутюнова
    Чтобы получить решение задачи: 1) Нажмите "справа" на кнопку "Купить задачу"Купить задачу сейчас
    2) Выбираете один из удобных способов оплаты (ЮMoney+Банковская карта RU/РФ, ЮMoney-кошелек (Снижена комиссия) Webmoney WMZ-USD; WMB-белорусские рубли). Для Казахстана оплата переводом на карту Каспи или Halyk.
    3) Укажите E-Mail, на него придет ссылка на скачивание оплаченной задачи.
    4) Нажмите на «Оформить заказ», затем «Перейти к оплате»

    Перед покупкой задачи рекомендуем Вам ознакомиться с Примерами решений
    Бесплатные решенные примеры по высшей математике
    Пробная покупка "тестовой задачи" магазина за 3 руб. (проверка оплаты/доставки) и инструкция по оплате через Webmoney, ЮMoney+Банковская карта RU/РФ. Перейти на страницу
    Помимо решений в Word'е, также в e-mail-рассылку входят решения купленных задач в PDF формате для удобства просмотра на смартфонах и планшетах. Письма на e-mail приходят с темой "Заказ xxxxx"
Купить задачу
  • Описание

Методические указания и контрольные задания (с программой) для студентов-заочников инженерно-технических специальностей высших учебных заведений Скачать файл

12. Теория вероятностей и математическая статистика

Готовое решение задачи. Решебник Арутюнова. Задание №570.

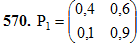
561-570. Задана матрица P1 вероятностей перехода цепи Маркова из состояния i (i = 1, 2) в состояние j (j = 1, 2) за один шаг. Найти матрицу P2 перехода из состояния i в состояние j за два шага.



Подробное решение. Оформлено в Microsoft Word 2003 (Задание решено с использованием редактора формул)

Если у вас похожее задание, прорешаю на заказ, пишите мне на почту.
Решение задачи добавил: Massimo, Пятница, 09.12.2016

Просмотренные ранее товары

Задание N188 Решебник Арутюнова Ю.С. Высшая математика
Методические указания и контрольные задания (с программой) для студентов-заочников инженерно-технических специальностей высших учебных заведений Скачать файл 4. Производная и ее приложения Готовое решение задачи. Решебник Арутюнова. Задание №188. 181 –...
30 руб.

    Задание N220 Решебник Арутюнова Ю.С. Высшая математика
    Методические указания и контрольные задания (с программой) для студентов-заочников инженерно-технических специальностей высших учебных заведений Скачать файл 5. Приложения дифференциального исчисления Готовое решение задачи. Решебник Арутюнова. Задание...
    40 руб.

      Задание N222 Решебник Арутюнова Ю.С. Высшая математика
      Методические указания и контрольные задания (с программой) для студентов-заочников инженерно-технических специальностей высших учебных заведений Скачать файл 5. Приложения дифференциального исчисления Готовое решение задачи. Решебник Арутюнова. Задание...
      40 руб.

        Задание N91 Решебник Арутюнова Ю.С. Высшая математика
        Методические указания и контрольные задания (с программой) для студентов-заочников инженерно-технических специальностей высших учебных заведений Скачать файл 2. Элементы линейной алгебры Готовое решение задачи. Решебник Арутюнова. Задание №91. 91 – 100...
        40 руб.

          Задание N102 Решебник Арутюнова Ю.С. Высшая математика
          Методические указания и контрольные задания (с программой) для студентов-заочников инженерно-технических специальностей высших учебных заведений Скачать файл 3. Введение в математический анализ Готовое решение задачи. Решебник Арутюнова. Задание №102. ...
          30 руб.
            Корзина
            Ваша корзина пуста
            Валюта

            • 1 руб. = 5.000₸
            • 10 руб. = 0.100 $
            Поиск в магазине
            Группа Vk.com Рынок цифровых товаров plati.market, игры, игровые аккаунты, itunes, appstore, xbox, steam, ключи, пин-коды Сертификат Webmoney www.webmoney.ru

            Пользовательское соглашение | Договор оферты  ЭЙНФЕЛЬД ЛОЛИТА РИЧАРДОВНА ИНН 502205387028
            Решение контрольных работ по высшей математике
            Fizmathim.ru © 2013 - 2026


            Visa, MasterCard, Мир
            Рейтинг@Mail.ru