Контакты E-Mail: PMaxim2006@mail.ru Lolita.Einfeld@yandex.ru VK: id197545744 Instagram: @math_example

Решение задач и примеров

Информация
18.03.2024
Инструкция как оплачивать картой Каспи или Halyk для Казахстана
Прочитать инструкцию

18.03.2024
При добавлении товаров в корзину на сумму от 200 до 500 руб. и оформлении заказа активируется 5 % скидка на оплату, на сумму от 500 руб. активируется 10 % скидка на оплату

22.10.2022
Для Беларуси возможно оплачивать только банковской картой выпущенной в России или картой Белкарт МИР.
Также для Беларуси можно оплачивать Банковской картой Белкарт МИР или картой выпущенной в РФ, ЮMoney перейдя в раздел Решения заданий (digiseller) в меню сайта

23.08.2021
ЮMoney+Банковская карта. Принимаются виды оплат: Карты RU/РФ, ЮMoney-кошелек (Снижена комиссия)
Оплата картой Каспи или Halyk для Казахстана, пишите на почтовый ящик pmaxim2006@mail.ru

23.08.2021
В Digiseller можно найти все решения, что и на fizmathim.ru Перейти в Магазин на Digiseller
Можно воспользоваться формой поиска по первым 3-4 словам. Способы оплаты: Банковская карта (RU/РФ), ЮMoney, Webmoney, Unionpay, Alipay, Скины Steam

26.04.2019
- Все задачи оформлены в текстовом редакторе Microsoft Word, в PDF формате рассылаются решения отдельно.

- Ссылки действительны в течение 24 часов до первой попытки скачать (90 минут с момента первого скачивания).

05.02.2019
- Ссылка на скачивание задач, приходит на указанный вами почтовый ящик при оформлении заказа и его оплаты. Дополнительная рассылка оплаченных заказов на E-mail производится в течение нескольких минут/часов, тема писем имеет вид "Заказ xxxxx".
Форма входа
Главная Магазин готовых задач Решаем на заказ Дифференциальные уравнения

Заказ N0020 Математика Математический анализ Решите дифференциальные уравнения


    140 руб.
  •        Единица: шт.
  •        Размер файла (.doc): 220.5Kb

  • Чтобы получить решение задачи: 1) Нажмите "справа" на кнопку "Купить задачу"Купить задачу сейчас
    2) Выбираете один из удобных способов оплаты (ЮMoney+Банковская карта RU/РФ, ЮMoney-кошелек (Снижена комиссия) Webmoney WMZ-USD; WMB-белорусские рубли). Для Казахстана оплата переводом на карту Каспи или Halyk.
    3) Укажите E-Mail, на него придет ссылка на скачивание оплаченной задачи.
    4) Нажмите на «Оформить заказ», затем «Перейти к оплате»

    Перед покупкой задачи рекомендуем Вам ознакомиться с Примерами решений
    Бесплатные решенные примеры по высшей математике
    Пробная покупка "тестовой задачи" магазина за 3 руб. (проверка оплаты/доставки) и инструкция по оплате через Webmoney, ЮMoney+Банковская карта RU/РФ. Перейти на страницу
    Помимо решений в Word'е, также в e-mail-рассылку входят решения купленных задач в PDF формате для удобства просмотра на смартфонах и планшетах. Письма на e-mail приходят с темой "Заказ xxxxx"
Купить задачу
  • Описание

Решенное на заказ задание по математике

Дифференциальные уравнения
Вариант №4

1. Найти общее решение дифференциального уравнения второго порядка:
а) yʹʹ + yʹtgx = cosx∙tgx,
б) 2yʹ2 = (y – 1)yʹʹ

2. Записать вид частного решения уравнения yʹʹ – 3yʹ + 2y = f(x), если:
а) f(x) = x4 + 1;
б) f(x) = 10e2x
в) f(x) = xe5x
г) f(x) = cos5x
д) f(x) = 2xsin2x

3. Решить задачу Коши:
yʹʹ – 4yʹ + 4y = 2sin2x, y(0) = 0, yʹ(0) = –1

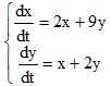
4. Решить систему дифференциальных уравнений:


Подробное решение. Оформлено в Microsoft Word 2003 (Задание решено с использованием редактора формул)
Решение подобного задания, вы можете заказать у нас
Решение задачи добавил: Massimo, Пятница, 27.01.2017

Просмотренные ранее товары

На какой орбите скорость электрона в атоме водорода равна 734 км/с
Решенная задача по физике. Раздел: Квантовая, ядерная физика Условие задачи: На какой орбите скорость электрона в атоме водорода равна 734 км/с? Подробное решение. Оформлено в Microsoft Word 2003. (Задание решено с использованием редактора формул)
30 руб.

    Для умягчения воды, содержащей сульфат и гидрокарбонат кальция, 100 мл ее прокипятили, при этом образовалось 0,2 г осадка.
    Для умягчения воды, содержащей сульфат и гидрокарбонат кальция, 100 мл ее прокипятили, при этом образовалось 0,2 г осадка. Затем воду обработали избытком соды, в результате чего выпало 0,1 г осадка. Рассчитайте массы солей в 1 кг воды (плотность воды п...
    30 руб.

      Определить: 1) число N молекул воды занимающей при температуре t = 4 °C объем V =1 мм3; 2) массу m молекулы воды
      Определить: 1) число N молекул воды, занимающей при температуре t = 4 °C объем V =1 мм3; 2) массу m молекулы воды; 3) диаметр d молекулы воды, считая, что молекулы имеют форму шариков, соприкасающихся друг с другом. Подробное решение. Оформлено в Micros..
      30 руб.

        Определить долю ω молекул энергия которых заключена в пределах от ε1=0 до ε2=0,01kТ
        Определить долю w молекул, энергия которых заключена в пределах от e1=0 до e2=0,01kТ Подробное решение. Оформлено в Microsoft Word 2003
        30 руб.

          Плотность насыщенного пара ртути при 20 °С равна 0,02 г/м3 Найти давление пара при этой температуре
          Решенная задача по физике. Раздел: Молекулярная физика. Термодинамика Условие задачи: Плотность насыщенного пара ртути при 20 °С равна 0,02 г/м3. Найти давление пара при этой температуре.
          15 руб.
            Корзина
            Ваша корзина пуста
            Валюта

            • 1 руб. = 5.000₸
            • 10 руб. = 0.100 $
            Поиск в магазине
            Группа Vk.com Рынок цифровых товаров plati.market, игры, игровые аккаунты, itunes, appstore, xbox, steam, ключи, пин-коды Сертификат Webmoney www.webmoney.ru

            Пользовательское соглашение | Договор оферты  ЭЙНФЕЛЬД ЛОЛИТА РИЧАРДОВНА ИНН 502205387028
            Решение контрольных работ по высшей математике
            Fizmathim.ru © 2013 - 2026


            Visa, MasterCard, Мир
            Рейтинг@Mail.ru