Контакты E-Mail: PMaxim2006@mail.ru Lolita.Einfeld@yandex.ru VK: id197545744 Instagram: @math_example

Решение задач и примеров

Информация
18.03.2024
Инструкция как оплачивать картой Каспи или Halyk для Казахстана
Прочитать инструкцию

18.03.2024
При добавлении товаров в корзину на сумму от 200 до 500 руб. и оформлении заказа активируется 5 % скидка на оплату, на сумму от 500 руб. активируется 10 % скидка на оплату

22.10.2022
Для Беларуси возможно оплачивать только банковской картой выпущенной в России или картой Белкарт МИР.
Также для Беларуси можно оплачивать Банковской картой Белкарт МИР или картой выпущенной в РФ, ЮMoney перейдя в раздел Решения заданий (digiseller) в меню сайта

23.08.2021
ЮMoney+Банковская карта. Принимаются виды оплат: Карты RU/РФ, ЮMoney-кошелек (Снижена комиссия)
Оплата картой Каспи или Halyk для Казахстана, пишите на почтовый ящик pmaxim2006@mail.ru

23.08.2021
В Digiseller можно найти все решения, что и на fizmathim.ru Перейти в Магазин на Digiseller
Можно воспользоваться формой поиска по первым 3-4 словам. Способы оплаты: Банковская карта (RU/РФ), ЮMoney, Webmoney, Unionpay, Alipay, Скины Steam

26.04.2019
- Все задачи оформлены в текстовом редакторе Microsoft Word, в PDF формате рассылаются решения отдельно.

- Ссылки действительны в течение 24 часов до первой попытки скачать (90 минут с момента первого скачивания).

05.02.2019
- Ссылка на скачивание задач, приходит на указанный вами почтовый ящик при оформлении заказа и его оплаты. Дополнительная рассылка оплаченных заказов на E-mail производится в течение нескольких минут/часов, тема писем имеет вид "Заказ xxxxx".
Форма входа
Главная Магазин готовых задач Решаем на заказ Контрольные на заказ

Заказ N0033 Математика контрольные задания (решение индивидуальных заданий по математике)


    370 руб.
  •        Единица: шт.
  •        Размер файла (.doc): 682.5Kb

  • Чтобы получить решение задачи: 1) Нажмите "справа" на кнопку "Купить задачу"Купить задачу сейчас
    2) Выбираете один из удобных способов оплаты (ЮMoney+Банковская карта RU/РФ, ЮMoney-кошелек (Снижена комиссия) Webmoney WMZ-USD; WMB-белорусские рубли). Для Казахстана оплата переводом на карту Каспи или Halyk.
    3) Укажите E-Mail, на него придет ссылка на скачивание оплаченной задачи.
    4) Нажмите на «Оформить заказ», затем «Перейти к оплате»

    Перед покупкой задачи рекомендуем Вам ознакомиться с Примерами решений
    Бесплатные решенные примеры по высшей математике
    Пробная покупка "тестовой задачи" магазина за 3 руб. (проверка оплаты/доставки) и инструкция по оплате через Webmoney, ЮMoney+Банковская карта RU/РФ. Перейти на страницу
    Помимо решений в Word'е, также в e-mail-рассылку входят решения купленных задач в PDF формате для удобства просмотра на смартфонах и планшетах. Письма на e-mail приходят с темой "Заказ xxxxx"
Купить задачу
  • Описание

Решенная на заказ контрольная работа по математике

Контрольная работа
1. Даны декартовы координаты вершин пирамиды A1A2A3A4. Найти:
1. длину ребер A1A2, A1A3 и A1A4;
2. угол между ребрами A1A2 и A1A4;
3. угол между ребром A1A4 и гранью A1A2A3;
4. площадь грани A1A2A3;
5. объем пирамиды;
6. уравнение прямой A1A2;
7. уравнение плоскости A1A2A3;
8. уравнение высоты, опущенной из вершины A4 на грань A1A2A3;
9. сделать чертеж.

A1(6,3,6), A2(4,6,7), A3(5,7,2), A4(5,5,0).

2. Кривая задана уравнением r = r(φ) в полярной системе координат. Требуется:
1) построить линию по точкам на отрезке 0 ≤ φ ≤ 2π, придавая φ значения через промежуток π/12;
2) найти уравнение данной кривой в декартовой системе координат, у которой начало совпадает с полюсом, а положительная полуось абсцисс – с полярной осью;
3) по уравнению в декартовой системе координат определить, какая это кривая.
r = 5/(3 + cosφ).

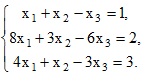
3. Дана система линейных уравнений
Найти ее решения по правилу Крамера и методом Гаусса


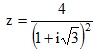
4. Дано комплексное число z. Требуется:
1) записать число z в алгебраической, тригонометрической и показательной формах.
2) Найти все кубические корни числа z.


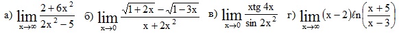
5. Найти пределы функций, не пользуясь правилом Лопиталя.


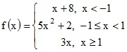
6. Задана функция y = f(x). Найти точки разрыва и определить их тип. Сделать схематический чертеж.


7. Найти производные dy/dx данных функций.


8. Применяя формулу Тейлора с остаточным членом в форме Лагранжа к функции f(x) = ex, вычислить значение ea с точностью до 0,0001.

a=0,59.

9. Исследовать методами дифференциального исчисления функцию y = f(x) и, используя результаты исследования, построить ее график.
a) y = (5x3 + 4)/x
б) y = xe−2x2

Подробное решение. Оформлено в Microsoft Word 2003 (Задание решено с использованием редактора формул)
Решение подобного задания, вы можете заказать у нас
Решение задачи добавил: Massimo, Пятница, 27.01.2017

Просмотренные ранее товары

Заказ N0036 Математика контрольные задания (решение индивидуальных заданий по математике)
Решенная на заказ контрольная по математике Исследуйте функцию и постройте ее график f(x) = (x3 − 2)/x2 Задание 53 Вариант 1. 1. Найти частные решения дифференциальных уравнений: а) (x + 3)dy – (y + 2)dx = 0, если y = 3 при x = 2; б) y′ + 2y + 4 = 0, е...
160 руб.

    Проводится 100 независимых бросаний монеты Найти вероятность того что герб выпадет от 45 до 55 раз
    Решенная задача по теории вероятностей и математической статистике. Условие задачи: 307. Проводится 100 независимых бросаний монеты. Найти вероятность того, что герб выпадет от 45 до 55 раз. Подробное решение. Оформлено в Microsoft Word 2003. (Задание ...
    30 руб.
      Корзина
      Ваша корзина пуста
      Валюта

      • 10 руб. = 0.100 $
      • 1 руб. = 5.000₸
      Поиск в магазине
      Группа Vk.com Рынок цифровых товаров plati.market, игры, игровые аккаунты, itunes, appstore, xbox, steam, ключи, пин-коды Сертификат Webmoney www.webmoney.ru

      Пользовательское соглашение | Договор оферты  ЭЙНФЕЛЬД ЛОЛИТА РИЧАРДОВНА ИНН 502205387028
      Решение контрольных работ по высшей математике
      Fizmathim.ru © 2013 - 2026


      Visa, MasterCard, Мир
      Рейтинг@Mail.ru