Контакты E-Mail: PMaxim2006@mail.ru Lolita.Einfeld@yandex.ru VK: id197545744 Instagram: @math_example

Решение задач и примеров

Информация
18.03.2024
Инструкция как оплачивать картой Каспи или Halyk для Казахстана
Прочитать инструкцию

18.03.2024
При добавлении товаров в корзину на сумму от 200 до 500 руб. и оформлении заказа активируется 5 % скидка на оплату, на сумму от 500 руб. активируется 10 % скидка на оплату

22.10.2022
Для Беларуси возможно оплачивать только банковской картой выпущенной в России или картой Белкарт МИР.
Также для Беларуси можно оплачивать Банковской картой Белкарт МИР или картой выпущенной в РФ, ЮMoney перейдя в раздел Решения заданий (digiseller) в меню сайта

23.08.2021
ЮMoney+Банковская карта. Принимаются виды оплат: Карты RU/РФ, ЮMoney-кошелек (Снижена комиссия)
Оплата картой Каспи или Halyk для Казахстана, пишите на почтовый ящик pmaxim2006@mail.ru

23.08.2021
В Digiseller можно найти все решения, что и на fizmathim.ru Перейти в Магазин на Digiseller
Можно воспользоваться формой поиска по первым 3-4 словам. Способы оплаты: Банковская карта (RU/РФ), ЮMoney, Webmoney, Unionpay, Alipay, Скины Steam

26.04.2019
- Все задачи оформлены в текстовом редакторе Microsoft Word, в PDF формате рассылаются решения отдельно.

- Ссылки действительны в течение 24 часов до первой попытки скачать (90 минут с момента первого скачивания).

05.02.2019
- Ссылка на скачивание задач, приходит на указанный вами почтовый ящик при оформлении заказа и его оплаты. Дополнительная рассылка оплаченных заказов на E-mail производится в течение нескольких минут/часов, тема писем имеет вид "Заказ xxxxx".
Форма входа
Главная Магазин готовых задач Высшая Математика Решенные методички

Контрольная работа N2 Математический анализ Вариант 2 Уральский государственный экономический университет (УрГЭУ), Екатеринбург 2011 Математика


    270 руб.
  •        Единица: шт.
  •        Размер файла (.doc): 338.0Kb
  • Теги: Вариант2, математика, контрольная N2, УрГЭУ
    Чтобы получить решение задачи: 1) Нажмите "справа" на кнопку "Купить задачу"Купить задачу сейчас
    2) Выбираете один из удобных способов оплаты (ЮMoney+Банковская карта RU/РФ, ЮMoney-кошелек (Снижена комиссия) Webmoney WMZ-USD; WMB-белорусские рубли). Для Казахстана оплата переводом на карту Каспи или Halyk.
    3) Укажите E-Mail, на него придет ссылка на скачивание оплаченной задачи.
    4) Нажмите на «Оформить заказ», затем «Перейти к оплате»

    Перед покупкой задачи рекомендуем Вам ознакомиться с Примерами решений
    Бесплатные решенные примеры по высшей математике
    Пробная покупка "тестовой задачи" магазина за 3 руб. (проверка оплаты/доставки) и инструкция по оплате через Webmoney, ЮMoney+Банковская карта RU/РФ. Перейти на страницу
    Помимо решений в Word'е, также в e-mail-рассылку входят решения купленных задач в PDF формате для удобства просмотра на смартфонах и планшетах. Письма на e-mail приходят с темой "Заказ xxxxx"
Купить задачу
  • Описание

ВУЗ: Уральский государственный экономический университет (УрГЭУ), Екатеринбург 2011
Высшая математика. Математический анализ. Учебно-методический комплекс
Методичка по математике Уральский государственный экономический университет Скачать файл
Решенные задания из Контрольной работы N2, вариант 2

КОНТРОЛЬНАЯ РАБОТА № 2

ЗАДАНИЕ 1. (тема 1) ПРЕДЕЛЫ ФУНКЦИЙ
2. Вычислить пределы:


ЗАДАНИЕ 2. (тема 3) ИССЛЕДОВАНИЕ ФУНКЦИЙ
Используя дифференциальное исчисление, провести полное исследование функции и построить ее график:
2. y = x2 – 6x + 3

ЗАДАНИЕ 3. (тема 4) НЕОПРЕДЕЛЕННЫЙ ИНТЕГРАЛ
2. Вычислить неопределенные интегралы, используя методы интегрирования:
а) – непосредственное интегрирование;
б) – замены переменной;
в) – интегрирования по частям.


ЗАДАНИЕ 4. (тема 5) ОПРЕДЕЛЕННЫЙ ИНТЕГРАЛ
4.1 Вычислить определенный интеграл:


4.2 Вычислить площадь плоской фигуры, ограниченной заданными кривыми. Сделать чертеж.
2. y = x2, y = −x2, x = 1

ЗАДАНИЕ 5. (тема 6) НЕСОБСТВЕННЫЙ ИНТЕГРАЛ
2. Вычислить интеграл или установить его расходимость:


ЗАДАНИЕ 6. (тема 7) РЯДЫ
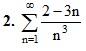
6.1 Числовые ряды. Исследовать ряд на сходимость


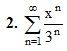
6.2 Степенные ряды. Определить область сходимости степенного ряда


ЗАДАНИЕ 7. (тема 8) ФУНКЦИИ НЕСКОЛЬКИХ ПЕРЕМЕННЫХ
Исследовать функцию двух переменных на экстремум:
2. z = x3/3 + y2

ЗАДАНИЕ 8. (тема 9) РЕШЕНИЕ ДИФФЕРЕНЦИАЛЬНЫХ УРАВНЕНИЙ
8.1 Найти общее и частное решения дифференциального уравнения:
2. (2x + 1)dy + y2dx = 0, y(0) = 1

8.2. Найти частное решение дифференциального уравнения, удовлетворяющее заданным начальным условиям: y(0)=1; y′(0)=−1
2. y′′ − 4y′ + 8y = 0

Подробное решение. Оформлено в Microsoft Word 2003 (Задание решено с использованием редактора формул)

Если не нашли решение своего варианта, вы можете заказать его у нас.
Решение задачи добавил: Massimo, Воскресенье, 05.02.2017
Корзина
Ваша корзина пуста
Валюта

  • 1 руб. = 5.000₸
  • 10 руб. = 0.100 $
Поиск в магазине
Группа Vk.com Рынок цифровых товаров plati.market, игры, игровые аккаунты, itunes, appstore, xbox, steam, ключи, пин-коды Сертификат Webmoney www.webmoney.ru

Пользовательское соглашение | Договор оферты  ЭЙНФЕЛЬД ЛОЛИТА РИЧАРДОВНА ИНН 502205387028
Решение контрольных работ по высшей математике
Fizmathim.ru © 2013 - 2026


Visa, MasterCard, Мир
Рейтинг@Mail.ru