Контакты E-Mail: PMaxim2006@mail.ru Lolita.Einfeld@yandex.ru VK: id197545744 Instagram: @math_example

Решение задач и примеров

Информация
18.03.2024
Инструкция как оплачивать картой Каспи или Halyk для Казахстана
Прочитать инструкцию

18.03.2024
При добавлении товаров в корзину на сумму от 200 до 500 руб. и оформлении заказа активируется 5 % скидка на оплату, на сумму от 500 руб. активируется 10 % скидка на оплату

22.10.2022
Для Беларуси возможно оплачивать только банковской картой выпущенной в России или картой Белкарт МИР.
Также для Беларуси можно оплачивать Банковской картой Белкарт МИР или картой выпущенной в РФ, ЮMoney перейдя в раздел Решения заданий (digiseller) в меню сайта

23.08.2021
ЮMoney+Банковская карта. Принимаются виды оплат: Карты RU/РФ, ЮMoney-кошелек (Снижена комиссия)
Оплата картой Каспи или Halyk для Казахстана, пишите на почтовый ящик pmaxim2006@mail.ru

23.08.2021
В Digiseller можно найти все решения, что и на fizmathim.ru Перейти в Магазин на Digiseller
Можно воспользоваться формой поиска по первым 3-4 словам. Способы оплаты: Банковская карта (RU/РФ), ЮMoney, Webmoney, Unionpay, Alipay, Скины Steam

26.04.2019
- Все задачи оформлены в текстовом редакторе Microsoft Word, в PDF формате рассылаются решения отдельно.

- Ссылки действительны в течение 24 часов до первой попытки скачать (90 минут с момента первого скачивания).

05.02.2019
- Ссылка на скачивание задач, приходит на указанный вами почтовый ящик при оформлении заказа и его оплаты. Дополнительная рассылка оплаченных заказов на E-mail производится в течение нескольких минут/часов, тема писем имеет вид "Заказ xxxxx".
Форма входа
Главная Магазин готовых задач Высшая Математика Решенные методички

Контрольная работа 5 Вариант 2 часть 2 Омский государственный университет путей сообщения Математика, Омск 2016


    100 руб.
  •        Единица: шт.
  •        Размер файла (.doc): 151.5Kb
  • Теги: математика, ОмГУПС, Контрольная работа 5, Вариант2
    Чтобы получить решение задачи: 1) Нажмите "справа" на кнопку "Купить задачу"Купить задачу сейчас
    2) Выбираете один из удобных способов оплаты (ЮMoney+Банковская карта RU/РФ, ЮMoney-кошелек (Снижена комиссия) Webmoney WMZ-USD; WMB-белорусские рубли). Для Казахстана оплата переводом на карту Каспи или Halyk.
    3) Укажите E-Mail, на него придет ссылка на скачивание оплаченной задачи.
    4) Нажмите на «Оформить заказ», затем «Перейти к оплате»

    Перед покупкой задачи рекомендуем Вам ознакомиться с Примерами решений
    Бесплатные решенные примеры по высшей математике
    Пробная покупка "тестовой задачи" магазина за 3 руб. (проверка оплаты/доставки) и инструкция по оплате через Webmoney, ЮMoney+Банковская карта RU/РФ. Перейти на страницу
    Помимо решений в Word'е, также в e-mail-рассылку входят решения купленных задач в PDF формате для удобства просмотра на смартфонах и планшетах. Письма на e-mail приходят с темой "Заказ xxxxx"
Купить задачу
  • Описание

ВУЗ: Омский государственный университет путей сообщения
Высшая математика. Часть 2: Учебно-методическое пособие для студентов заочного факультета., Омск 2016
Методичка по математике Омский государственный университет путей сообщения Скачать файл
Решенные задания
Контрольная работа 5
Неопределенный и определенный интегралы
Вариант 2

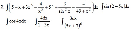
Задача 1.Найти неопределенные интегралы с использованием таблицы интегралов, основных правил интегрирования и правила о линейной замене.


Задача 2. Найти неопределенные интегралы методом замены переменной или интегрирования по частям.


Задача 3. Найти неопределенный интеграл от рациональной дроби.


Задача 4. Найти площадь фигуры, ограниченной заданными линиями.
2. y = x, y = 5x2 – 4, x ≥ 0

Подробное решение. Оформлено в Microsoft Word 2003 (Задание решено с использованием редактора формул)

Если не нашли решение своего варианта, вы можете заказать его у нас.
Решение задачи добавил: Massimo, Вторник, 21.02.2017

Просмотренные ранее товары

Найти скорость υ протона если его кинетическая энергия равна 1) T=1 МэВ 2) T=1 ГэВ
Решенная задача по физике. Раздел: Элементы теории относительности Условие задачи: Найти скорость υ протона, если его кинетическая энергия равна: 1) T=1 МэВ; 2) T=1 ГэВ. Подробное решение. Оформлено в Microsoft Word 2003. (Задание решено с использовани...
30 руб.

    В урне 6 белых и 10 черных шаров Из урны наугад вытащили 1 шар Какова вероятность того что этот шар белый
    Решенная задача по теории вероятностей и математической статистике. Условие задачи: 4578. В урне 6 белых и 10 черных шаров. Из урны наугад вытащили 1 шар. Какова вероятность того, что этот шар белый? Подробное решение. Оформлено в Microsoft Word 2003. ...
    20 руб.

      При какой скорости υ кинетическая энергия любой частицы вещества равна ее энергии покоя
      Решенная задача по физике. Раздел: Элементы теории относительности Условие задачи: При какой скорости υ кинетическая энергия любой частицы вещества равна ее энергии покоя? Подробное решение. Оформлено в Microsoft Word 2003. (Задание решено с использова...
      30 руб.

        Циклотрон ускоряет протоны до энергии 10 МэВ Определить радиус дуантов циклотрона при индукции магнитного поля 1 Тл
        Решенная задача по физике. Раздел: Магнетизм. Электромагнетизм Условие задачи: Циклотрон ускоряет протоны до энергии 10 МэВ. Определить радиус дуантов циклотрона при индукции магнитного поля 1 Тл. Подробное решение. Оформлено в Microsoft Word 2003. (За...
        30 руб.

          В урне 40 черных и 160 белых шаров Из неё наугад вынимается один шар Определите вероятность того что этот шар будет черным
          Решенная задача по теории вероятностей и математической статистике. Условие задачи: 4592. В урне 40 черных и 160 белых шаров. Из неё наугад вынимается один шар. Определите вероятность того, что этот шар будет черным. Подробное решение. Оформлено в Micr...
          20 руб.
            Корзина
            Ваша корзина пуста
            Валюта

            • 1 руб. = 5.000₸
            • 10 руб. = 0.100 $
            Поиск в магазине
            Группа Vk.com Рынок цифровых товаров plati.market, игры, игровые аккаунты, itunes, appstore, xbox, steam, ключи, пин-коды Сертификат Webmoney www.webmoney.ru

            Пользовательское соглашение | Договор оферты  ЭЙНФЕЛЬД ЛОЛИТА РИЧАРДОВНА ИНН 502205387028
            Решение контрольных работ по высшей математике
            Fizmathim.ru © 2013 - 2026


            Visa, MasterCard, Мир
            Рейтинг@Mail.ru