Контакты E-Mail: PMaxim2006@mail.ru Lolita.Einfeld@yandex.ru VK: id197545744 Instagram: @math_example

Решение задач и примеров

Информация
18.03.2024
Инструкция как оплачивать картой Каспи или Halyk для Казахстана
Прочитать инструкцию

18.03.2024
При добавлении товаров в корзину на сумму от 200 до 500 руб. и оформлении заказа активируется 5 % скидка на оплату, на сумму от 500 руб. активируется 10 % скидка на оплату

22.10.2022
Для Беларуси возможно оплачивать только банковской картой выпущенной в России или картой Белкарт МИР.
Также для Беларуси можно оплачивать Банковской картой Белкарт МИР или картой выпущенной в РФ, ЮMoney перейдя в раздел Решения заданий (digiseller) в меню сайта

23.08.2021
ЮMoney+Банковская карта. Принимаются виды оплат: Карты RU/РФ, ЮMoney-кошелек (Снижена комиссия)
Оплата картой Каспи или Halyk для Казахстана, пишите на почтовый ящик pmaxim2006@mail.ru

23.08.2021
В Digiseller можно найти все решения, что и на fizmathim.ru Перейти в Магазин на Digiseller
Можно воспользоваться формой поиска по первым 3-4 словам. Способы оплаты: Банковская карта (RU/РФ), ЮMoney, Webmoney, Unionpay, Alipay, Скины Steam

26.04.2019
- Все задачи оформлены в текстовом редакторе Microsoft Word, в PDF формате рассылаются решения отдельно.

- Ссылки действительны в течение 24 часов до первой попытки скачать (90 минут с момента первого скачивания).

05.02.2019
- Ссылка на скачивание задач, приходит на указанный вами почтовый ящик при оформлении заказа и его оплаты. Дополнительная рассылка оплаченных заказов на E-mail производится в течение нескольких минут/часов, тема писем имеет вид "Заказ xxxxx".
Форма входа
Главная Магазин готовых задач Высшая Математика Решенные методички

Контрольная работа N4 Вариант 10 Российский химико-технологический университет им. Д.И. Менделеева (РХТУ), Новомосковск 2013 Математика


    140 руб.
  •        Единица: шт.
  •        Размер файла (.doc): 234.5Kb
  • Теги: рхту, контрольнаяN4, Вариант10, математика
    Чтобы получить решение задачи: 1) Нажмите "справа" на кнопку "Купить задачу"Купить задачу сейчас
    2) Выбираете один из удобных способов оплаты (ЮMoney+Банковская карта RU/РФ, ЮMoney-кошелек (Снижена комиссия) Webmoney WMZ-USD; WMB-белорусские рубли). Для Казахстана оплата переводом на карту Каспи или Halyk.
    3) Укажите E-Mail, на него придет ссылка на скачивание оплаченной задачи.
    4) Нажмите на «Оформить заказ», затем «Перейти к оплате»

    Перед покупкой задачи рекомендуем Вам ознакомиться с Примерами решений
    Бесплатные решенные примеры по высшей математике
    Пробная покупка "тестовой задачи" магазина за 3 руб. (проверка оплаты/доставки) и инструкция по оплате через Webmoney, ЮMoney+Банковская карта RU/РФ. Перейти на страницу
    Помимо решений в Word'е, также в e-mail-рассылку входят решения купленных задач в PDF формате для удобства просмотра на смартфонах и планшетах. Письма на e-mail приходят с темой "Заказ xxxxx"
Купить задачу
  • Описание

ВУЗ: Российский химико-технологический университет им. Д.И. Менделеева (РХТУ), Новомосковск 2013
Высшая математика. Дифференциальные уравнения. Методические указания к выполнению контрольных работ для студентов заочной формы обучения.
Методичка по математике Российский химико-технологический университет им. Д.И. Менделеева Контрольной работы N4 Скачать файл
Решенные задания из Контрольной работы N4, Вариант 10

Контрольная работа №4

1 – 10. Найдите частное решение дифференциального уравнения.
10. xy + y2 = (2x2 + xy)y′, y(1) = 1

11 – 20. Найти общее решение дифференциального уравнения второго порядка.
20. 2yy′′ = 1 + (y′)2

21 – 30. Найти частное решение дифференциального уравнения у′′ + ру′ + qy = f(x), удовлетворяющее начальным условиям у(0) = у0. у′(0) = у′0
30. y′′ − 5y′ + 6y = e2x(2 + 6x) + 78sin3x, у0 = 0, у′0 = 0

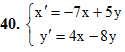
31 – 40. Дана система линейных дифференциальных уравнений с постоянными коэффициентами. Требуется: 1) найти общее решение с помощью характеристического уравнения; 2) записать данную систему и её решение в матричной форме; 3) решить систему способом исключения переменной.


Подробное решение. Оформлено в Microsoft Word 2003 (Задание решено с использованием редактора формул)

Если не нашли решение своего варианта, вы можете заказать его у нас.
Решение задачи добавил: Massimo, Среда, 15.03.2017

Просмотренные ранее товары

В атоме какого элемента при его образовании из субатомных частиц последним займет свое место в электронной оболочке электрон с таким набором квантовых чисел:
В атоме какого элемента при его образовании из субатомных частиц последним займет свое место в электронной оболочке электрон с таким набором квантовых чисел: n=3, l=2, m = −1, s = + 1/2? Напишите полную электронную формулу атома этого элемента. Подробн...
30 руб.

    Из 20 студентов в группе 5 отличников Наудачу приглашаются 6 студентов Какова вероятность того что 3 из них окажутся отличниками
    Решенная задача по теории вероятностей и математической статистике. Условие задачи: 2739. Из 20 студентов в группе 5 отличников. Наудачу приглашаются 6 студентов. Какова вероятность того, что 3 из них окажутся отличниками? Подробное решение. Оформлено ...
    30 руб.
      Корзина
      Ваша корзина пуста
      Валюта

      • 1 руб. = 5.000₸
      • 10 руб. = 0.100 $
      Поиск в магазине
      Группа Vk.com Рынок цифровых товаров plati.market, игры, игровые аккаунты, itunes, appstore, xbox, steam, ключи, пин-коды Сертификат Webmoney www.webmoney.ru

      Пользовательское соглашение | Договор оферты  ЭЙНФЕЛЬД ЛОЛИТА РИЧАРДОВНА ИНН 502205387028
      Решение контрольных работ по высшей математике
      Fizmathim.ru © 2013 - 2026


      Visa, MasterCard, Мир
      Рейтинг@Mail.ru