Контакты E-Mail: PMaxim2006@mail.ru Lolita.Einfeld@yandex.ru VK: id197545744 Instagram: @math_example

Решение задач и примеров

Информация
18.03.2024
Инструкция как оплачивать картой Каспи или Halyk для Казахстана
Прочитать инструкцию

18.03.2024
При добавлении товаров в корзину на сумму от 200 до 500 руб. и оформлении заказа активируется 5 % скидка на оплату, на сумму от 500 руб. активируется 10 % скидка на оплату

22.10.2022
Для Беларуси возможно оплачивать только банковской картой выпущенной в России или картой Белкарт МИР.
Также для Беларуси можно оплачивать Банковской картой Белкарт МИР или картой выпущенной в РФ, ЮMoney перейдя в раздел Решения заданий (digiseller) в меню сайта

23.08.2021
ЮMoney+Банковская карта. Принимаются виды оплат: Карты RU/РФ, ЮMoney-кошелек (Снижена комиссия)
Оплата картой Каспи или Halyk для Казахстана, пишите на почтовый ящик pmaxim2006@mail.ru

23.08.2021
В Digiseller можно найти все решения, что и на fizmathim.ru Перейти в Магазин на Digiseller
Можно воспользоваться формой поиска по первым 3-4 словам. Способы оплаты: Банковская карта (RU/РФ), ЮMoney, Webmoney, Unionpay, Alipay, Скины Steam

26.04.2019
- Все задачи оформлены в текстовом редакторе Microsoft Word, в PDF формате рассылаются решения отдельно.

- Ссылки действительны в течение 24 часов до первой попытки скачать (90 минут с момента первого скачивания).

05.02.2019
- Ссылка на скачивание задач, приходит на указанный вами почтовый ящик при оформлении заказа и его оплаты. Дополнительная рассылка оплаченных заказов на E-mail производится в течение нескольких минут/часов, тема писем имеет вид "Заказ xxxxx".
Форма входа
Главная Магазин готовых задач Решаем на заказ Контрольные на заказ

Заказ N0038 Математика контрольные задания (решение индивидуальных заданий по математике)


    300 руб.
  •        Единица: шт.
  •        Размер файла (.doc): 355.0Kb

  • Чтобы получить решение задачи: 1) Нажмите "справа" на кнопку "Купить задачу"Купить задачу сейчас
    2) Выбираете один из удобных способов оплаты (ЮMoney+Банковская карта RU/РФ, ЮMoney-кошелек (Снижена комиссия) Webmoney WMZ-USD; WMB-белорусские рубли). Для Казахстана оплата переводом на карту Каспи или Halyk.
    3) Укажите E-Mail, на него придет ссылка на скачивание оплаченной задачи.
    4) Нажмите на «Оформить заказ», затем «Перейти к оплате»

    Перед покупкой задачи рекомендуем Вам ознакомиться с Примерами решений
    Бесплатные решенные примеры по высшей математике
    Пробная покупка "тестовой задачи" магазина за 3 руб. (проверка оплаты/доставки) и инструкция по оплате через Webmoney, ЮMoney+Банковская карта RU/РФ. Перейти на страницу
    Помимо решений в Word'е, также в e-mail-рассылку входят решения купленных задач в PDF формате для удобства просмотра на смартфонах и планшетах. Письма на e-mail приходят с темой "Заказ xxxxx"
Купить задачу
  • Описание

Решенная на заказ контрольная работа по математике
Контрольная работа №2
Вариант 5.

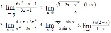
Задание №1 Вычислить пределы:


Задание №2
1. Найти производную функции:
y = (1 + x2)earctgx

Задание №3
Найти предел по правилу Лопиталя:


Задание №4
Найти наибольшее и наименьшее значения функции на отрезке:
y = tgx – x; [−π/4; π/4]

Задание №5 Найти интегралы.


Задание №6
Вычислить несобственные интегралы:


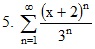
Задание №7. Определить интервал сходимости ряда и исследовать сходимость на концах интервала.


Задание №8. Пользуясь разложением в ряд Маклорена функций ex, sinx, cosx, ln(1+x), (1+x)m, arctgx, разложить данные функции в ряд. Указать область сходимости.
5.f(x) = x−2arctgx2.

Задание №9. Разложить данные функции в ряд Фурье в указанных интервалах.
5.f(x) = x2/2, (−3; 3)

Подробное решение. Оформлено в Microsoft Word 2003 (Задание решено с использованием редактора формул)
Решение подобного задания, вы можете заказать у нас
Решение задачи добавил: Massimo, Пятница, 12.05.2017

Просмотренные ранее товары

На столе стоит сосуд в боковую поверхность которого вставлен горизонтальный капилляр на высоте h1 =5 см от дна сосуда Внутренний радиус капилляра r = 1 мм и длина l = 1 см В сосуд налито машинное
Решенная задача по физике. Раздел: Кинематика, механика, динамика Условие задачи: На столе стоит сосуд, в боковую поверхность которого вставлен горизонтальный капилляр на высоте h1 =5 см от дна сосуда. Внутренний радиус капилляра r = 1 мм и длина l = 1...
30 руб.

    Ромб составлен из двух равносторонних треугольников со сторонами а = 0,25 м В вершинах при острых углах ромба помещены заряды q1= q2 = 2,5∙10−9 Кл В вершине при одном из тупых углов ромба помещен
    Решенная задача по физике. Раздел: Электростатика. Электричество и постоянный ток. Условие задачи: Ромб составлен из двух равносторонних треугольников со сторонами а = 0,25 м. В вершинах при острых углах ромба помещены заряды q1= q2 = 2,5∙10−9 Кл. В ве...
    30 руб.

      В урне 8 красных 5 желтых и 3 синих шара Наугад вынимают 3 шара Какова вероятность того что 3 шара окажутся красными
      Решенная задача по теории вероятностей и математической статистике. Условие задачи: 2853. В урне 8 красных, 5 желтых и 3 синих шара. Наугад вынимают 3 шара. Какова вероятность того, что 3 шара окажутся красными? Подробное решение. Оформлено в Microsoft...
      30 руб.

        Контрольная работа 4 (134,144,154,164) часть 1 Омский государственный университет путей сообщения Математика
        ВУЗ: Омский государственный университет путей сообщения Высшая математика. Часть 1: Методические указания и контрольные задания для студентов заочного факультета. 2-е изд., Омск 2010 Методичка по математике Омский государственный университет путей сооб...
        100 руб.

          Градиент потенциала электрического поля плоского конденсатора 800 кВ/м Определить плотность заряда на пластинах если диэлектрическая проницаемость среды равняется 10
          Решенная задача по физике. Раздел: Электростатика. Электричество и постоянный ток. Условие задачи: Градиент потенциала электрического поля плоского конденсатора 800 кВ/м. Определить плотность заряда на пластинах, если диэлектрическая проницаемость сред...
          20 руб.
            Корзина
            Ваша корзина пуста
            Валюта

            • 1 руб. = 5.000₸
            • 10 руб. = 0.100 $
            Поиск в магазине
            Группа Vk.com Рынок цифровых товаров plati.market, игры, игровые аккаунты, itunes, appstore, xbox, steam, ключи, пин-коды Сертификат Webmoney www.webmoney.ru

            Пользовательское соглашение | Договор оферты  ЭЙНФЕЛЬД ЛОЛИТА РИЧАРДОВНА ИНН 502205387028
            Решение контрольных работ по высшей математике
            Fizmathim.ru © 2013 - 2026


            Visa, MasterCard, Мир
            Рейтинг@Mail.ru