Контакты E-Mail: PMaxim2006@mail.ru Lolita.Einfeld@yandex.ru VK: id197545744 Instagram: @math_example

Решение задач и примеров

Информация
18.03.2024
Инструкция как оплачивать картой Каспи или Halyk для Казахстана
Прочитать инструкцию

18.03.2024
При добавлении товаров в корзину на сумму от 200 до 500 руб. и оформлении заказа активируется 5 % скидка на оплату, на сумму от 500 руб. активируется 10 % скидка на оплату

22.10.2022
Для Беларуси возможно оплачивать только банковской картой выпущенной в России или картой Белкарт МИР.
Также для Беларуси можно оплачивать Банковской картой Белкарт МИР или картой выпущенной в РФ, ЮMoney перейдя в раздел Решения заданий (digiseller) в меню сайта

23.08.2021
ЮMoney+Банковская карта. Принимаются виды оплат: Карты RU/РФ, ЮMoney-кошелек (Снижена комиссия)
Оплата картой Каспи или Halyk для Казахстана, пишите на почтовый ящик pmaxim2006@mail.ru

23.08.2021
В Digiseller можно найти все решения, что и на fizmathim.ru Перейти в Магазин на Digiseller
Можно воспользоваться формой поиска по первым 3-4 словам. Способы оплаты: Банковская карта (RU/РФ), ЮMoney, Webmoney, Unionpay, Alipay, Скины Steam

26.04.2019
- Все задачи оформлены в текстовом редакторе Microsoft Word, в PDF формате рассылаются решения отдельно.

- Ссылки действительны в течение 24 часов до первой попытки скачать (90 минут с момента первого скачивания).

05.02.2019
- Ссылка на скачивание задач, приходит на указанный вами почтовый ящик при оформлении заказа и его оплаты. Дополнительная рассылка оплаченных заказов на E-mail производится в течение нескольких минут/часов, тема писем имеет вид "Заказ xxxxx".
Форма входа
Главная Магазин готовых задач Высшая Математика Решебник Клетеник

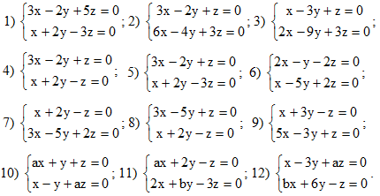
1210. Найти все решения каждой из следующих систем уравнений


    50 руб.
  •        Единица: шт.
  •        Размер файла (.doc): 115.5Kb

  • Чтобы получить решение задачи: 1) Нажмите "справа" на кнопку "Купить задачу"Купить задачу сейчас
    2) Выбираете один из удобных способов оплаты (ЮMoney+Банковская карта RU/РФ, ЮMoney-кошелек (Снижена комиссия) Webmoney WMZ-USD; WMB-белорусские рубли). Для Казахстана оплата переводом на карту Каспи или Halyk.
    3) Укажите E-Mail, на него придет ссылка на скачивание оплаченной задачи.
    4) Нажмите на «Оформить заказ», затем «Перейти к оплате»

    Перед покупкой задачи рекомендуем Вам ознакомиться с Примерами решений
    Бесплатные решенные примеры по высшей математике
    Пробная покупка "тестовой задачи" магазина за 3 руб. (проверка оплаты/доставки) и инструкция по оплате через Webmoney, ЮMoney+Банковская карта RU/РФ. Перейти на страницу
    Помимо решений в Word'е, также в e-mail-рассылку входят решения купленных задач в PDF формате для удобства просмотра на смартфонах и планшетах. Письма на e-mail приходят с темой "Заказ xxxxx"
Купить задачу
  • Описание
Готовое решение задания со сборника задач по аналитической геометрии Д.В. Клетеник

Элементы теории определителей.

Условие задачи:
1210. Найти все решения каждой из следующих систем уравнений:
1210. Решебник Клетеника

Подробное решение. Оформлено в Microsoft Word 2003 (Задание решено с использованием редактора формул)
Решение задачи добавил: Massimo, Суббота, 16.09.2017

Просмотренные ранее товары

x̅=118,60 n=100 σ=10 Найти доверительные интервалы для оценки математического ожидания а нормального распределения с надежностью 0,95 зная выборочную среднюю x̅=118,60 объем выборки (число наблюдений)
Решенная задача по теории вероятностей и математической статистике. Условие задачи: 5407. Найти доверительные интервалы для оценки математического ожидания а нормального распределения с надежностью 0,95, зная выборочную среднюю x̅=118,60, объем выборки...
30 руб.

    Вероятность нарушения стандарта при штамповке карболитовых колец равна 0,3 Определить вероятность того что из 800 головок готовых колец число непригодных будет заключено между 225 и 255
    Решенная задача по теории вероятностей и математической статистике. Условие задачи: 1935. Вероятность нарушения стандарта при штамповке карболитовых колец равна 0,3. Определить вероятность того, что из 800 головок готовых колец число непригодных будет ...
    30 руб.

      Два параллельных провода длиной 1,5 м находятся на расстоянии 50 мм друг от друга По проводам текут токи I1= I2=5A в одном направлении Определите силу их взаимодействия
      Решенная задача по физике. Раздел: Электростатика. Электричество и постоянный ток. Условие задачи: Два параллельных провода длиной 1,5 м находятся на расстоянии 50 мм друг от друга. По проводам текут токи I1= I2=5A в одном направлении. Определите силу ...
      30 руб.

        Всхожесть семян оценивается вероятностью 0,7 Какова вероятность того что из четырех посеянных семян взойдет хотя бы одно
        Решенная задача по теории вероятностей и математической статистике. Условие задачи: 1690. Всхожесть семян оценивается вероятностью 0,7. Какова вероятность того, что из четырех посеянных семян взойдет хотя бы одно? Подробное решение. Оформлено в Microso...
        30 руб.

          Найти вероятность того что при 100 бросках монеты орел выпадет не менее 75 раз
          Решенная задача по теории вероятностей и математической статистике. Условие задачи: 202. Найти вероятность того, что при 100 бросках монеты орел выпадет не менее 75 раз. Подробное решение. Оформлено в Microsoft Word 2003. (Задание решено с использовани...
          30 руб.
            Корзина
            Ваша корзина пуста
            Валюта

            • 1 руб. = 5.000₸
            • 10 руб. = 0.100 $
            Поиск в магазине
            Группа Vk.com Рынок цифровых товаров plati.market, игры, игровые аккаунты, itunes, appstore, xbox, steam, ключи, пин-коды Сертификат Webmoney www.webmoney.ru

            Пользовательское соглашение | Договор оферты  ЭЙНФЕЛЬД ЛОЛИТА РИЧАРДОВНА ИНН 502205387028
            Решение контрольных работ по высшей математике
            Fizmathim.ru © 2013 - 2025


            Visa, MasterCard, Мир
            Рейтинг@Mail.ru