Контакты E-Mail: PMaxim2006@mail.ru Lolita.Einfeld@yandex.ru VK: id197545744 Instagram: @math_example

Решение задач и примеров

Информация
18.03.2024
Инструкция как оплачивать картой Каспи или Halyk для Казахстана
Прочитать инструкцию

18.03.2024
При добавлении товаров в корзину на сумму от 200 до 500 руб. и оформлении заказа активируется 5 % скидка на оплату, на сумму от 500 руб. активируется 10 % скидка на оплату

22.10.2022
Для Беларуси возможно оплачивать только банковской картой выпущенной в России или картой Белкарт МИР.
Также для Беларуси можно оплачивать Банковской картой Белкарт МИР или картой выпущенной в РФ, ЮMoney перейдя в раздел Решения заданий (digiseller) в меню сайта

23.08.2021
ЮMoney+Банковская карта. Принимаются виды оплат: Карты RU/РФ, ЮMoney-кошелек (Снижена комиссия)
Оплата картой Каспи или Halyk для Казахстана, пишите на почтовый ящик pmaxim2006@mail.ru

23.08.2021
В Digiseller можно найти все решения, что и на fizmathim.ru Перейти в Магазин на Digiseller
Можно воспользоваться формой поиска по первым 3-4 словам. Способы оплаты: Банковская карта (RU/РФ), ЮMoney, Webmoney, Unionpay, Alipay, Скины Steam

26.04.2019
- Все задачи оформлены в текстовом редакторе Microsoft Word, в PDF формате рассылаются решения отдельно.

- Ссылки действительны в течение 24 часов до первой попытки скачать (90 минут с момента первого скачивания).

05.02.2019
- Ссылка на скачивание задач, приходит на указанный вами почтовый ящик при оформлении заказа и его оплаты. Дополнительная рассылка оплаченных заказов на E-mail производится в течение нескольких минут/часов, тема писем имеет вид "Заказ xxxxx".
Форма входа
Главная Магазин готовых задач Решаем на заказ Контрольные на заказ

Заказ N0054 Математика контрольные задания (решение индивидуальных заданий по математике)


    260 руб.
  •        Единица: шт.
  •        Размер файла (.doc): 355.5Kb

  • Чтобы получить решение задачи: 1) Нажмите "справа" на кнопку "Купить задачу"Купить задачу сейчас
    2) Выбираете один из удобных способов оплаты (ЮMoney+Банковская карта RU/РФ, ЮMoney-кошелек (Снижена комиссия) Webmoney WMZ-USD; WMB-белорусские рубли). Для Казахстана оплата переводом на карту Каспи или Halyk.
    3) Укажите E-Mail, на него придет ссылка на скачивание оплаченной задачи.
    4) Нажмите на «Оформить заказ», затем «Перейти к оплате»

    Перед покупкой задачи рекомендуем Вам ознакомиться с Примерами решений
    Бесплатные решенные примеры по высшей математике
    Пробная покупка "тестовой задачи" магазина за 3 руб. (проверка оплаты/доставки) и инструкция по оплате через Webmoney, ЮMoney+Банковская карта RU/РФ. Перейти на страницу
    Помимо решений в Word'е, также в e-mail-рассылку входят решения купленных задач в PDF формате для удобства просмотра на смартфонах и планшетах. Письма на e-mail приходят с темой "Заказ xxxxx"
Купить задачу
  • Описание

Решенная на заказ контрольная работа по математике

Вариант 1.

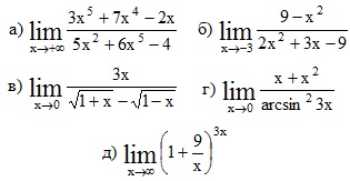
1. Найти указанные пределы, не пользуясь правилом Лопиталя.


2. Найти производные данных функций:


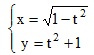
3. Найти y′x:


4. Найти наибольшее и наименьшее значения f(x) на отрезке [a; b]:
f(x) = 7 – 3x3, [–1; 2]

5. Дана функция z = z(x; y), точка M0(x0, y0), вектор ā. Требуется
а) Найти частные производные I и II порядка;
б) Составить уравнения касательной плоскости и нормали в точке M0;
в) Исследовать на экстремум;
г) Найти производную функции z в направлении вектора ā в точке M0.

z = x2 + xy + y2 – 6x – 9y, M0(1, 2), ā = 4i – 3j

6. Полученные из опыта значения функции при различных значениях независимой переменной приведены в таблице. Методом наименьших квадратов найти функцию y = f (x) в виде y = ax + b. Сделать чертеж.


Подробное решение. Оформлено в Microsoft Word 2003 (Задание решено с использованием редактора формул)
Решение подобного задания, вы можете заказать у нас
Решение задачи добавил: Massimo, Понедельник, 18.09.2017

Просмотренные ранее товары

Найти плотность смеси кислорода и углекислого газа Масса кислорода 50 г углекислого - 80 г Смесь газов находится под давлением 5,065∙105 Па при температуре 7 °С
Решенная задача по физике. Раздел: Молекулярная физика и термодинамика Условие задачи: Найти плотность смеси кислорода и углекислого газа. Масса кислорода 50 г, углекислого - 80 г. Смесь газов находится под давлением 5,065∙105 Па при температуре 7 °С. ...
30 руб.

    Положение центра шарика массой 1 г определено с ошибкой ∆х ~ 10-5 см Какова будет неопределенность в скорости ∆υх для шарика
    Решенная задача по физике. Раздел: Квантовая, ядерная физика Условие задачи: Положение центра шарика массой 1 г определено с ошибкой ∆х ~ 10-5 см. Какова будет неопределенность в скорости ∆υх для шарика? Подробное решение. Оформлено в Microsoft Word 20...
    30 руб.

      Массовая доля серы в составе соли, полученной при взаимодействии ароматического первичного амина с избытком серной кислоты, равна 15,60 %. Определите молекулярную формулу амина. Приведите структурные
      Массовая доля серы в составе соли, полученной при взаимодействии ароматического первичного амина с избытком серной кислоты, равна 15,60 %. Определите молекулярную формулу амина. Приведите структурные формулы возможных изомеров, дайте названия. Подробно...
      30 руб.

        Импульс р релятивистской частицы равен m0c Под действием внешней силы импульс частицы увеличился в два раза Во сколько раз возрастет при этом энергия частицы 1) кинетическая 2) полная
        Решенная задача по физике. Раздел: Элементы теории относительности Условие задачи: Импульс р релятивистской частицы равен m0c. Под действием внешней силы импульс частицы увеличился в два раза. Во сколько раз возрастет при этом энергия частицы: 1) кинет...
        30 руб.

          Электростатическое поле создается двумя бесконечными параллельными плоскостями заряженными равномерно разноименными зарядами с поверхностной плотностью σ1=1 нКл/м2 и σ2=2 нКл/м2 Определите напряженнос
          Решенная задача по физике. Раздел: Электростатика. Электричество и постоянный ток. Условие задачи: Электростатическое поле создается двумя бесконечными параллельными плоскостями, заряженными равномерно разноименными зарядами с поверхностной плотностью ...
          30 руб.
            Корзина
            Ваша корзина пуста
            Валюта

            • 1 руб. = 5.000₸
            • 10 руб. = 0.100 $
            Поиск в магазине
            Группа Vk.com Рынок цифровых товаров plati.market, игры, игровые аккаунты, itunes, appstore, xbox, steam, ключи, пин-коды Сертификат Webmoney www.webmoney.ru

            Пользовательское соглашение | Договор оферты  ЭЙНФЕЛЬД ЛОЛИТА РИЧАРДОВНА ИНН 502205387028
            Решение контрольных работ по высшей математике
            Fizmathim.ru © 2013 - 2026


            Visa, MasterCard, Мир
            Рейтинг@Mail.ru