Контакты E-Mail: PMaxim2006@mail.ru Lolita.Einfeld@yandex.ru VK: id197545744 Instagram: @math_example

Решение задач и примеров

Информация
18.03.2024
Инструкция как оплачивать картой Каспи или Halyk для Казахстана
Прочитать инструкцию

18.03.2024
При добавлении товаров в корзину на сумму от 200 до 500 руб. и оформлении заказа активируется 5 % скидка на оплату, на сумму от 500 руб. активируется 10 % скидка на оплату

22.10.2022
Для Беларуси возможно оплачивать только банковской картой выпущенной в России или картой Белкарт МИР.
Также для Беларуси можно оплачивать Банковской картой Белкарт МИР или картой выпущенной в РФ, ЮMoney перейдя в раздел Решения заданий (digiseller) в меню сайта

23.08.2021
ЮMoney+Банковская карта. Принимаются виды оплат: Карты RU/РФ, ЮMoney-кошелек (Снижена комиссия)
Оплата картой Каспи или Halyk для Казахстана, пишите на почтовый ящик pmaxim2006@mail.ru

23.08.2021
В Digiseller можно найти все решения, что и на fizmathim.ru Перейти в Магазин на Digiseller
Можно воспользоваться формой поиска по первым 3-4 словам. Способы оплаты: Банковская карта (RU/РФ), ЮMoney, Webmoney, Unionpay, Alipay, Скины Steam

26.04.2019
- Все задачи оформлены в текстовом редакторе Microsoft Word, в PDF формате рассылаются решения отдельно.

- Ссылки действительны в течение 24 часов до первой попытки скачать (90 минут с момента первого скачивания).

05.02.2019
- Ссылка на скачивание задач, приходит на указанный вами почтовый ящик при оформлении заказа и его оплаты. Дополнительная рассылка оплаченных заказов на E-mail производится в течение нескольких минут/часов, тема писем имеет вид "Заказ xxxxx".
Форма входа
Главная Магазин готовых задач Решаем на заказ Контрольные на заказ

Заказ N0055 Математика контрольные задания (решение индивидуальных заданий по математике)


    260 руб.
  •        Единица: шт.
  •        Размер файла (.doc): 405.0Kb

  • Чтобы получить решение задачи: 1) Нажмите "справа" на кнопку "Купить задачу"Купить задачу сейчас
    2) Выбираете один из удобных способов оплаты (ЮMoney+Банковская карта RU/РФ, ЮMoney-кошелек (Снижена комиссия) Webmoney WMZ-USD; WMB-белорусские рубли). Для Казахстана оплата переводом на карту Каспи или Halyk.
    3) Укажите E-Mail, на него придет ссылка на скачивание оплаченной задачи.
    4) Нажмите на «Оформить заказ», затем «Перейти к оплате»

    Перед покупкой задачи рекомендуем Вам ознакомиться с Примерами решений
    Бесплатные решенные примеры по высшей математике
    Пробная покупка "тестовой задачи" магазина за 3 руб. (проверка оплаты/доставки) и инструкция по оплате через Webmoney, ЮMoney+Банковская карта RU/РФ. Перейти на страницу
    Помимо решений в Word'е, также в e-mail-рассылку входят решения купленных задач в PDF формате для удобства просмотра на смартфонах и планшетах. Письма на e-mail приходят с темой "Заказ xxxxx"
Купить задачу
  • Описание

Решенная на заказ контрольная работа по математике

Вариант 3.

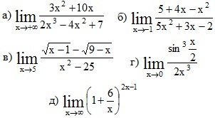
1. Найти указанные пределы, не пользуясь правилом Лопиталя.


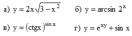
2. Найти производные данных функций:


3. Найти y′x:


4. Найти наибольшее и наименьшее значения f(x) на отрезке [a; b]:
f(x) = x3 – 27x + 1, [0; 3]

5. Дана функция z = z(x; y), точка M0(x0, y0), вектор ā. Требуется
а) Найти частные производные I и II порядка;
б) Составить уравнения касательной плоскости и нормали в точке M0;
в) Исследовать на экстремум;
г) Найти производную функции z в направлении вектора ā в точке M0.

z = x3 + xy2 + 6xy, M0(1, −1), ā = –3i + 4j

6. Полученные из опыта значения функции при различных значениях независимой переменной приведены в таблице. Методом наименьших квадратов найти функцию y = f (x) в виде y = ax + b. Сделать чертеж.


Подробное решение. Оформлено в Microsoft Word 2003 (Задание решено с использованием редактора формул)
Решение подобного задания, вы можете заказать у нас
Решение задачи добавил: Massimo, Понедельник, 18.09.2017

Просмотренные ранее товары

На грань стеклянной призмы n =1,5 нормально падает луч света Определить угол отклонения луча призмой если ее преломляющий угол равен 25°
Решенная задача по физике. Раздел: Оптика. Квантовая оптика Условие задачи: На грань стеклянной призмы (n =1,5) нормально падает луч света. Определить угол отклонения луча призмой, если ее преломляющий угол равен 25°. Подробное решение. Оформлено в Mic...
20 руб.

    Среди 17 студентов группы из которых 8 – девушки разыгрывается 7 билетов в театр Какова вероятность того что среди обладателей билетов окажутся 4 девушки и 3 юношей
    Решенная задача по теории вероятностей и математической статистике. Условие задачи: 2503. Среди 17 студентов группы, из которых 8 – девушки, разыгрывается 7 билетов в театр. Какова вероятность того, что среди обладателей билетов окажутся 4 девушки и 3 ...
    30 руб.

      В ящике 2 красных и 2 синих шара Из него не глядя вынимают два шара Какова вероятность того что они будут одного цвета
      Решенная задача по теории вероятностей и математической статистике. Условие задачи: 4294. В ящике 2 красных и 2 синих шара. Из него, не глядя, вынимают два шара. Какова вероятность того, что они будут одного цвета? Подробное решение. Оформлено в Micros...
      30 руб.

        В урне содержится 6 черных и 5 белых шаров случайным образом вынимают 4 шара Найдите вероятность того что среди них имеется а) 3 белых шара б) меньше чем 3 белых шара в) хотя бы один белый шар
        Решенная задача по теории вероятностей и математической статистике. Условие задачи: 3048. В урне содержится 6 черных и 5 белых шаров, случайным образом вынимают 4 шара. Найдите вероятность того, что среди них имеется: а) 3 белых шара. б) меньше, чем 3 ...
        30 руб.

          Определить плотность тока в волоске лампы накаливания диаметром 0,02 мм если лампа рассчитана на напряжение 220 В а ее мощность 40 Вт
          Решенная задача по физике. Раздел: Электростатика. Электричество и постоянный ток. Условие задачи: Определить плотность тока в волоске лампы накаливания диаметром 0,02 мм, если лампа рассчитана на напряжение 220 В, а ее мощность 40 Вт. Подробное решени...
          30 руб.
            Корзина
            Ваша корзина пуста
            Валюта

            • 1 руб. = 5.000₸
            • 10 руб. = 0.100 $
            Поиск в магазине
            Группа Vk.com Рынок цифровых товаров plati.market, игры, игровые аккаунты, itunes, appstore, xbox, steam, ключи, пин-коды Сертификат Webmoney www.webmoney.ru

            Пользовательское соглашение | Договор оферты  ЭЙНФЕЛЬД ЛОЛИТА РИЧАРДОВНА ИНН 502205387028
            Решение контрольных работ по высшей математике
            Fizmathim.ru © 2013 - 2026


            Visa, MasterCard, Мир
            Рейтинг@Mail.ru