Контакты E-Mail: PMaxim2006@mail.ru Lolita.Einfeld@yandex.ru VK: id197545744 Instagram: @math_example

Решение задач и примеров

Информация
18.03.2024
Инструкция как оплачивать картой Каспи или Halyk для Казахстана
Прочитать инструкцию

18.03.2024
При добавлении товаров в корзину на сумму от 200 до 500 руб. и оформлении заказа активируется 5 % скидка на оплату, на сумму от 500 руб. активируется 10 % скидка на оплату

22.10.2022
Для Беларуси возможно оплачивать только банковской картой выпущенной в России или картой Белкарт МИР.
Также для Беларуси можно оплачивать Банковской картой Белкарт МИР или картой выпущенной в РФ, ЮMoney перейдя в раздел Решения заданий (digiseller) в меню сайта

23.08.2021
ЮMoney+Банковская карта. Принимаются виды оплат: Карты RU/РФ, ЮMoney-кошелек (Снижена комиссия)
Оплата картой Каспи или Halyk для Казахстана, пишите на почтовый ящик pmaxim2006@mail.ru

23.08.2021
В Digiseller можно найти все решения, что и на fizmathim.ru Перейти в Магазин на Digiseller
Можно воспользоваться формой поиска по первым 3-4 словам. Способы оплаты: Банковская карта (RU/РФ), ЮMoney, Webmoney, Unionpay, Alipay, Скины Steam

26.04.2019
- Все задачи оформлены в текстовом редакторе Microsoft Word, в PDF формате рассылаются решения отдельно.

- Ссылки действительны в течение 24 часов до первой попытки скачать (90 минут с момента первого скачивания).

05.02.2019
- Ссылка на скачивание задач, приходит на указанный вами почтовый ящик при оформлении заказа и его оплаты. Дополнительная рассылка оплаченных заказов на E-mail производится в течение нескольких минут/часов, тема писем имеет вид "Заказ xxxxx".
Форма входа
Главная Магазин готовых задач Высшая Математика Решебник Клетеник

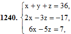
1240. В задачах 1236 – 1243 требуется установить что системы уравнений имеют единственное решение и найти его


    20 руб.
  •        Единица: шт.
  •        Размер файла (.doc): 40.0Kb

  • Чтобы получить решение задачи: 1) Нажмите "справа" на кнопку "Купить задачу"Купить задачу сейчас
    2) Выбираете один из удобных способов оплаты (ЮMoney+Банковская карта RU/РФ, ЮMoney-кошелек (Снижена комиссия) Webmoney WMZ-USD; WMB-белорусские рубли). Для Казахстана оплата переводом на карту Каспи или Halyk.
    3) Укажите E-Mail, на него придет ссылка на скачивание оплаченной задачи.
    4) Нажмите на «Оформить заказ», затем «Перейти к оплате»

    Перед покупкой задачи рекомендуем Вам ознакомиться с Примерами решений
    Бесплатные решенные примеры по высшей математике
    Пробная покупка "тестовой задачи" магазина за 3 руб. (проверка оплаты/доставки) и инструкция по оплате через Webmoney, ЮMoney+Банковская карта RU/РФ. Перейти на страницу
    Помимо решений в Word'е, также в e-mail-рассылку входят решения купленных задач в PDF формате для удобства просмотра на смартфонах и планшетах. Письма на e-mail приходят с темой "Заказ xxxxx"
Купить задачу
  • Описание
Готовое решение задания со сборника задач по аналитической геометрии Д.В. Клетеник

Элементы теории определителей.

Условие задачи:
1240. В задачах 1236 – 1243 требуется установить, что системы уравнений имеют единственное решение, и найти его.
1240. Решебник Клетеника

Подробное решение. Оформлено в Microsoft Word 2003 (Задание решено с использованием редактора формул)
Решение задачи добавил: Massimo, Вторник, 19.09.2017

Просмотренные ранее товары

Всхожесть семян оценивается вероятностью 0,8 Какова вероятность того что из пяти посеянных семян взойдет три
Решенная задача по теории вероятностей и математической статистике. Условие задачи: 1686. Всхожесть семян оценивается вероятностью 0,8. Какова вероятность того, что из пяти посеянных семян взойдет три? Подробное решение. Оформлено в Microsoft Word 2003...
30 руб.

    Атомарный водород возбуждённый светом определённой длины волны при переходе в основное состояние испускает только три спектральные линии Определить длины волн этих линий и указать каким сериям они
    Атомарный водород, возбуждённый светом определённой длины волны, при переходе в основное состояние испускает только три спектральные линии. Определить длины волн этих линий и указать, каким сериям они принадлежат Подробное решение. Оформлено в Microsof...
    30 руб.

      На горизонтальном участке пути маневровый тепловоз толкнул вагон Какие тела действуют на вагон во время и после толчка Как будет двигаться вагон под влиянием этих тел
      Решенная задача по физике. Раздел: Механика, кинематика, динамика Условие задачи: На горизонтальном участке пути маневровый тепловоз толкнул вагон. Какие тела действуют на вагон во время и после толчка? Как будет двигаться вагон под влиянием этих тел?
      5 руб.

        Стрельба производится по пяти мишеням типа А восьми типа В семи типа С Вероятность попадания в мишень типа А равна 0,6 типа В – 0,24 типа С – 0,45 Найти вероятность поражения мишени при одном выстреле
        Решенная задача по теории вероятностей и математической статистике. Условие задачи: 4088. Стрельба производится по пяти мишеням типа А, восьми типа В, семи типа С. Вероятность попадания в мишень типа А равна 0,6, типа В – 0,24, типа С – 0,45. Найти вер...
        30 руб.

          На шелковой нити висит алюминиевая гильза Необходимо определить заряжена ли эта гильза а если заряжена то каков знак заряда Предложите несколько способов
          Решенная задача по физике. Раздел: Электростатика. Постоянный ток Условие задачи: На шелковой нити висит алюминиевая гильза. Необходимо определить, заряжена ли эта гильза, а если заряжена, то каков знак заряда. Предложите несколько способов.
          10 руб.
            Корзина
            Ваша корзина пуста
            Валюта

            • 10 руб. = 0.100 $
            • 1 руб. = 5.000₸
            Поиск в магазине
            Группа Vk.com Рынок цифровых товаров plati.market, игры, игровые аккаунты, itunes, appstore, xbox, steam, ключи, пин-коды Сертификат Webmoney www.webmoney.ru

            Пользовательское соглашение | Договор оферты  ЭЙНФЕЛЬД ЛОЛИТА РИЧАРДОВНА ИНН 502205387028
            Решение контрольных работ по высшей математике
            Fizmathim.ru © 2013 - 2026


            Visa, MasterCard, Мир
            Рейтинг@Mail.ru