Контакты E-Mail: PMaxim2006@mail.ru Lolita.Einfeld@yandex.ru VK: id197545744 Instagram: @math_example

Решение задач и примеров

Информация
18.03.2024
Инструкция как оплачивать картой Каспи или Halyk для Казахстана
Прочитать инструкцию

18.03.2024
При добавлении товаров в корзину на сумму от 200 до 500 руб. и оформлении заказа активируется 5 % скидка на оплату, на сумму от 500 руб. активируется 10 % скидка на оплату

22.10.2022
Для Беларуси возможно оплачивать только банковской картой выпущенной в России или картой Белкарт МИР.
Также для Беларуси можно оплачивать Банковской картой Белкарт МИР или картой выпущенной в РФ, ЮMoney перейдя в раздел Решения заданий (digiseller) в меню сайта

23.08.2021
ЮMoney+Банковская карта. Принимаются виды оплат: Карты RU/РФ, ЮMoney-кошелек (Снижена комиссия)
Оплата картой Каспи или Halyk для Казахстана, пишите на почтовый ящик pmaxim2006@mail.ru

23.08.2021
В Digiseller можно найти все решения, что и на fizmathim.ru Перейти в Магазин на Digiseller
Можно воспользоваться формой поиска по первым 3-4 словам. Способы оплаты: Банковская карта (RU/РФ), ЮMoney, Webmoney, Unionpay, Alipay, Скины Steam

26.04.2019
- Все задачи оформлены в текстовом редакторе Microsoft Word, в PDF формате рассылаются решения отдельно.

- Ссылки действительны в течение 24 часов до первой попытки скачать (90 минут с момента первого скачивания).

05.02.2019
- Ссылка на скачивание задач, приходит на указанный вами почтовый ящик при оформлении заказа и его оплаты. Дополнительная рассылка оплаченных заказов на E-mail производится в течение нескольких минут/часов, тема писем имеет вид "Заказ xxxxx".
Форма входа
Главная Магазин готовых задач Решаем на заказ Контрольные на заказ

Заказ N0058 Математика контрольные задания (решение индивидуальных заданий по математике)


    200 руб.
  •        Единица: шт.
  •        Размер файла (.doc): 254.0Kb

  • Чтобы получить решение задачи: 1) Нажмите "справа" на кнопку "Купить задачу"Купить задачу сейчас
    2) Выбираете один из удобных способов оплаты (ЮMoney+Банковская карта RU/РФ, ЮMoney-кошелек (Снижена комиссия) Webmoney WMZ-USD; WMB-белорусские рубли). Для Казахстана оплата переводом на карту Каспи или Halyk.
    3) Укажите E-Mail, на него придет ссылка на скачивание оплаченной задачи.
    4) Нажмите на «Оформить заказ», затем «Перейти к оплате»

    Перед покупкой задачи рекомендуем Вам ознакомиться с Примерами решений
    Бесплатные решенные примеры по высшей математике
    Пробная покупка "тестовой задачи" магазина за 3 руб. (проверка оплаты/доставки) и инструкция по оплате через Webmoney, ЮMoney+Банковская карта RU/РФ. Перейти на страницу
    Помимо решений в Word'е, также в e-mail-рассылку входят решения купленных задач в PDF формате для удобства просмотра на смартфонах и планшетах. Письма на e-mail приходят с темой "Заказ xxxxx"
Купить задачу
  • Описание

Решенная на заказ контрольная работа по математике

Вариант 3.

Задание 1. Вычислить интегралы


Задание 2. Вычислить площадь фигуры, ограниченной указанными линиями. Сделать
чертеж.
y = 4x – x2; y = 0

Задание 3. Найти общий интеграл дифференциального уравнения:


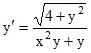
Задание 4. Найти общее решение дифференциального уравнения и частное решение, удовлетворяющее начальному условию.
y′ + 2y/x = −x2, y0 = 2, x0 = 0.

Задание 5. Найти общее решение дифференциального уравнения, допускающего понижение порядка.
y′′ = 2yy′

Задание 6. Найти общее решение линейного дифференциального уравнения второго порядка с постоянными коэффициентами с правой частью специального вида.
y′′ – 4y′ + 4y = 3x + sin2x

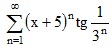
Задание 7. Найти область сходимости ряда.


Подробное решение. Оформлено в Microsoft Word 2003 (Задание решено с использованием редактора формул)
Решение подобного задания, вы можете заказать у нас
Решение задачи добавил: Massimo, Пятница, 06.10.2017

Просмотренные ранее товары

В урне 8 красных и 5 синих шаров Из урны наугад вынимают два шара Найдите вероятность того что они разного цвета
Решенная задача по теории вероятностей и математической статистике. Условие задачи: 4539. В урне 8 красных и 5 синих шаров. Из урны наугад вынимают два шара. Найдите вероятность того, что они разного цвета. Подробное решение. Оформлено в Microsoft Word...
30 руб.

    Индуктивность катушки 0,5 Гн Определить э.д.с. самоиндукции если за время 0,1 с сила тока в катушке равномерно изменяясь уменьшилась от 25 А до 5 А
    Решенная задача по физике. Раздел: Магнетизм. Электромагнетизм Условие задачи: Индуктивность катушки 0,5 Гн. Определить э.д.с. самоиндукции, если за время 0,1 с сила тока в катушке, равномерно изменяясь уменьшилась от 25 А до 5 А. Подробное решение. Оф...
    10 руб.

      Электростатическое поле создается бесконечно длинным цилиндром радиусом R = 7 мм равномерно заряженным с линейной плотностью τ = 15 нКл/м Определите разность потенциалов между двумя точками этого по
      Решенная задача по физике. Раздел: Электростатика. Электричество и постоянный ток. Условие задачи: Электростатическое поле создается бесконечно длинным цилиндром радиусом R = 7 мм, равномерно заряженным с линейной плотностью τ = 15 нКл/м. Определите ра...
      30 руб.

        Три конденсатора ёмкостями 2,4 и 6 пФ соединены параллельно и подключены к источнику напряжением 1 кВ Найти заряды на конденсаторах
        Решенная задача по физике. Раздел: Электростатика. Электричество и постоянный ток. Условие задачи: Три конденсатора ёмкостями 2,4 и 6 пФ соединены параллельно и подключены к источнику напряжением 1 кВ. Найти заряды на конденсаторах. Подробное решение. ...
        10 руб.

          Напряженность магнитного поля тороида со стальным сердечником возросла от H1=200 А/м до H2=800 А/м Определить во сколько раз изменилась объемная плотность энергии ω магнитного поля
          Решенная задача по физике. Раздел: Магнетизм. Электромагнетизм Условие задачи: Напряженность магнитного поля тороида со стальным сердечником возросла от H1=200 А/м до H2=800 А/м. Определить, во сколько раз изменилась объемная плотность энергии ω магнит...
          30 руб.
            Корзина
            Ваша корзина пуста
            Валюта

            • 10 руб. = 0.100 $
            • 1 руб. = 5.000₸
            Поиск в магазине
            Группа Vk.com Рынок цифровых товаров plati.market, игры, игровые аккаунты, itunes, appstore, xbox, steam, ключи, пин-коды Сертификат Webmoney www.webmoney.ru

            Пользовательское соглашение | Договор оферты  ЭЙНФЕЛЬД ЛОЛИТА РИЧАРДОВНА ИНН 502205387028
            Решение контрольных работ по высшей математике
            Fizmathim.ru © 2013 - 2026


            Visa, MasterCard, Мир
            Рейтинг@Mail.ru