Контакты E-Mail: PMaxim2006@mail.ru Lolita.Einfeld@yandex.ru VK: id197545744 Instagram: @math_example

Решение задач и примеров

Информация
18.03.2024
Инструкция как оплачивать картой Каспи или Halyk для Казахстана
Прочитать инструкцию

18.03.2024
При добавлении товаров в корзину на сумму от 200 до 500 руб. и оформлении заказа активируется 5 % скидка на оплату, на сумму от 500 руб. активируется 10 % скидка на оплату

22.10.2022
Для Беларуси возможно оплачивать только банковской картой выпущенной в России или картой Белкарт МИР.
Также для Беларуси можно оплачивать Банковской картой Белкарт МИР или картой выпущенной в РФ, ЮMoney перейдя в раздел Решения заданий (digiseller) в меню сайта

23.08.2021
ЮMoney+Банковская карта. Принимаются виды оплат: Карты RU/РФ, ЮMoney-кошелек (Снижена комиссия)
Оплата картой Каспи или Halyk для Казахстана, пишите на почтовый ящик pmaxim2006@mail.ru

23.08.2021
В Digiseller можно найти все решения, что и на fizmathim.ru Перейти в Магазин на Digiseller
Можно воспользоваться формой поиска по первым 3-4 словам. Способы оплаты: Банковская карта (RU/РФ), ЮMoney, Webmoney, Unionpay, Alipay, Скины Steam

26.04.2019
- Все задачи оформлены в текстовом редакторе Microsoft Word, в PDF формате рассылаются решения отдельно.

- Ссылки действительны в течение 24 часов до первой попытки скачать (90 минут с момента первого скачивания).

05.02.2019
- Ссылка на скачивание задач, приходит на указанный вами почтовый ящик при оформлении заказа и его оплаты. Дополнительная рассылка оплаченных заказов на E-mail производится в течение нескольких минут/часов, тема писем имеет вид "Заказ xxxxx".
Форма входа
Главная Магазин готовых задач Решаем на заказ Интегральное исчисление

Заказ N0032 Математика Математический анализ Неопределенные интегралы


    200 руб.
  •        Единица: шт.
  •        Размер файла (.doc): 380.0Kb

  • Чтобы получить решение задачи: 1) Нажмите "справа" на кнопку "Купить задачу"Купить задачу сейчас
    2) Выбираете один из удобных способов оплаты (ЮMoney+Банковская карта RU/РФ, ЮMoney-кошелек (Снижена комиссия) Webmoney WMZ-USD; WMB-белорусские рубли). Для Казахстана оплата переводом на карту Каспи или Halyk.
    3) Укажите E-Mail, на него придет ссылка на скачивание оплаченной задачи.
    4) Нажмите на «Оформить заказ», затем «Перейти к оплате»

    Перед покупкой задачи рекомендуем Вам ознакомиться с Примерами решений
    Бесплатные решенные примеры по высшей математике
    Пробная покупка "тестовой задачи" магазина за 3 руб. (проверка оплаты/доставки) и инструкция по оплате через Webmoney, ЮMoney+Банковская карта RU/РФ. Перейти на страницу
    Помимо решений в Word'е, также в e-mail-рассылку входят решения купленных задач в PDF формате для удобства просмотра на смартфонах и планшетах. Письма на e-mail приходят с темой "Заказ xxxxx"
Купить задачу
  • Описание

Решенное на заказ задание по математике

Вариант 11
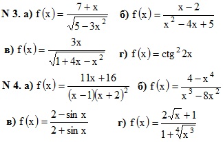
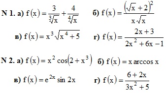
Найти первообразные и интегралы данных функций.



Подробное решение. Оформлено в Microsoft Word 2003 (Задание решено с использованием редактора формул)
Решение подобного задания, вы можете заказать у нас
Решение задачи добавил: Massimo, Четверг, 12.10.2017

Просмотренные ранее товары

Определить параметры решетки а и расстояние d между ближайшими соседними атомами кристалла кальция
Решенная задача по физике. Раздел: Квантовая, ядерная физика Условие задачи: Определить параметры решетки а и расстояние d между ближайшими соседними атомами кристалла кальция. Подробное решение. Оформлено в Microsoft Word 2003. (Задание решено с испол...
30 руб.

    Найти среднюю квадратичную скорость молекулы водорода при температуре 27 ºС
    Найти среднюю квадратичную скорость молекулы водорода при температуре 27 ºС. Подробное решение. Оформлено в Microsoft Word 2003. (Задание решено с использованием редактора формул)
    30 руб.

      При электролизе раствора бромида одновалентного металла, содержащего 41,2 г этой соли, выделилось 4,48 л (н. у.) водорода.
      При электролизе раствора бромида одновалентного металла, содержащего 41,2 г этой соли, выделилось 4,48 л (н. у.) водорода. Определите, бромид какого металла взяли. Считайте разложение соли полным. Подробное решение. Оформлено в Microsoft Word 2003. (За...
      30 руб.

        Почему запотевают очки когда человек с мороза входит в комнату
        Решенная задача по физике. Раздел: Молекулярная физика. Термодинамика Условие задачи: Почему запотевают очки, когда человек с мороза входит в комнату?
        5 руб.

          Определить длину математического маятника если его частота равна 0,2 Гц
          Решенная задача по физике. Раздел: Квантовая, ядерная физика Условие задачи: Определить длину математического маятника, если его частота равна 0,2 Гц Подробное решение. Оформлено в Microsoft Word 2003. (Задание решено с использованием редактора формул)
          20 руб.
            Корзина
            Ваша корзина пуста
            Валюта

            • 1 руб. = 5.000₸
            • 10 руб. = 0.100 $
            Поиск в магазине
            Группа Vk.com Рынок цифровых товаров plati.market, игры, игровые аккаунты, itunes, appstore, xbox, steam, ключи, пин-коды Сертификат Webmoney www.webmoney.ru

            Пользовательское соглашение | Договор оферты  ЭЙНФЕЛЬД ЛОЛИТА РИЧАРДОВНА ИНН 502205387028
            Решение контрольных работ по высшей математике
            Fizmathim.ru © 2013 - 2026


            Visa, MasterCard, Мир
            Рейтинг@Mail.ru