Контакты E-Mail: PMaxim2006@mail.ru Lolita.Einfeld@yandex.ru VK: id197545744 Instagram: @math_example

Решение задач и примеров

Информация
18.03.2024
Инструкция как оплачивать картой Каспи или Halyk для Казахстана
Прочитать инструкцию

18.03.2024
При добавлении товаров в корзину на сумму от 200 до 500 руб. и оформлении заказа активируется 5 % скидка на оплату, на сумму от 500 руб. активируется 10 % скидка на оплату

22.10.2022
Для Беларуси возможно оплачивать только банковской картой выпущенной в России или картой Белкарт МИР.
Также для Беларуси можно оплачивать Банковской картой Белкарт МИР или картой выпущенной в РФ, ЮMoney перейдя в раздел Решения заданий (digiseller) в меню сайта

23.08.2021
ЮMoney+Банковская карта. Принимаются виды оплат: Карты RU/РФ, ЮMoney-кошелек (Снижена комиссия)
Оплата картой Каспи или Halyk для Казахстана, пишите на почтовый ящик pmaxim2006@mail.ru

23.08.2021
В Digiseller можно найти все решения, что и на fizmathim.ru Перейти в Магазин на Digiseller
Можно воспользоваться формой поиска по первым 3-4 словам. Способы оплаты: Банковская карта (RU/РФ), ЮMoney, Webmoney, Unionpay, Alipay, Скины Steam

26.04.2019
- Все задачи оформлены в текстовом редакторе Microsoft Word, в PDF формате рассылаются решения отдельно.

- Ссылки действительны в течение 24 часов до первой попытки скачать (90 минут с момента первого скачивания).

05.02.2019
- Ссылка на скачивание задач, приходит на указанный вами почтовый ящик при оформлении заказа и его оплаты. Дополнительная рассылка оплаченных заказов на E-mail производится в течение нескольких минут/часов, тема писем имеет вид "Заказ xxxxx".
Форма входа
Главная Магазин готовых задач Высшая Математика Решенные методички

Контрольная работа N1 Вариант 17 Воронежский государственный технический университет (ВГТУ) Воронеж 2016 Математика


    300 руб.
  •        Единица: шт.
  •        Размер файла (.doc): 553.0Kb
  • Теги: контрольная N1, математика, ВГТУ, вариант17
    Чтобы получить решение задачи: 1) Нажмите "справа" на кнопку "Купить задачу"Купить задачу сейчас
    2) Выбираете один из удобных способов оплаты (ЮMoney+Банковская карта RU/РФ, ЮMoney-кошелек (Снижена комиссия) Webmoney WMZ-USD; WMB-белорусские рубли). Для Казахстана оплата переводом на карту Каспи или Halyk.
    3) Укажите E-Mail, на него придет ссылка на скачивание оплаченной задачи.
    4) Нажмите на «Оформить заказ», затем «Перейти к оплате»

    Перед покупкой задачи рекомендуем Вам ознакомиться с Примерами решений
    Бесплатные решенные примеры по высшей математике
    Пробная покупка "тестовой задачи" магазина за 3 руб. (проверка оплаты/доставки) и инструкция по оплате через Webmoney, ЮMoney+Банковская карта RU/РФ. Перейти на страницу
    Помимо решений в Word'е, также в e-mail-рассылку входят решения купленных задач в PDF формате для удобства просмотра на смартфонах и планшетах. Письма на e-mail приходят с темой "Заказ xxxxx"
Купить задачу
  • Описание

ВУЗ: Воронежский государственный технический университет (ВГТУ), Воронеж 2016
Методические указания к контрольной работе №1 по математике для студентов инженерно–технических специальностей заочной формы обучения Воронежский государственный технический университет Скачать файл
Решенные задания из Контрольная работа N1, вариант 17

Задача №1
Даны координаты вершин треугольника ABC. Найти:
1) уравнения сторон AB и AC и их угловые коэффициенты;
2) угол A в радианах (градусах) с точностью до двух знаков после запятой;
3) уравнение высоты CD и ее длину;
4) уравнение медианы AE и координаты точки K пересечения этой медианы с высотой CD.
Сделать чертеж.

17. A(–10; –9); B(2; 0); C(6; 22)

Задача №2
Даны координаты вершин пирамиды A1A2A3A4. Найти:
1) длину ребра A1A2;
2) угол между ребрами A1A2 и A1A4;
3) уравнение плоскости A1A2A3 и угол между ребром A1A4 и плоскостью A1A2A3;
4) уравнение высоты, опущенной из вершины A4 на грань A1A2A3 и ее длину;
5) площадь грани A1A2A3 и объем пирамиды.
Сделать чертеж.

17. A1(3;5;8), A2(6;5;8), A3(7;7;3), A4(8;4;1)

Задача №3
Сделать чертеж и составить уравнение линий:
17) для каждой точки которой отношение расстояния до точки A(–4; 0) к расстоянию до прямой 4x + 25 = 0 равно 0,8;

Задача №4
Решить систему линейных уравнений методом Гаусса.


Задача №5
Решить систему линейных уравнений двумя способами:
1) методом Крамера;
2) используя обратную матрицу.


Задача №6
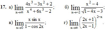
Вычислить пределы, не пользуясь правилом Лопиталя.


Задача №7
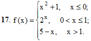
Исследовать функцию f(x) на непрерывность. Определить характер точек разрыва, если они существуют. Сделать чертеж.


Задача №8
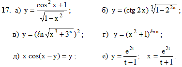
Найти производные заданных функций


Подробное решение. Оформлено в Microsoft Word 2003 (Задание решено с использованием редактора формул)

Если не нашли решение своего варианта, вы можете заказать его у нас.
Решение задачи добавил: Massimo, Понедельник, 04.12.2017
Корзина
Ваша корзина пуста
Валюта

  • 1 руб. = 5.000₸
  • 10 руб. = 0.100 $
Поиск в магазине
Группа Vk.com Рынок цифровых товаров plati.market, игры, игровые аккаунты, itunes, appstore, xbox, steam, ключи, пин-коды Сертификат Webmoney www.webmoney.ru

Пользовательское соглашение | Договор оферты  ЭЙНФЕЛЬД ЛОЛИТА РИЧАРДОВНА ИНН 502205387028
Решение контрольных работ по высшей математике
Fizmathim.ru © 2013 - 2025


Visa, MasterCard, Мир
Рейтинг@Mail.ru