Контакты E-Mail: PMaxim2006@mail.ru Lolita.Einfeld@yandex.ru VK: id197545744 Instagram: @math_example

Решение задач и примеров

Информация
18.03.2024
Инструкция как оплачивать картой Каспи или Halyk для Казахстана
Прочитать инструкцию

18.03.2024
При добавлении товаров в корзину на сумму от 200 до 500 руб. и оформлении заказа активируется 5 % скидка на оплату, на сумму от 500 руб. активируется 10 % скидка на оплату

22.10.2022
Для Беларуси возможно оплачивать только банковской картой выпущенной в России или картой Белкарт МИР.
Также для Беларуси можно оплачивать Банковской картой Белкарт МИР или картой выпущенной в РФ, ЮMoney перейдя в раздел Решения заданий (digiseller) в меню сайта

23.08.2021
ЮMoney+Банковская карта. Принимаются виды оплат: Карты RU/РФ, ЮMoney-кошелек (Снижена комиссия)
Оплата картой Каспи или Halyk для Казахстана, пишите на почтовый ящик pmaxim2006@mail.ru

23.08.2021
В Digiseller можно найти все решения, что и на fizmathim.ru Перейти в Магазин на Digiseller
Можно воспользоваться формой поиска по первым 3-4 словам. Способы оплаты: Банковская карта (RU/РФ), ЮMoney, Webmoney, Unionpay, Alipay, Скины Steam

26.04.2019
- Все задачи оформлены в текстовом редакторе Microsoft Word, в PDF формате рассылаются решения отдельно.

- Ссылки действительны в течение 24 часов до первой попытки скачать (90 минут с момента первого скачивания).

05.02.2019
- Ссылка на скачивание задач, приходит на указанный вами почтовый ящик при оформлении заказа и его оплаты. Дополнительная рассылка оплаченных заказов на E-mail производится в течение нескольких минут/часов, тема писем имеет вид "Заказ xxxxx".
Форма входа
Главная Магазин готовых задач Высшая Математика Решенные методички

Контрольная работа №2 Вариант 5 Линейная алгебра Дальневосточный государственный университет путей сообщения (ДВГУПС), Хабаровск 2013 Математика


    200 руб.
  •        Единица: шт.
  •        Размер файла (.doc): 268.5Kb
  • Теги: вариант5, двгупс, математика, контрольная, КР2
    Чтобы получить решение задачи: 1) Нажмите "справа" на кнопку "Купить задачу"Купить задачу сейчас
    2) Выбираете один из удобных способов оплаты (ЮMoney+Банковская карта RU/РФ, ЮMoney-кошелек (Снижена комиссия) Webmoney WMZ-USD; WMB-белорусские рубли). Для Казахстана оплата переводом на карту Каспи или Halyk.
    3) Укажите E-Mail, на него придет ссылка на скачивание оплаченной задачи.
    4) Нажмите на «Оформить заказ», затем «Перейти к оплате»

    Перед покупкой задачи рекомендуем Вам ознакомиться с Примерами решений
    Бесплатные решенные примеры по высшей математике
    Пробная покупка "тестовой задачи" магазина за 3 руб. (проверка оплаты/доставки) и инструкция по оплате через Webmoney, ЮMoney+Банковская карта RU/РФ. Перейти на страницу
    Помимо решений в Word'е, также в e-mail-рассылку входят решения купленных задач в PDF формате для удобства просмотра на смартфонах и планшетах. Письма на e-mail приходят с темой "Заказ xxxxx"
Купить задачу
  • Описание

ВУЗ: Дальневосточный государственный университет путей сообщения (ДВГУПС), Хабаровск 2013
Высшая математика. Методическое пособие и контрольные задания для студентов ИИФО, обучающихся по направлениям подготовки «Экономика», «Менеджмент». В данной работе даны краткие методические указания и задания для контрольных работ № 1-2, которые выполняются студентами ИИФО.
Методичка по математике Дальневосточный государственный университет путей сообщения Скачать файл
Решенные задания из Контрольной работы N2, Вариант 5

Контрольная работа № 2

Задание 1. Вычислить определитель, сведя к определителю 2-го порядка:


Задание 2. Даны матрицы А и В. Найдите матрицу C = AB – 2A–1 +3E:


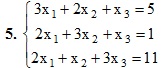
Задание 3. Решить систему алгебраических уравнений: 1) по формулам Крамера; 2) матричным способом; 3) методом Гаусса.


Задание 4. В таблице приведены данные об исполнении баланса за отчётный период, выраженные в условных денежных единицах:

Используя модель Леонтьева, по данным таблицы вычислить:
1) объёмы конечного продукта при увеличении валового выпуска каждой отрасли соответственно на 100% и 50 %;
2) необходимые объемы валового выпуска каждой отрасли, если конечное потребление отрасли Q1 увеличилось в k=2,2 раз, а отрасли Q2 на p=40 %.

Задание 5. Дана структурная матрица А торговли трёх стран. Найти бюджеты этих стран, удовлетворяющие бездефицитной торговле, при условии, что сумма бюджетов равна b.


Подробное решение. Оформлено в Microsoft Word 2003 (Задание решено с использованием редактора формул)

Если не нашли решение своего варианта, вы можете заказать его у нас.
Решение задачи добавил: Massimo, Вторник, 03.04.2018

Просмотренные ранее товары

При изучении эффекта Холла в натриевом проводнике напряженность поперечного электрического поля оказалась равной 5·10-6 В/м а индукция магнитного поля 1 Тл при плотности тока 200 А/см2 Определить ко
Решенная задача по физике. Раздел: Магнетизм. Электромагнетизм Условие задачи: При изучении эффекта Холла в натриевом проводнике напряженность поперечного электрического поля оказалась равной 5·10-6 В/м, а индукция магнитного поля 1 Тл при плотности то...
30 руб.

    При движении вдоль оси x скорость оказывается определенной с точностью ∆υx =1 см/с Оценить неопределенность координаты ∆х: а) для электрона; б) для броуновской частицы массы m ~ 0,1∙10-3г
    Решенная задача по физике. Раздел: Квантовая, ядерная физика Условие задачи: При движении вдоль оси x скорость оказывается определенной с точностью ∆υx =1 см/с. Оценить неопределенность координаты ∆х: а) для электрона; б) для броуновской частицы массы ...
    30 руб.

      Кинематическое уравнение движения материальной точки вдоль прямой (ось x) задается уравнением x = A + Bt + Ct2 + Dt3, где B = 9 м/с; C = −6 м/с2; D = 1 м/с3. Определите среднюю скорость <υ> и среднее
      Решенная задача по физике. Раздел: Механика, динамика Условие задачи: Кинематическое уравнение движения материальной точки вдоль прямой (ось x) задается уравнением x = A + Bt + Ct2 + Dt3, где B = 9 м/с; C = −6 м/с2; D = 1 м/с3. Определите среднюю скоро...
      30 руб.

        Сколько электроэнергии надо затратить для получения 2,5 л водорода при температуре 25 °С и давлении 100 кПа если электролиз ведется при напряжении 5 В и КПД установки 75%
        Решенная задача по физике. Раздел: Постоянный ток Условие задачи: Сколько электроэнергии надо затратить для получения 2,5 л водорода при температуре 25 °С и давлении 100 кПа, если электролиз ведется при напряжении 5 В и КПД установки 75%? Подробное реш...
        30 руб.
          Корзина
          Ваша корзина пуста
          Валюта

          • 1 руб. = 5.000₸
          • 10 руб. = 0.100 $
          Поиск в магазине
          Группа Vk.com Рынок цифровых товаров plati.market, игры, игровые аккаунты, itunes, appstore, xbox, steam, ключи, пин-коды Сертификат Webmoney www.webmoney.ru

          Пользовательское соглашение | Договор оферты  ЭЙНФЕЛЬД ЛОЛИТА РИЧАРДОВНА ИНН 502205387028
          Решение контрольных работ по высшей математике
          Fizmathim.ru © 2013 - 2026


          Visa, MasterCard, Мир
          Рейтинг@Mail.ru