Контакты E-Mail: PMaxim2006@mail.ru Lolita.Einfeld@yandex.ru VK: id197545744 Instagram: @math_example

Решение задач и примеров

Информация
18.03.2024
Инструкция как оплачивать картой Каспи или Halyk для Казахстана
Прочитать инструкцию

18.03.2024
При добавлении товаров в корзину на сумму от 200 до 500 руб. и оформлении заказа активируется 5 % скидка на оплату, на сумму от 500 руб. активируется 10 % скидка на оплату

22.10.2022
Для Беларуси возможно оплачивать только банковской картой выпущенной в России или картой Белкарт МИР.
Также для Беларуси можно оплачивать Банковской картой Белкарт МИР или картой выпущенной в РФ, ЮMoney перейдя в раздел Решения заданий (digiseller) в меню сайта

23.08.2021
ЮMoney+Банковская карта. Принимаются виды оплат: Карты RU/РФ, ЮMoney-кошелек (Снижена комиссия)
Оплата картой Каспи или Halyk для Казахстана, пишите на почтовый ящик pmaxim2006@mail.ru

23.08.2021
В Digiseller можно найти все решения, что и на fizmathim.ru Перейти в Магазин на Digiseller
Можно воспользоваться формой поиска по первым 3-4 словам. Способы оплаты: Банковская карта (RU/РФ), ЮMoney, Webmoney, Unionpay, Alipay, Скины Steam

26.04.2019
- Все задачи оформлены в текстовом редакторе Microsoft Word, в PDF формате рассылаются решения отдельно.

- Ссылки действительны в течение 24 часов до первой попытки скачать (90 минут с момента первого скачивания).

05.02.2019
- Ссылка на скачивание задач, приходит на указанный вами почтовый ящик при оформлении заказа и его оплаты. Дополнительная рассылка оплаченных заказов на E-mail производится в течение нескольких минут/часов, тема писем имеет вид "Заказ xxxxx".
Форма входа
Главная Магазин готовых задач Высшая Математика Решебник Клетеник

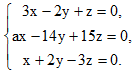
1251. Определить при каком значении а система однородных уравнений имеет ненулевое решение


    15 руб.
  •        Единица: шт.
  •        Размер файла (.doc): 26.5Kb

  • Чтобы получить решение задачи: 1) Нажмите "справа" на кнопку "Купить задачу"Купить задачу сейчас
    2) Выбираете один из удобных способов оплаты (ЮMoney+Банковская карта RU/РФ, ЮMoney-кошелек (Снижена комиссия) Webmoney WMZ-USD; WMB-белорусские рубли). Для Казахстана оплата переводом на карту Каспи или Halyk.
    3) Укажите E-Mail, на него придет ссылка на скачивание оплаченной задачи.
    4) Нажмите на «Оформить заказ», затем «Перейти к оплате»

    Перед покупкой задачи рекомендуем Вам ознакомиться с Примерами решений
    Бесплатные решенные примеры по высшей математике
    Пробная покупка "тестовой задачи" магазина за 3 руб. (проверка оплаты/доставки) и инструкция по оплате через Webmoney, ЮMoney+Банковская карта RU/РФ. Перейти на страницу
    Помимо решений в Word'е, также в e-mail-рассылку входят решения купленных задач в PDF формате для удобства просмотра на смартфонах и планшетах. Письма на e-mail приходят с темой "Заказ xxxxx"
Купить задачу
  • Описание
Готовое решение задания со сборника задач по аналитической геометрии Д.В. Клетеник

Элементы теории определителей.

Условие задачи:
1251. Определить, при каком значении а система однородных уравнений 1251. Решебник Клетеника имеет ненулевое решение.

Подробное решение. Оформлено в Microsoft Word 2003 (Задание решено с использованием редактора формул)
Решение задачи добавил: Massimo, Пятница, 11.10.2019

Просмотренные ранее товары

Согласно статистическим данным в городе N в среднем 15% открывающихся новых предприятий прекращают свою деятельность в течение года Какова вероятность что из 5 наугад выбранных новых предприятий к кон
Решенная задача по теории вероятностей и математической статистике. Условие задачи: 1795. Согласно статистическим данным в городе N в среднем 15% открывающихся новых предприятий прекращают свою деятельность в течение года. Какова вероятность, что из 5 ...
30 руб.

    Воздушный конденсатор заряженный до напряжения U1 = 800 В соединяют параллельно с одинаковым по размерам незаряженным конденсатором заполненным диэлектриком При этом напряжение на обкладках конденсато
    Решенная задача по физике. Раздел: Электростатика. Электричество и постоянный ток. Условие задачи: Воздушный конденсатор, заряженный до напряжения U1 = 800 В, соединяют параллельно с одинаковым по размерам незаряженным конденсатором, заполненным диэлек...
    30 руб.

      Вероятность сбоя в работе телефонной станции при каждом вызове равна p=0,005 Поступило n=600 вызовов Определить вероятность k=9 сбоев
      Решенная задача по теории вероятностей и математической статистике. Условие задачи: 880. Вероятность "сбоя" в работе телефонной станции при каждом вызове равна p=0,005. Поступило n=600 вызовов. Определить вероятность k=9 "сбоев". Подробное решение. Офо...
      30 руб.

        Вероятность промаха хотя бы одного при трех выстрелах равна 0,027 Найти вероятность поражения мишени а) при одном выстреле б) два раза при трех выстрелах в) не более двух раз при трех выстрелах
        Решенная задача по теории вероятностей и математической статистике. Условие задачи: 2266. Вероятность промаха хотя бы одного при трех выстрелах равна 0,027. Найти вероятность поражения мишени: а) при одном выстреле; б) два раза при трех выстрелах; в) н...
        30 руб.

          Вероятность наступления некоторого события в каждом из 100 независимых испытаний равна 0,75 Определить вероятность того что число m наступлений события удовлетворяет следующему неравенству 68≤m≤78
          Решенная задача по теории вероятностей и математической статистике. Условие задачи: 893. Вероятность наступления некоторого события в каждом из 100 независимых испытаний равна 0,75. Определить вероятность того, что число m наступлений события удовлетво...
          30 руб.
            Корзина
            Ваша корзина пуста
            Валюта

            • 1 руб. = 5.000₸
            • 10 руб. = 0.100 $
            Поиск в магазине
            Группа Vk.com Рынок цифровых товаров plati.market, игры, игровые аккаунты, itunes, appstore, xbox, steam, ключи, пин-коды Сертификат Webmoney www.webmoney.ru

            Пользовательское соглашение | Договор оферты  ЭЙНФЕЛЬД ЛОЛИТА РИЧАРДОВНА ИНН 502205387028
            Решение контрольных работ по высшей математике
            Fizmathim.ru © 2013 - 2025


            Visa, MasterCard, Мир
            Рейтинг@Mail.ru