Контакты E-Mail: PMaxim2006@mail.ru Lolita.Einfeld@yandex.ru VK: id197545744 Instagram: @math_example

Решение задач и примеров

Информация
18.03.2024
Инструкция как оплачивать картой Каспи или Halyk для Казахстана
Прочитать инструкцию

18.03.2024
При добавлении товаров в корзину на сумму от 200 до 500 руб. и оформлении заказа активируется 5 % скидка на оплату, на сумму от 500 руб. активируется 10 % скидка на оплату

22.10.2022
Для Беларуси возможно оплачивать только банковской картой выпущенной в России или картой Белкарт МИР.
Также для Беларуси можно оплачивать Банковской картой Белкарт МИР или картой выпущенной в РФ, ЮMoney перейдя в раздел Решения заданий (digiseller) в меню сайта

23.08.2021
ЮMoney+Банковская карта. Принимаются виды оплат: Карты RU/РФ, ЮMoney-кошелек (Снижена комиссия)
Оплата картой Каспи или Halyk для Казахстана, пишите на почтовый ящик pmaxim2006@mail.ru

23.08.2021
В Digiseller можно найти все решения, что и на fizmathim.ru Перейти в Магазин на Digiseller
Можно воспользоваться формой поиска по первым 3-4 словам. Способы оплаты: Банковская карта (RU/РФ), ЮMoney, Webmoney, Unionpay, Alipay, Скины Steam

26.04.2019
- Все задачи оформлены в текстовом редакторе Microsoft Word, в PDF формате рассылаются решения отдельно.

- Ссылки действительны в течение 24 часов до первой попытки скачать (90 минут с момента первого скачивания).

05.02.2019
- Ссылка на скачивание задач, приходит на указанный вами почтовый ящик при оформлении заказа и его оплаты. Дополнительная рассылка оплаченных заказов на E-mail производится в течение нескольких минут/часов, тема писем имеет вид "Заказ xxxxx".
Форма входа
Главная Магазин готовых задач Высшая Математика Решебник ИДЗ Рябушко ИДЗ Рябушко Вариант 12

ИДЗ 16.1 Вариант 12 решебник ИДЗ Рябушко


    90 руб.
  •        Единица: шт.
  •        Размер файла (.doc): 104.0Kb
  • Теги: готовые задачи, ИДЗ 16.1, вариант 12, Задания по математике, решения Рябушко
    Чтобы получить решение задачи: 1) Нажмите "справа" на кнопку "Купить задачу"Купить задачу сейчас
    2) Выбираете один из удобных способов оплаты (ЮMoney+Банковская карта RU/РФ, ЮMoney-кошелек (Снижена комиссия) Webmoney WMZ-USD; WMB-белорусские рубли). Для Казахстана оплата переводом на карту Каспи или Halyk.
    3) Укажите E-Mail, на него придет ссылка на скачивание оплаченной задачи.
    4) Нажмите на «Оформить заказ», затем «Перейти к оплате»

    Перед покупкой задачи рекомендуем Вам ознакомиться с Примерами решений
    Бесплатные решенные примеры по высшей математике
    Пробная покупка "тестовой задачи" магазина за 3 руб. (проверка оплаты/доставки) и инструкция по оплате через Webmoney, ЮMoney+Банковская карта RU/РФ. Перейти на страницу
    Помимо решений в Word'е, также в e-mail-рассылку входят решения купленных задач в PDF формате для удобства просмотра на смартфонах и планшетах. Письма на e-mail приходят с темой "Заказ xxxxx"
Купить задачу
  • Описание
Сборник индивидуальных заданий по высшей математике Рябушко А.П. Часть 4.
16. Операционное исчисление.
16.1 Оригинал и изображение по Лапласу
16.2 Нахождение оригиналов по изображениям

ИДЗ 16.1 Вариант 12. Решебник Рябушко Часть 4

1. По заданному оригиналу найти изображение по Лапласу:

Значения параметров α, ω, Mi (i = 0, 1, 2, 3), A, B, C, D, E, F, G приведены в табл. 16.1
1.12. α = 2, ω = 0, M0 = 1, M1 = 0, M2 = 0, M3 = 1, A = 0, B = 0, C = 2, D = 1, E = 0, F = 3, G = 0


2. Найти изображение функции

Функции f1(t), f2(t) и числовые значения параметров t1, t2 приведены в табл. 16.2.
2.12. f1(t) = sint, f2(t) = cost, t1 = π/2, t2 = π


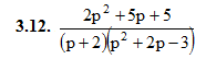
3. По заданному изображению

найти оригинал. Значения коэффициентов A, B, C, a, b, c приведены в табл. 16.3.
3.12. A = 2, B = 5, C = 5, a = 2, b = 2, c = −3.


Подробное решение. Оформлено в Microsoft Word 2003 (Задание решено с использованием редактора формул)
Решение задачи добавил: Massimo, Четверг, 10.11.2022

Просмотренные ранее товары

ИДЗ 14.1 Вариант 12 решебник ИДЗ Рябушко
Сборник индивидуальных заданий по высшей математике Рябушко А.П. Часть 3. 14. Криволинейные интегралы. 14.1 Криволинейные интегралы и их вычисление Криволинейные интегралы первого рода (по длине дуги) Криволинейные интегралы второго рода (по координата...
100 руб.
    Корзина
    Ваша корзина пуста
    Валюта

    • 10 руб. = 0.100 $
    • 1 руб. = 5.000₸
    Поиск в магазине
    Группа Vk.com Рынок цифровых товаров plati.market, игры, игровые аккаунты, itunes, appstore, xbox, steam, ключи, пин-коды Сертификат Webmoney www.webmoney.ru

    Пользовательское соглашение | Договор оферты  ЭЙНФЕЛЬД ЛОЛИТА РИЧАРДОВНА ИНН 502205387028
    Решение контрольных работ по высшей математике
    Fizmathim.ru © 2013 - 2026


    Visa, MasterCard, Мир
    Рейтинг@Mail.ru