Контакты E-Mail: PMaxim2006@mail.ru Lolita.Einfeld@yandex.ru VK: id197545744 Instagram: @math_example

Решение задач и примеров

Информация
18.03.2024
Инструкция как оплачивать картой Каспи или Halyk для Казахстана
Прочитать инструкцию

18.03.2024
При добавлении товаров в корзину на сумму от 200 до 500 руб. и оформлении заказа активируется 5 % скидка на оплату, на сумму от 500 руб. активируется 10 % скидка на оплату

22.10.2022
Для Беларуси возможно оплачивать только банковской картой выпущенной в России или картой Белкарт МИР.
Также для Беларуси можно оплачивать Банковской картой Белкарт МИР или картой выпущенной в РФ, ЮMoney перейдя в раздел Решения заданий (digiseller) в меню сайта

23.08.2021
ЮMoney+Банковская карта. Принимаются виды оплат: Карты RU/РФ, ЮMoney-кошелек (Снижена комиссия)
Оплата картой Каспи или Halyk для Казахстана, пишите на почтовый ящик pmaxim2006@mail.ru

23.08.2021
В Digiseller можно найти все решения, что и на fizmathim.ru Перейти в Магазин на Digiseller
Можно воспользоваться формой поиска по первым 3-4 словам. Способы оплаты: Банковская карта (RU/РФ), ЮMoney, Webmoney, Unionpay, Alipay, Скины Steam

26.04.2019
- Все задачи оформлены в текстовом редакторе Microsoft Word, в PDF формате рассылаются решения отдельно.

- Ссылки действительны в течение 24 часов до первой попытки скачать (90 минут с момента первого скачивания).

05.02.2019
- Ссылка на скачивание задач, приходит на указанный вами почтовый ящик при оформлении заказа и его оплаты. Дополнительная рассылка оплаченных заказов на E-mail производится в течение нескольких минут/часов, тема писем имеет вид "Заказ xxxxx".
Форма входа
Главная Магазин готовых задач Высшая Математика Решебник ИДЗ Рябушко ИДЗ Рябушко Вариант 10

ИДЗ 5.1 Вариант 10 решебник ИДЗ Рябушко


    100 руб.
  •        Единица: шт.
  •        Размер файла (.doc): 111.0Kb
  • Теги: готовые задачи, ИДЗ 5.1, вариант 10, Задания по математике, решения Рябушко
    Чтобы получить решение задачи: 1) Нажмите "справа" на кнопку "Купить задачу"Купить задачу сейчас
    2) Выбираете один из удобных способов оплаты (ЮMoney+Банковская карта RU/РФ, ЮMoney-кошелек (Снижена комиссия) Webmoney WMZ-USD; WMB-белорусские рубли). Для Казахстана оплата переводом на карту Каспи или Halyk.
    3) Укажите E-Mail, на него придет ссылка на скачивание оплаченной задачи.
    4) Нажмите на «Оформить заказ», затем «Перейти к оплате»

    Перед покупкой задачи рекомендуем Вам ознакомиться с Примерами решений
    Бесплатные решенные примеры по высшей математике
    Пробная покупка "тестовой задачи" магазина за 3 руб. (проверка оплаты/доставки) и инструкция по оплате через Webmoney, ЮMoney+Банковская карта RU/РФ. Перейти на страницу
    Помимо решений в Word'е, также в e-mail-рассылку входят решения купленных задач в PDF формате для удобства просмотра на смартфонах и планшетах. Письма на e-mail приходят с темой "Заказ xxxxx"
Купить задачу
  • Описание
Сборник индивидуальных заданий по высшей математике Рябушко А.П. Часть 1.
5. Функции. Пределы. Непрерывность функций.
5.1 Определение и способы задания функции
5.2 Пределы функций
5.3 Раскрытие простейших неопределенностей.
5.4 Замечательные пределы

ИДЗ 5.1 Вариант 10. Решебник Рябушко Часть 1
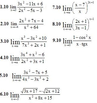
1.Найти указанные пределы (1-9) пределов

Вариант 10 ИДЗ 5.1 9 заданий

Подробное решение. Оформлено в Microsoft Word 2003 (Задание решено с использованием редактора формул)
Решение задачи добавил: Massimo, Понедельник, 22.07.2013

Просмотренные ранее товары

В станице Зеленчукской на Кавказе установлен телескоп с диаметром зеркала D = 6м Определить можно ли с его помощью разрешить увидеть раздельно компоненты двойной звезды если угол между ними при
В станице Зеленчукской (на Кавказе) установлен телескоп с диаметром зеркала D = 6м. Определить, можно ли с его помощью разрешить (увидеть раздельно) компоненты двойной звезды, если угол между ними при рассмотрении с Земли составляет φ=10-6 рад. Подробн...
20 руб.

    Проводящий стержень длиной l = 0,40 м равномерно вращается в горизонтальной плоскости в однородном магнитном поле Силовые линии поля направлены вертикально магнитная индукция В = 10 мТл Ось вращени
    Решенная задача по физике. Раздел: Магнетизм. Электромагнетизм Условие задачи: Проводящий стержень длиной l = 0,40 м равномерно вращается в горизонтальной плоскости в однородном магнитном поле. Силовые линии поля направлены вертикально, магнитная индук...
    30 руб.

      Рассчитать толщину защитного водяного слоя который ослабляет интенсивность излучения с энергией 1,6 МэВ в 5 раз
      Решенная задача по физике. Раздел: Квантовая, ядерная физика Условие задачи: Рассчитать толщину защитного водяного слоя, который ослабляет интенсивность излучения с энергией 1,6 МэВ в 5 раз. Подробное решение. Оформлено в Microsoft Word 2003. (Задание ...
      20 руб.

        Контрольная работа 2 семестр Вариант 8 (18,28,38,48) Сургутский государственный университет
        ВУЗ: Сургутский государственный университет Математика для бакалавров – Промышленное и гражданское строительство 2 й семестр Методичка по математике Сургутский государственный университет Скачать файл Решенные задания из Контрольной работы 2-го семестр...
        150 руб.

          К спиральной пружине жесткостью k=10 Н/м подвесили грузик массой m=10 г и погрузили всю систему в вязкую среду Приняв коэффициент сопротивления b равным 0,1 кг/с определить 1) частоту ν0 собственны
          Решенная задача по физике. Раздел: Колебания и волны Условие задачи: К спиральной пружине жесткостью k=10 Н/м подвесили грузик массой m=10 г и погрузили всю систему в вязкую среду. Приняв коэффициент сопротивления b равным 0,1 кг/с, определить: 1) част...
          30 руб.
            Корзина
            Ваша корзина пуста
            Валюта

            • 10 руб. = 0.100 $
            • 1 руб. = 5.000₸
            Поиск в магазине
            Группа Vk.com Рынок цифровых товаров plati.market, игры, игровые аккаунты, itunes, appstore, xbox, steam, ключи, пин-коды Сертификат Webmoney www.webmoney.ru

            Пользовательское соглашение | Договор оферты  ЭЙНФЕЛЬД ЛОЛИТА РИЧАРДОВНА ИНН 502205387028
            Решение контрольных работ по высшей математике
            Fizmathim.ru © 2013 - 2025


            Visa, MasterCard, Мир
            Рейтинг@Mail.ru