Контакты E-Mail: PMaxim2006@mail.ru Lolita.Einfeld@yandex.ru VK: id197545744 Instagram: @math_example

Решение задач и примеров

Информация
18.03.2024
Инструкция как оплачивать картой Каспи или Halyk для Казахстана
Прочитать инструкцию

18.03.2024
При добавлении товаров в корзину на сумму от 200 до 500 руб. и оформлении заказа активируется 5 % скидка на оплату, на сумму от 500 руб. активируется 10 % скидка на оплату

22.10.2022
Для Беларуси возможно оплачивать только банковской картой выпущенной в России или картой Белкарт МИР.
Также для Беларуси можно оплачивать Банковской картой Белкарт МИР или картой выпущенной в РФ, ЮMoney перейдя в раздел Решения заданий (digiseller) в меню сайта

23.08.2021
ЮMoney+Банковская карта. Принимаются виды оплат: Карты RU/РФ, ЮMoney-кошелек (Снижена комиссия)
Оплата картой Каспи или Halyk для Казахстана, пишите на почтовый ящик pmaxim2006@mail.ru

23.08.2021
В Digiseller можно найти все решения, что и на fizmathim.ru Перейти в Магазин на Digiseller
Можно воспользоваться формой поиска по первым 3-4 словам. Способы оплаты: Банковская карта (RU/РФ), ЮMoney, Webmoney, Unionpay, Alipay, Скины Steam

26.04.2019
- Все задачи оформлены в текстовом редакторе Microsoft Word, в PDF формате рассылаются решения отдельно.

- Ссылки действительны в течение 24 часов до первой попытки скачать (90 минут с момента первого скачивания).

05.02.2019
- Ссылка на скачивание задач, приходит на указанный вами почтовый ящик при оформлении заказа и его оплаты. Дополнительная рассылка оплаченных заказов на E-mail производится в течение нескольких минут/часов, тема писем имеет вид "Заказ xxxxx".
Форма входа
Главная Магазин готовых задач Высшая Математика Решебник ИДЗ Рябушко ИДЗ Рябушко Вариант 11

ИДЗ 5.1 Вариант 11 решебник по Рябушко


    100 руб.
  •        Единица: шт.
  •        Размер файла (.doc): 107.5Kb
  • Теги: готовые задачи, ИДЗ 5.1, вариант 11, Задания по математике, решения Рябушко
    Чтобы получить решение задачи: 1) Нажмите "справа" на кнопку "Купить задачу"Купить задачу сейчас
    2) Выбираете один из удобных способов оплаты (ЮMoney+Банковская карта RU/РФ, ЮMoney-кошелек (Снижена комиссия) Webmoney WMZ-USD; WMB-белорусские рубли). Для Казахстана оплата переводом на карту Каспи или Halyk.
    3) Укажите E-Mail, на него придет ссылка на скачивание оплаченной задачи.
    4) Нажмите на «Оформить заказ», затем «Перейти к оплате»

    Перед покупкой задачи рекомендуем Вам ознакомиться с Примерами решений
    Бесплатные решенные примеры по высшей математике
    Пробная покупка "тестовой задачи" магазина за 3 руб. (проверка оплаты/доставки) и инструкция по оплате через Webmoney, ЮMoney+Банковская карта RU/РФ. Перейти на страницу
    Помимо решений в Word'е, также в e-mail-рассылку входят решения купленных задач в PDF формате для удобства просмотра на смартфонах и планшетах. Письма на e-mail приходят с темой "Заказ xxxxx"
Купить задачу
  • Описание
Сборник индивидуальных заданий по высшей математике Рябушко А.П. Часть 1.
5. Функции. Пределы. Непрерывность функций.
5.1 Определение и способы задания функции
5.2 Пределы функций
5.3 Раскрытие простейших неопределенностей.
5.4 Замечательные пределы

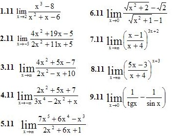
ИДЗ 5.1 Вариант 11. Решения Рябушко Сборник задач №1

1.Найти указанные пределы (1-9) пределов

Вариант 11 ИДЗ 5.1 9 задач

Подробное решение. Оформлено в Microsoft Word 2003 (Задание решено с использованием редактора формул)
Решение задачи добавил: Massimo, Понедельник, 22.07.2013

Просмотренные ранее товары

ИДЗ 6.1 Вариант 19 решебник ИДЗ Рябушко
Сборник индивидуальных заданий по высшей математике Рябушко А.П. Часть 1. 6. Дифференциальное исчисление функций одной переменной и его приложения ИДЗ 6-1 1. Продифференцировать данные функции (1-14) Подробное решение. Оформлено в Microsoft Word 2003 (...
140 руб.

    ИДЗ 6.1 Вариант 10 решебник ИДЗ Рябушко
    1. Продифференцировать данные функции (1-14) Подробное решение. Оформлено в Microsoft Word 2003 (Задание решено с использованием редактора формул)
    140 руб.

      ИДЗ 6.1 Вариант 16 решебник по Рябушко
      Сборник индивидуальных заданий по высшей математике Рябушко А.П. Часть 1. 6. Дифференциальное исчисление функций одной переменной и его приложения ИДЗ 6-1 1. Продифференцировать данные функции (1-14) Подробное решение. Оформлено в Microsoft Word 2003 (...
      140 руб.

        ИДЗ 2.1 Вариант 19 решебник ИДЗ Рябушко
        1. Даны векторы a = αm+βn и b = γm+δn, где |m| = k; |n| = l; (m,^n) = φ. Найти а) (λa+μb)∙(νa+τb); б) прв(νa+τb); в) cos(a,^τb) 1.19 α = 4, β = –5, γ = –1, δ = 3, k = 6, l = 3, φ = 2π/3, λ = 2, μ = –5, ν = 1, τ = 2 2. По координатам точек А, В и С для ...
        70 руб.

          ИДЗ 6.1 Вариант 23 решения по Рябушко
          Сборник индивидуальных заданий по высшей математике Рябушко А.П. Часть 1. 6. Дифференциальное исчисление функций одной переменной и его приложения ИДЗ 6-1 1. Продифференцировать данные функции (1-14) Подробное решение. Оформлено в Microsoft Word 2003 (...
          140 руб.
            Корзина
            Ваша корзина пуста
            Валюта

            • 10 руб. = 0.100 $
            • 1 руб. = 5.000₸
            Поиск в магазине
            Группа Vk.com Рынок цифровых товаров plati.market, игры, игровые аккаунты, itunes, appstore, xbox, steam, ключи, пин-коды Сертификат Webmoney www.webmoney.ru

            Пользовательское соглашение | Договор оферты  ЭЙНФЕЛЬД ЛОЛИТА РИЧАРДОВНА ИНН 502205387028
            Решение контрольных работ по высшей математике
            Fizmathim.ru © 2013 - 2026


            Visa, MasterCard, Мир
            Рейтинг@Mail.ru