Контакты E-Mail: PMaxim2006@mail.ru Lolita.Einfeld@yandex.ru VK: id197545744 Instagram: @math_example

Решение задач и примеров

Информация
18.03.2024
Инструкция как оплачивать картой Каспи или Halyk для Казахстана
Прочитать инструкцию

18.03.2024
При добавлении товаров в корзину на сумму от 200 до 500 руб. и оформлении заказа активируется 5 % скидка на оплату, на сумму от 500 руб. активируется 10 % скидка на оплату

22.10.2022
Для Беларуси возможно оплачивать только банковской картой выпущенной в России или картой Белкарт МИР.
Также для Беларуси можно оплачивать Банковской картой Белкарт МИР или картой выпущенной в РФ, ЮMoney перейдя в раздел Решения заданий (digiseller) в меню сайта

23.08.2021
ЮMoney+Банковская карта. Принимаются виды оплат: Карты RU/РФ, ЮMoney-кошелек (Снижена комиссия)
Оплата картой Каспи или Halyk для Казахстана, пишите на почтовый ящик pmaxim2006@mail.ru

23.08.2021
В Digiseller можно найти все решения, что и на fizmathim.ru Перейти в Магазин на Digiseller
Можно воспользоваться формой поиска по первым 3-4 словам. Способы оплаты: Банковская карта (RU/РФ), ЮMoney, Webmoney, Unionpay, Alipay, Скины Steam

26.04.2019
- Все задачи оформлены в текстовом редакторе Microsoft Word, в PDF формате рассылаются решения отдельно.

- Ссылки действительны в течение 24 часов до первой попытки скачать (90 минут с момента первого скачивания).

05.02.2019
- Ссылка на скачивание задач, приходит на указанный вами почтовый ящик при оформлении заказа и его оплаты. Дополнительная рассылка оплаченных заказов на E-mail производится в течение нескольких минут/часов, тема писем имеет вид "Заказ xxxxx".
Форма входа
Главная Магазин готовых задач Высшая Математика Решебник ИДЗ Рябушко ИДЗ Рябушко Вариант 24

ИДЗ 5.1 Вариант 24 решения по Рябушко


    100 руб.
  •        Единица: шт.
  •        Размер файла (.doc): 93.5Kb
  • Теги: готовые задачи, ИДЗ 5.1, вариант 24, Задания по математике, решения Рябушко
    Чтобы получить решение задачи: 1) Нажмите "справа" на кнопку "Купить задачу"Купить задачу сейчас
    2) Выбираете один из удобных способов оплаты (ЮMoney+Банковская карта RU/РФ, ЮMoney-кошелек (Снижена комиссия) Webmoney WMZ-USD; WMB-белорусские рубли). Для Казахстана оплата переводом на карту Каспи или Halyk.
    3) Укажите E-Mail, на него придет ссылка на скачивание оплаченной задачи.
    4) Нажмите на «Оформить заказ», затем «Перейти к оплате»

    Перед покупкой задачи рекомендуем Вам ознакомиться с Примерами решений
    Бесплатные решенные примеры по высшей математике
    Пробная покупка "тестовой задачи" магазина за 3 руб. (проверка оплаты/доставки) и инструкция по оплате через Webmoney, ЮMoney+Банковская карта RU/РФ. Перейти на страницу
    Помимо решений в Word'е, также в e-mail-рассылку входят решения купленных задач в PDF формате для удобства просмотра на смартфонах и планшетах. Письма на e-mail приходят с темой "Заказ xxxxx"
Купить задачу
  • Описание
Сборник индивидуальных заданий по высшей математике Рябушко А.П. Часть 1.
5. Функции. Пределы. Непрерывность функций.
5.1 Определение и способы задания функции
5.2 Пределы функций
5.3 Раскрытие простейших неопределенностей.
5.4 Замечательные пределы

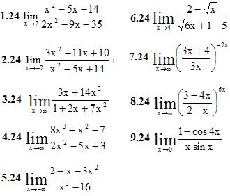
ИДЗ 5.1 Вариант 24. Решебник Рябушко Сборник задач №1

1.Найти указанные пределы (1-9) пределов

9 задач Вариант 24 ИДЗ 5.1
Подробное решение. Оформлено в Microsoft Word 2003 (Задание решено с использованием редактора формул)
Решение задачи добавил: Massimo, Понедельник, 22.07.2013

Просмотренные ранее товары

ИДЗ 8.2 Вариант 6 решебник ИДЗ Рябушко
Сборник индивидуальных заданий по высшей математике Рябушко А.П. Часть 2. 8. Неопределенный интеграл 8.2 Непосредственное интегрирование функций 8.3 Интегрирование функций, содержащих квадратных трехчлен ИДЗ 8-2 1. Найти неопределенные интегралы (1-10)...
120 руб.

    ИДЗ 1.2 Вариант 8 решебник ИДЗ Рябушко
    1. Проверить совместность системы уравнений и в случае совместности решить ее: а) по формулам Крамера; б) с помощью обратной матрицы (матричным методом); в) методом Гаусса. 2. Проверить совместность системы уравнений и в случае совместности решить ее: ...
    80 руб.

      ИДЗ 5.2 Вариант 21 решения по Рябушко
      1. Доказать, что функции f(x) и φ(x) при x→0 являются бесконечно малыми одного порядка малости. 2. Найти пределы, используя эквивалентные бесконечно малые функции. Используя таблицу эквивалентных бесконечно малых. 3. Исследовать данные функции на непре...
      80 руб.

        ИДЗ 3.1 Вариант 8 решебник ИДЗ Рябушко
        1. Даны четыре точки A1(x1, y1, z1), A2(x2, y2, z2), A3(x3, y3, z3), A4(x4, y4, z4) Составить уравнения: а) плоскости А1А2А3; б) прямой А1А2; в) прямой А4М, перпендикулярной к плоскости А1А2А3; г) прямой А3N, параллельной прямой А1А2; д) плоскости, про...
        70 руб.

          ИДЗ 5.2 Вариант 18 решебник ИДЗ Рябушко
          1. Доказать, что функции f(x) и φ(x) при x→0 являются бесконечно малыми одного порядка малости. 1.18 f(x)=tg(x2+2x), φ(x)= x2+2x 2. Найти пределы, используя эквивалентные бесконечно малые функции. Используя таблицу эквивалентных бесконечно малых. 3. Ис...
          80 руб.
            Корзина
            Ваша корзина пуста
            Валюта

            • 1 руб. = 5.000₸
            • 10 руб. = 0.100 $
            Поиск в магазине
            Группа Vk.com Рынок цифровых товаров plati.market, игры, игровые аккаунты, itunes, appstore, xbox, steam, ключи, пин-коды Сертификат Webmoney www.webmoney.ru

            Пользовательское соглашение | Договор оферты  ЭЙНФЕЛЬД ЛОЛИТА РИЧАРДОВНА ИНН 502205387028
            Решение контрольных работ по высшей математике
            Fizmathim.ru © 2013 - 2026


            Visa, MasterCard, Мир
            Рейтинг@Mail.ru