Контакты E-Mail: PMaxim2006@mail.ru Lolita.Einfeld@yandex.ru VK: id197545744 Instagram: @math_example

Решение задач и примеров

Информация
18.03.2024
Инструкция как оплачивать картой Каспи или Halyk для Казахстана
Прочитать инструкцию

18.03.2024
При добавлении товаров в корзину на сумму от 200 до 500 руб. и оформлении заказа активируется 5 % скидка на оплату, на сумму от 500 руб. активируется 10 % скидка на оплату

22.10.2022
Для Беларуси возможно оплачивать только банковской картой выпущенной в России или картой Белкарт МИР.
Также для Беларуси можно оплачивать Банковской картой Белкарт МИР или картой выпущенной в РФ, ЮMoney перейдя в раздел Решения заданий (digiseller) в меню сайта

23.08.2021
ЮMoney+Банковская карта. Принимаются виды оплат: Карты RU/РФ, ЮMoney-кошелек (Снижена комиссия)
Оплата картой Каспи или Halyk для Казахстана, пишите на почтовый ящик pmaxim2006@mail.ru

23.08.2021
В Digiseller можно найти все решения, что и на fizmathim.ru Перейти в Магазин на Digiseller
Можно воспользоваться формой поиска по первым 3-4 словам. Способы оплаты: Банковская карта (RU/РФ), ЮMoney, Webmoney, Unionpay, Alipay, Скины Steam

26.04.2019
- Все задачи оформлены в текстовом редакторе Microsoft Word, в PDF формате рассылаются решения отдельно.

- Ссылки действительны в течение 24 часов до первой попытки скачать (90 минут с момента первого скачивания).

05.02.2019
- Ссылка на скачивание задач, приходит на указанный вами почтовый ящик при оформлении заказа и его оплаты. Дополнительная рассылка оплаченных заказов на E-mail производится в течение нескольких минут/часов, тема писем имеет вид "Заказ xxxxx".
Форма входа
Главная Магазин готовых задач Высшая Математика Решебник ИДЗ Рябушко ИДЗ Рябушко Вариант 12

ИДЗ 6.3 Вариант 12 решебник по Рябушко


    130 руб.
  •        Единица: шт.
  •        Размер файла (.doc): 130.0Kb
  • Теги: ИДЗ 6.3, вариант 12, готовые задачи, Задания по математике, решения Рябушко
    Чтобы получить решение задачи: 1) Нажмите "справа" на кнопку "Купить задачу"Купить задачу сейчас
    2) Выбираете один из удобных способов оплаты (ЮMoney+Банковская карта RU/РФ, ЮMoney-кошелек (Снижена комиссия) Webmoney WMZ-USD; WMB-белорусские рубли). Для Казахстана оплата переводом на карту Каспи или Halyk.
    3) Укажите E-Mail, на него придет ссылка на скачивание оплаченной задачи.
    4) Нажмите на «Оформить заказ», затем «Перейти к оплате»

    Перед покупкой задачи рекомендуем Вам ознакомиться с Примерами решений
    Бесплатные решенные примеры по высшей математике
    Пробная покупка "тестовой задачи" магазина за 3 руб. (проверка оплаты/доставки) и инструкция по оплате через Webmoney, ЮMoney+Банковская карта RU/РФ. Перейти на страницу
    Помимо решений в Word'е, также в e-mail-рассылку входят решения купленных задач в PDF формате для удобства просмотра на смартфонах и планшетах. Письма на e-mail приходят с темой "Заказ xxxxx"
Купить задачу
  • Описание
Сборник индивидуальных заданий по высшей математике Рябушко А.П. Часть 1.
6. Дифференциальное исчисление функций одной переменной и его приложения
Теоремы о среднем. Правило Лопиталя - Бернулли

ИДЗ 6.3 Вариант 12. Решения Рябушко Сборник задач №1

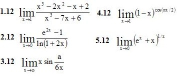
1. Найти указанные пределы, используя правило Лопиталя:
Вариант №12 ИДЗ 6.3 5 заданий

2. С помощью дифференциала приближенно вычислить данные величины и оценить допущенную относительную погрешность (с точностью до двух знаков после запятой)

6.12 3√10

7.12 ln(e2 + 0,2)

Подробное решение. Оформлено в Microsoft Word 2003 (Задание решено с использованием редактора формул)
Решение задачи добавил: Massimo, Понедельник, 02.09.2013

Просмотренные ранее товары

ИДЗ 5.1 Вариант 14 решебник по Рябушко
1.Найти указанные пределы (1-9) пределов Подробное решение. Оформлено в Microsoft Word 2003 (Задание решено с использованием редактора формул)
100 руб.

    ИДЗ 8.1 Вариант 11 решебник по Рябушко
    Сборник индивидуальных заданий по высшей математике Рябушко А.П. Часть 2. 8. Неопределенный интеграл 8.1 Первообразная функции и неопределенный интеграл ИДЗ 8-1 1. Найти неопределенные интегралы (в заданиях 1-5 результаты интегрирования проверить диффе...
    90 руб.

      ИДЗ 1.1 Вариант 17 решебник по Рябушко
      1. Для данного определителя Δ найти миноры и алгебраические дополнения элементов ai2, a3j. Вычислить определитель Δ: а) разложив его по элементам i-й строки; б) разложив его по элементам j-го столбца; в) получив предварительно нули в i-й строке. 2. Дан...
      40 руб.

        ИДЗ 5.1 Вариант 11 решебник по Рябушко
        1.Найти указанные пределы (1-9) пределов Подробное решение. Оформлено в Microsoft Word 2003 (Задание решено с использованием редактора формул)
        100 руб.

          ИДЗ 1.1 Вариант 14 решебник по Рябушко
          1. Для данного определителя Δ найти миноры и алгебраические дополнения элементов ai2, a3j. Вычислить определитель Δ: а) разложив его по элементам i-й строки; б) разложив его по элементам j-го столбца; в) получив предварительно нули в i-й строке. 2. Дан...
          40 руб.
            Корзина
            Ваша корзина пуста
            Валюта

            • 10 руб. = 0.100 $
            • 1 руб. = 5.000₸
            Поиск в магазине
            Группа Vk.com Рынок цифровых товаров plati.market, игры, игровые аккаунты, itunes, appstore, xbox, steam, ключи, пин-коды Сертификат Webmoney www.webmoney.ru

            Пользовательское соглашение | Договор оферты  ЭЙНФЕЛЬД ЛОЛИТА РИЧАРДОВНА ИНН 502205387028
            Решение контрольных работ по высшей математике
            Fizmathim.ru © 2013 - 2026


            Visa, MasterCard, Мир
            Рейтинг@Mail.ru