Контакты E-Mail: PMaxim2006@mail.ru Lolita.Einfeld@yandex.ru VK: id197545744 Instagram: @math_example

Решение задач и примеров

Информация
18.03.2024
Инструкция как оплачивать картой Каспи или Halyk для Казахстана
Прочитать инструкцию

18.03.2024
При добавлении товаров в корзину на сумму от 200 до 500 руб. и оформлении заказа активируется 5 % скидка на оплату, на сумму от 500 руб. активируется 10 % скидка на оплату

22.10.2022
Для Беларуси возможно оплачивать только банковской картой выпущенной в России или картой Белкарт МИР.
Также для Беларуси можно оплачивать Банковской картой Белкарт МИР или картой выпущенной в РФ, ЮMoney перейдя в раздел Решения заданий (digiseller) в меню сайта

23.08.2021
ЮMoney+Банковская карта. Принимаются виды оплат: Карты RU/РФ, ЮMoney-кошелек (Снижена комиссия)
Оплата картой Каспи или Halyk для Казахстана, пишите на почтовый ящик pmaxim2006@mail.ru

23.08.2021
В Digiseller можно найти все решения, что и на fizmathim.ru Перейти в Магазин на Digiseller
Можно воспользоваться формой поиска по первым 3-4 словам. Способы оплаты: Банковская карта (RU/РФ), ЮMoney, Webmoney, Unionpay, Alipay, Скины Steam

26.04.2019
- Все задачи оформлены в текстовом редакторе Microsoft Word, в PDF формате рассылаются решения отдельно.

- Ссылки действительны в течение 24 часов до первой попытки скачать (90 минут с момента первого скачивания).

05.02.2019
- Ссылка на скачивание задач, приходит на указанный вами почтовый ящик при оформлении заказа и его оплаты. Дополнительная рассылка оплаченных заказов на E-mail производится в течение нескольких минут/часов, тема писем имеет вид "Заказ xxxxx".
Форма входа
Главная Магазин готовых задач Высшая Математика Решебник ИДЗ Рябушко ИДЗ Рябушко Вариант 13

ИДЗ 6.3 Вариант 13 решебник по Рябушко


    130 руб.
  •        Единица: шт.
  •        Размер файла (.doc): 134.5Kb
  • Теги: ИДЗ 6.3, вариант 13, готовые задачи, Задания по математике, решения Рябушко
    Чтобы получить решение задачи: 1) Нажмите "справа" на кнопку "Купить задачу"Купить задачу сейчас
    2) Выбираете один из удобных способов оплаты (ЮMoney+Банковская карта RU/РФ, ЮMoney-кошелек (Снижена комиссия) Webmoney WMZ-USD; WMB-белорусские рубли). Для Казахстана оплата переводом на карту Каспи или Halyk.
    3) Укажите E-Mail, на него придет ссылка на скачивание оплаченной задачи.
    4) Нажмите на «Оформить заказ», затем «Перейти к оплате»

    Перед покупкой задачи рекомендуем Вам ознакомиться с Примерами решений
    Бесплатные решенные примеры по высшей математике
    Пробная покупка "тестовой задачи" магазина за 3 руб. (проверка оплаты/доставки) и инструкция по оплате через Webmoney, ЮMoney+Банковская карта RU/РФ. Перейти на страницу
    Помимо решений в Word'е, также в e-mail-рассылку входят решения купленных задач в PDF формате для удобства просмотра на смартфонах и планшетах. Письма на e-mail приходят с темой "Заказ xxxxx"
Купить задачу
  • Описание
Сборник индивидуальных заданий по высшей математике Рябушко А.П. Часть 1.
6. Дифференциальное исчисление функций одной переменной и его приложения
Теоремы о среднем. Правило Лопиталя - Бернулли

ИДЗ 6.3 Вариант 13. Решения Рябушко Сборник задач №1

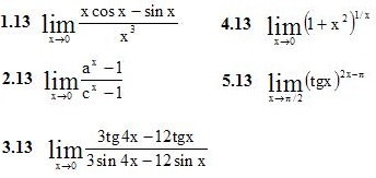
1. Найти указанные пределы, используя правило Лопиталя:
Вариант №13 ИДЗ 6.3 5 заданий

2. С помощью дифференциала приближенно вычислить данные величины и оценить допущенную относительную погрешность (с точностью до двух знаков после запятой)

6.13 5√200

7.13 arctg1,03

Подробное решение. Оформлено в Microsoft Word 2003 (Задание решено с использованием редактора формул)
Решение задачи добавил: Massimo, Понедельник, 02.09.2013

Просмотренные ранее товары

748. Вычислить модуль вектора a={6; 3; −2}
Готовое решение задания со сборника задач по аналитической геометрии Д.В. Клетеник Глава 7. Векторная алгебра. Условие задачи: 748. Вычислить модуль вектора a={6; 3; −2} Подробное решение. Оформлено в Microsoft Word 2003 (Задание решено с использование...
10 руб.

    Заказ N0002 Математика Комплексные числа
    Заказ N0002 Математика Комплексные числа Решенное на заказ задание по математике Найдите z1/z2, если z1=3+i, z2=2−8i Подробное решение. Оформлено в Microsoft Word 2003 (Задание решено с использованием редактора формул) Решение подобного задания, вы мож...
    10 руб.

      Заказ N0001 Математика Комплексные числа
      Решенное на заказ задание по математике Выполнить действия если z1=3+2i, z2=2–3i, z3=5+3i Представить в тригонометрической форме комплексные числа z=1+i√3 Вычислите Подробное решение. Оформлено в Microsoft Word 2003 (Задание решено с использованием ред...
      40 руб.

        Заказ N0005 Математика Комплексные числа
        Решенное на заказ задание по математике Задание № 1. Даны комплексные числа z1, z2, z3. 1. Изобразить эти числа на комплексной плоскости. 2. Изобразить числа z1, −z2, 2•z3. 3. Найти сумму z1 + z2 и разность z1 − z2. Выполнить эти действия как алгебраич...
        60 руб.
          Корзина
          Ваша корзина пуста
          Валюта

          • 10 руб. = 0.100 $
          • 1 руб. = 5.000₸
          Поиск в магазине
          Группа Vk.com Рынок цифровых товаров plati.market, игры, игровые аккаунты, itunes, appstore, xbox, steam, ключи, пин-коды Сертификат Webmoney www.webmoney.ru

          Пользовательское соглашение | Договор оферты  ЭЙНФЕЛЬД ЛОЛИТА РИЧАРДОВНА ИНН 502205387028
          Решение контрольных работ по высшей математике
          Fizmathim.ru © 2013 - 2026


          Visa, MasterCard, Мир
          Рейтинг@Mail.ru