Контакты E-Mail: PMaxim2006@mail.ru Lolita.Einfeld@yandex.ru VK: id197545744 Instagram: @math_example

Решение задач и примеров

Информация
18.03.2024
Инструкция как оплачивать картой Каспи или Halyk для Казахстана
Прочитать инструкцию

18.03.2024
При добавлении товаров в корзину на сумму от 200 до 500 руб. и оформлении заказа активируется 5 % скидка на оплату, на сумму от 500 руб. активируется 10 % скидка на оплату

22.10.2022
Для Беларуси возможно оплачивать только банковской картой выпущенной в России или картой Белкарт МИР.
Также для Беларуси можно оплачивать Банковской картой Белкарт МИР или картой выпущенной в РФ, ЮMoney перейдя в раздел Решения заданий (digiseller) в меню сайта

23.08.2021
ЮMoney+Банковская карта. Принимаются виды оплат: Карты RU/РФ, ЮMoney-кошелек (Снижена комиссия)
Оплата картой Каспи или Halyk для Казахстана, пишите на почтовый ящик pmaxim2006@mail.ru

23.08.2021
В Digiseller можно найти все решения, что и на fizmathim.ru Перейти в Магазин на Digiseller
Можно воспользоваться формой поиска по первым 3-4 словам. Способы оплаты: Банковская карта (RU/РФ), ЮMoney, Webmoney, Unionpay, Alipay, Скины Steam

26.04.2019
- Все задачи оформлены в текстовом редакторе Microsoft Word, в PDF формате рассылаются решения отдельно.

- Ссылки действительны в течение 24 часов до первой попытки скачать (90 минут с момента первого скачивания).

05.02.2019
- Ссылка на скачивание задач, приходит на указанный вами почтовый ящик при оформлении заказа и его оплаты. Дополнительная рассылка оплаченных заказов на E-mail производится в течение нескольких минут/часов, тема писем имеет вид "Заказ xxxxx".
Форма входа
Главная Магазин готовых задач Высшая Математика Решебник ИДЗ Рябушко ИДЗ Рябушко Вариант 18

ИДЗ 4.1 Вариант 18 решебник ИДЗ Рябушко


    120 руб.
  •        Единица: шт.
  •        Размер файла (.doc): 196.0Kb
  • Теги: ИДЗ 4.1, готовые задачи, вариант 18, Задания по математике, решения Рябушко
    Чтобы получить решение задачи: 1) Нажмите "справа" на кнопку "Купить задачу"Купить задачу сейчас
    2) Выбираете один из удобных способов оплаты (ЮMoney+Банковская карта RU/РФ, ЮMoney-кошелек (Снижена комиссия) Webmoney WMZ-USD; WMB-белорусские рубли). Для Казахстана оплата переводом на карту Каспи или Halyk.
    3) Укажите E-Mail, на него придет ссылка на скачивание оплаченной задачи.
    4) Нажмите на «Оформить заказ», затем «Перейти к оплате»

    Перед покупкой задачи рекомендуем Вам ознакомиться с Примерами решений
    Бесплатные решенные примеры по высшей математике
    Пробная покупка "тестовой задачи" магазина за 3 руб. (проверка оплаты/доставки) и инструкция по оплате через Webmoney, ЮMoney+Банковская карта RU/РФ. Перейти на страницу
    Помимо решений в Word'е, также в e-mail-рассылку входят решения купленных задач в PDF формате для удобства просмотра на смартфонах и планшетах. Письма на e-mail приходят с темой "Заказ xxxxx"
Купить задачу
  • Описание
Сборник индивидуальных заданий по высшей математике Рябушко А.П. Часть 1.
4. Линии и поверхности
4.1 Линии второго порядка. Линии, заданные уравнениями в полярных координатах и параметрическими уравнениями.

ИДЗ 4.1 Вариант 18. Решения Рябушко Сборник задач №1

1. Составить канонические уравнения: а) эллипса; б) гиперболы; в) параболы (А,В – точки, лежащие на кривой, F – фокус, а – большая (действительная) полуось, b – малая (мнимая) полуось, ε – эксцентриситет, y=±kx – уравнения асимптот гиперболы, D – директриса кривой, 2c – фокусное расстояние
1.18 а) b = 5; ε = 12/13; б) k = 1/3, 2a = 6; в) ось симметрии Oy и A(–9, 6)

2. Записать уравнение окружности, проходящей через указанные точки и имеющей центр в точке А.
2.18 Левую вершину гиперболы 5x2 – 9y2 = 45, A(0, –6)

3. Составить уравнение линии, каждая точка М которой удовлетворяет заданным условиям.
3.18 Отстоит от точки A(0, −5) на расстоянии, в два раза меньшем, чем от прямой x = 3

4. Построить кривую, заданную уравнением в полярной системе координат.
4.18 ρ = 2(1 − cos3φ)

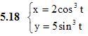
5. Построить кривую, заданную параметрическими уравнениями (0 ≤ t ≤ 2π)


Подробное решение. Оформлено в Microsoft Word 2003 (Задание решено с использованием редактора формул)
Решение задачи добавил: Massimo, Воскресенье, 15.09.2013

Просмотренные ранее товары

ИДЗ 3.2 Вариант 23 решения по Рябушко
1. Даны вершины треугольника ABC: A(x1, y1), B(x2, y2), C(x3, y3). Найти: а) уравнения стороны AB б) уравнения высоты CH в) уравнения медианы AM г) точку N пересечения медианы AM и высоты CH д) уравнения прямой, проходящей через вершину С параллельно с...
50 руб.

    ИДЗ 1.2 Вариант 8 решебник ИДЗ Рябушко
    1. Проверить совместность системы уравнений и в случае совместности решить ее: а) по формулам Крамера; б) с помощью обратной матрицы (матричным методом); в) методом Гаусса. 2. Проверить совместность системы уравнений и в случае совместности решить ее: ...
    80 руб.

      ИДЗ 1.2 Вариант 23 решения по Рябушко
      1. Проверить совместность системы уравнений и в случае совместности решить ее: а) по формулам Крамера; б) с помощью обратной матрицы (матричным методом); в) методом Гаусса. 2. Проверить совместность системы уравнений и в случае совместности решить ее: ...
      80 руб.

        ИДЗ 6.2 Вариант 9 решебник ИДЗ Рябушко
        Сборник индивидуальных заданий по высшей математике Рябушко А.П. Часть 1. 6. Дифференциальное исчисление функций одной переменной и его приложения Дифференциалы первого и высших порядков и их приложения ИДЗ 6-2 1. Найти y′ и y″ 1.9 tgy = 3x + 5y 2. Най...
        120 руб.
          Корзина
          Ваша корзина пуста
          Валюта

          • 10 руб. = 0.100 $
          • 1 руб. = 5.000₸
          Поиск в магазине
          Группа Vk.com Рынок цифровых товаров plati.market, игры, игровые аккаунты, itunes, appstore, xbox, steam, ключи, пин-коды Сертификат Webmoney www.webmoney.ru

          Пользовательское соглашение | Договор оферты  ЭЙНФЕЛЬД ЛОЛИТА РИЧАРДОВНА ИНН 502205387028
          Решение контрольных работ по высшей математике
          Fizmathim.ru © 2013 - 2026


          Visa, MasterCard, Мир
          Рейтинг@Mail.ru