Контакты E-Mail: PMaxim2006@mail.ru Lolita.Einfeld@yandex.ru VK: id197545744 Instagram: @math_example

Решение задач и примеров

Информация
18.03.2024
Инструкция как оплачивать картой Каспи или Halyk для Казахстана
Прочитать инструкцию

18.03.2024
При добавлении товаров в корзину на сумму от 200 до 500 руб. и оформлении заказа активируется 5 % скидка на оплату, на сумму от 500 руб. активируется 10 % скидка на оплату

22.10.2022
Для Беларуси возможно оплачивать только банковской картой выпущенной в России или картой Белкарт МИР.
Также для Беларуси можно оплачивать Банковской картой Белкарт МИР или картой выпущенной в РФ, ЮMoney перейдя в раздел Решения заданий (digiseller) в меню сайта

23.08.2021
ЮMoney+Банковская карта. Принимаются виды оплат: Карты RU/РФ, ЮMoney-кошелек (Снижена комиссия)
Оплата картой Каспи или Halyk для Казахстана, пишите на почтовый ящик pmaxim2006@mail.ru

23.08.2021
В Digiseller можно найти все решения, что и на fizmathim.ru Перейти в Магазин на Digiseller
Можно воспользоваться формой поиска по первым 3-4 словам. Способы оплаты: Банковская карта (RU/РФ), ЮMoney, Webmoney, Unionpay, Alipay, Скины Steam

26.04.2019
- Все задачи оформлены в текстовом редакторе Microsoft Word, в PDF формате рассылаются решения отдельно.

- Ссылки действительны в течение 24 часов до первой попытки скачать (90 минут с момента первого скачивания).

05.02.2019
- Ссылка на скачивание задач, приходит на указанный вами почтовый ящик при оформлении заказа и его оплаты. Дополнительная рассылка оплаченных заказов на E-mail производится в течение нескольких минут/часов, тема писем имеет вид "Заказ xxxxx".
Форма входа
Главная Магазин готовых задач Высшая Математика Решебник ИДЗ Рябушко ИДЗ Рябушко Вариант 21

ИДЗ 4.1 Вариант 21 решения по Рябушко


    120 руб.
  •        Единица: шт.
  •        Размер файла (.doc): 204.5Kb
  • Теги: ИДЗ 4.1, готовые задачи, Задания по математике, вариант 21, решения Рябушко
    Чтобы получить решение задачи: 1) Нажмите "справа" на кнопку "Купить задачу"Купить задачу сейчас
    2) Выбираете один из удобных способов оплаты (ЮMoney+Банковская карта RU/РФ, ЮMoney-кошелек (Снижена комиссия) Webmoney WMZ-USD; WMB-белорусские рубли). Для Казахстана оплата переводом на карту Каспи или Halyk.
    3) Укажите E-Mail, на него придет ссылка на скачивание оплаченной задачи.
    4) Нажмите на «Оформить заказ», затем «Перейти к оплате»

    Перед покупкой задачи рекомендуем Вам ознакомиться с Примерами решений
    Бесплатные решенные примеры по высшей математике
    Пробная покупка "тестовой задачи" магазина за 3 руб. (проверка оплаты/доставки) и инструкция по оплате через Webmoney, ЮMoney+Банковская карта RU/РФ. Перейти на страницу
    Помимо решений в Word'е, также в e-mail-рассылку входят решения купленных задач в PDF формате для удобства просмотра на смартфонах и планшетах. Письма на e-mail приходят с темой "Заказ xxxxx"
Купить задачу
  • Описание
Сборник индивидуальных заданий по высшей математике Рябушко А.П. Часть 1.
4. Линии и поверхности
4.1 Линии второго порядка. Линии, заданные уравнениями в полярных координатах и параметрическими уравнениями.

ИДЗ 4.1 Вариант 21. Решебник Рябушко Сборник задач №1

1. Составить канонические уравнения: а) эллипса; б) гиперболы; в) параболы (А,В – точки, лежащие на кривой, F – фокус, а – большая (действительная) полуось, b – малая (мнимая) полуось, ε – эксцентриситет, y=±kx – уравнения асимптот гиперболы, D – директриса кривой, 2c – фокусное расстояние
1.21 a) A(0, −2), B(√15/2, 1); б) k = 2√10/9, ε = 11/9; в) D: y = 5

2. Записать уравнение окружности, проходящей через указанные точки и имеющей центр в точке А.
2.21 Левый фокус гиперболы 7x2 – 9y2 = 63, A(–1, –2)

3. Составить уравнение линии, каждая точка М которой удовлетворяет заданным условиям.
3.21 Отстоит от прямой x = 14 на расстоянии, в два раза меньшем, чем от точки A(2, 3)

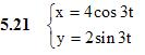
4. Построить кривую, заданную уравнением в полярной системе координат.
4.21 ρ = 3sin4φ

5. Построить кривую, заданную параметрическими уравнениями (0 ≤ t ≤ 2π)


Подробное решение. Оформлено в Microsoft Word 2003 (Задание решено с использованием редактора формул)
Решение задачи добавил: Massimo, Воскресенье, 15.09.2013

Просмотренные ранее товары

ИДЗ 6.1 Вариант 17 решебник по Рябушко
Сборник индивидуальных заданий по высшей математике Рябушко А.П. Часть 1. 6. Дифференциальное исчисление функций одной переменной и его приложения ИДЗ 6-1 1. Продифференцировать данные функции (1-14) Подробное решение. Оформлено в Microsoft Word 2003 (...
140 руб.

    ИДЗ 6.1 Вариант 14 решебник по Рябушко
    Сборник индивидуальных заданий по высшей математике Рябушко А.П. Часть 1. 6. Дифференциальное исчисление функций одной переменной и его приложения ИДЗ 6-1 1. Продифференцировать данные функции (1-14) Подробное решение. Оформлено в Microsoft Word 2003 (...
    140 руб.
      Корзина
      Ваша корзина пуста
      Валюта

      • 10 руб. = 0.100 $
      • 1 руб. = 5.000₸
      Поиск в магазине
      Группа Vk.com Рынок цифровых товаров plati.market, игры, игровые аккаунты, itunes, appstore, xbox, steam, ключи, пин-коды Сертификат Webmoney www.webmoney.ru

      Пользовательское соглашение | Договор оферты  ЭЙНФЕЛЬД ЛОЛИТА РИЧАРДОВНА ИНН 502205387028
      Решение контрольных работ по высшей математике
      Fizmathim.ru © 2013 - 2026


      Visa, MasterCard, Мир
      Рейтинг@Mail.ru