Контакты E-Mail: PMaxim2006@mail.ru Lolita.Einfeld@yandex.ru VK: id197545744 Instagram: @math_example

Решение задач и примеров

Информация
18.03.2024
Инструкция как оплачивать картой Каспи или Halyk для Казахстана
Прочитать инструкцию

18.03.2024
При добавлении товаров в корзину на сумму от 200 до 500 руб. и оформлении заказа активируется 5 % скидка на оплату, на сумму от 500 руб. активируется 10 % скидка на оплату

22.10.2022
Для Беларуси возможно оплачивать только банковской картой выпущенной в России или картой Белкарт МИР.
Также для Беларуси можно оплачивать Банковской картой Белкарт МИР или картой выпущенной в РФ, ЮMoney перейдя в раздел Решения заданий (digiseller) в меню сайта

23.08.2021
ЮMoney+Банковская карта. Принимаются виды оплат: Карты RU/РФ, ЮMoney-кошелек (Снижена комиссия)
Оплата картой Каспи или Halyk для Казахстана, пишите на почтовый ящик pmaxim2006@mail.ru

23.08.2021
В Digiseller можно найти все решения, что и на fizmathim.ru Перейти в Магазин на Digiseller
Можно воспользоваться формой поиска по первым 3-4 словам. Способы оплаты: Банковская карта (RU/РФ), ЮMoney, Webmoney, Unionpay, Alipay, Скины Steam

26.04.2019
- Все задачи оформлены в текстовом редакторе Microsoft Word, в PDF формате рассылаются решения отдельно.

- Ссылки действительны в течение 24 часов до первой попытки скачать (90 минут с момента первого скачивания).

05.02.2019
- Ссылка на скачивание задач, приходит на указанный вами почтовый ящик при оформлении заказа и его оплаты. Дополнительная рассылка оплаченных заказов на E-mail производится в течение нескольких минут/часов, тема писем имеет вид "Заказ xxxxx".
Форма входа
Главная Магазин готовых задач Высшая Математика Решебник ИДЗ Рябушко ИДЗ Рябушко Вариант 17

ИДЗ 8.3 Вариант 17 решебник по Рябушко


    130 руб.
  •        Единица: шт.
  •        Размер файла (.doc): 166.5Kb
  • Теги: ИДЗ 8.3, готовые задачи, Задания по математике, решения Рябушко, вариант 17
    Чтобы получить решение задачи: 1) Нажмите "справа" на кнопку "Купить задачу"Купить задачу сейчас
    2) Выбираете один из удобных способов оплаты (ЮMoney+Банковская карта RU/РФ, ЮMoney-кошелек (Снижена комиссия) Webmoney WMZ-USD; WMB-белорусские рубли). Для Казахстана оплата переводом на карту Каспи или Halyk.
    3) Укажите E-Mail, на него придет ссылка на скачивание оплаченной задачи.
    4) Нажмите на «Оформить заказ», затем «Перейти к оплате»

    Перед покупкой задачи рекомендуем Вам ознакомиться с Примерами решений
    Бесплатные решенные примеры по высшей математике
    Пробная покупка "тестовой задачи" магазина за 3 руб. (проверка оплаты/доставки) и инструкция по оплате через Webmoney, ЮMoney+Банковская карта RU/РФ. Перейти на страницу
    Помимо решений в Word'е, также в e-mail-рассылку входят решения купленных задач в PDF формате для удобства просмотра на смартфонах и планшетах. Письма на e-mail приходят с темой "Заказ xxxxx"
Купить задачу
  • Описание
Сборник индивидуальных заданий по высшей математике Рябушко А.П. Часть 2.
8. Неопределенный интеграл
8.4 Интегрирование заменой переменной (подстановкой)
8.5 Интегрирование по частям

ИДЗ 8.3 Вариант 17. Решения Рябушко Сборник задач №2

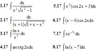
1. Найти неопределенные интегралы (1-8).

Вариант 17 ИДЗ 8.3 8 интегралов

Подробное решение. Оформлено в Microsoft Word 2003 (Задание решено с использованием редактора формул)
Решение задачи добавил: Massimo, Четверг, 26.12.2013

Просмотренные ранее товары

ИДЗ 8.1 Вариант 25 решения по Рябушко
Сборник индивидуальных заданий по высшей математике Рябушко А.П. Часть 2. 8. Неопределенный интеграл 8.1 Первообразная функции и неопределенный интеграл ИДЗ 8-1 1. Найти неопределенные интегралы (в заданиях 1-5 результаты интегрирования проверить диффе...
90 руб.

    ИДЗ 2.1 Вариант 12 решебник по Рябушко
    1. Даны векторы a = αm+βn и b = γm+δn, где |m| = k; |n| = l; (m,^n) = φ. Найти а) (λa+μb)∙(νa+τb); б) прв(νa+τb); в) cos(a,^τb) 1.12 α = –2, β = –4, γ = 3, δ = 1, k = 3, l = 2, φ = 7π/3, λ = –1/2, μ = 3, ν = 1, τ = 2 2. По координатам точек А, В и С дл...
    70 руб.

      ИДЗ 5.2 Вариант 27 решения по Рябушко
      1. Доказать, что функции f(x) и φ(x) при x→0 являются бесконечно малыми одного порядка малости. 1.27 f(x)=arcsin2x, φ(x)=8x 2. Найти пределы, используя эквивалентные бесконечно малые функции. Используя таблицу эквивалентных бесконечно малых. 3. Исследо...
      80 руб.

        ИДЗ 6.3 Вариант 11 решебник по Рябушко
        Сборник индивидуальных заданий по высшей математике Рябушко А.П. Часть 1. 6. Дифференциальное исчисление функций одной переменной и его приложения Теоремы о среднем. Правило Лопиталя - Бернулли ИДЗ 6-3 1. Найти указанные пределы, используя правило Лопи...
        130 руб.

          ИДЗ 6.2 Вариант 12 решебник по Рябушко
          Сборник индивидуальных заданий по высшей математике Рябушко А.П. Часть 1. 6. Дифференциальное исчисление функций одной переменной и его приложения Дифференциалы первого и высших порядков и их приложения ИДЗ 6-2 1. Найти y′ и y″ 1.12 lny – y/x = 7 2. На...
          120 руб.
            Корзина
            Ваша корзина пуста
            Валюта

            • 10 руб. = 0.100 $
            • 1 руб. = 5.000₸
            Поиск в магазине
            Группа Vk.com Рынок цифровых товаров plati.market, игры, игровые аккаунты, itunes, appstore, xbox, steam, ключи, пин-коды Сертификат Webmoney www.webmoney.ru

            Пользовательское соглашение | Договор оферты  ЭЙНФЕЛЬД ЛОЛИТА РИЧАРДОВНА ИНН 502205387028
            Решение контрольных работ по высшей математике
            Fizmathim.ru © 2013 - 2026


            Visa, MasterCard, Мир
            Рейтинг@Mail.ru