Контакты E-Mail: PMaxim2006@mail.ru Lolita.Einfeld@yandex.ru VK: id197545744 Instagram: @math_example

Решение задач и примеров

Информация
18.03.2024
Инструкция как оплачивать картой Каспи или Halyk для Казахстана
Прочитать инструкцию

18.03.2024
При добавлении товаров в корзину на сумму от 200 до 500 руб. и оформлении заказа активируется 5 % скидка на оплату, на сумму от 500 руб. активируется 10 % скидка на оплату

22.10.2022
Для Беларуси возможно оплачивать только банковской картой выпущенной в России или картой Белкарт МИР.
Также для Беларуси можно оплачивать Банковской картой Белкарт МИР или картой выпущенной в РФ, ЮMoney перейдя в раздел Решения заданий (digiseller) в меню сайта

23.08.2021
ЮMoney+Банковская карта. Принимаются виды оплат: Карты RU/РФ, ЮMoney-кошелек (Снижена комиссия)
Оплата картой Каспи или Halyk для Казахстана, пишите на почтовый ящик pmaxim2006@mail.ru

23.08.2021
В Digiseller можно найти все решения, что и на fizmathim.ru Перейти в Магазин на Digiseller
Можно воспользоваться формой поиска по первым 3-4 словам. Способы оплаты: Банковская карта (RU/РФ), ЮMoney, Webmoney, Unionpay, Alipay, Скины Steam

26.04.2019
- Все задачи оформлены в текстовом редакторе Microsoft Word, в PDF формате рассылаются решения отдельно.

- Ссылки действительны в течение 24 часов до первой попытки скачать (90 минут с момента первого скачивания).

05.02.2019
- Ссылка на скачивание задач, приходит на указанный вами почтовый ящик при оформлении заказа и его оплаты. Дополнительная рассылка оплаченных заказов на E-mail производится в течение нескольких минут/часов, тема писем имеет вид "Заказ xxxxx".
Форма входа
Главная Магазин готовых задач Высшая Математика Решебник ИДЗ Рябушко ИДЗ Рябушко Вариант 18

ИДЗ 11.4 Вариант 18 решебник ИДЗ Рябушко


    110 руб.
  •        Единица: шт.
  •        Размер файла (.doc): 146.0Kb
  • Теги: готовые задачи, вариант 18, Задания по математике, решения Рябушко, ИДЗ 11.4
    Чтобы получить решение задачи: 1) Нажмите "справа" на кнопку "Купить задачу"Купить задачу сейчас
    2) Выбираете один из удобных способов оплаты (ЮMoney+Банковская карта RU/РФ, ЮMoney-кошелек (Снижена комиссия) Webmoney WMZ-USD; WMB-белорусские рубли). Для Казахстана оплата переводом на карту Каспи или Halyk.
    3) Укажите E-Mail, на него придет ссылка на скачивание оплаченной задачи.
    4) Нажмите на «Оформить заказ», затем «Перейти к оплате»

    Перед покупкой задачи рекомендуем Вам ознакомиться с Примерами решений
    Бесплатные решенные примеры по высшей математике
    Пробная покупка "тестовой задачи" магазина за 3 руб. (проверка оплаты/доставки) и инструкция по оплате через Webmoney, ЮMoney+Банковская карта RU/РФ. Перейти на страницу
    Помимо решений в Word'е, также в e-mail-рассылку входят решения купленных задач в PDF формате для удобства просмотра на смартфонах и планшетах. Письма на e-mail приходят с темой "Заказ xxxxx"
Купить задачу
  • Описание
Сборник индивидуальных заданий по высшей математике Рябушко А.П. Часть 2.
11. Обыкновенные дифференциальные уравнения
11.6 Линейные дифференциальные уравнения высших порядков.
11.7 Системы дифференциальных уравнений.

ИДЗ 11.4 Вариант 18. Решебник Рябушко Часть 2
1. Найти частное решение линейного однородного дифференциального уравнения.
1.18 y΄΄΄− y΄΄+ y΄− y = 0, y(0) = 0, y΄(0) = 1, y΄΄(0) = 0

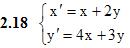
2. Решить систему дифференциальных уравнений двумя способами: а) сведением к дифференциальному уравнению высшего порядка; б) с помощью характеристического уравнения.


3. Решить дифференциальное уравнение методом вариации произвольных постоянных.
3.18 y΄΄+ y = 1/sinx

4. Решить следующие задачи.
4.18 Записать уравнение кривой, обладающей следующим свойством: отрезок касательной к кривой, заключенный между двумя осями координат, делится в точке касания пополам.

Подробное решение. Оформлено в Microsoft Word 2003 (Задание решено с использованием редактора формул)
Решение задачи добавил: Massimo, Суббота, 03.05.2014

Просмотренные ранее товары

Расстояние L от щелей до экрана в опыте Юнга равно 1,5 м Определить расстояние между щелями если на отрезке длиной l = 1 см укладывается N = 8 темных интерференционных полос Длина волны λ = 0,6 мкм
Решенная задача по физике. Раздел: Оптика. Квантовая оптика Условие задачи: Расстояние L от щелей до экрана в опыте Юнга равно 1,5 м. Определить расстояние между щелями, если на отрезке длиной l = 1 см укладывается N = 8 темных интерференционных полос....
20 руб.

    Квадратный и круговой контуры имеют одинаковый периметр l = 20 см и по ним идет одинаковый ток I = 2,0 А Контуры помещены в однородное магнитное поле с индукцией В = 0,10 Тл и плоскость каждого кон
    Решенная задача по физике. Раздел: Магнетизм. Электромагнетизм Условие задачи: Квадратный и круговой контуры имеют одинаковый периметр l = 20 см, и по ним идет одинаковый ток I = 2,0 А. Контуры помещены в однородное магнитное поле с индукцией В = 0,10 ...
    30 руб.

      ИДЗ 11.2 Вариант 18 решебник ИДЗ Рябушко
      Сборник индивидуальных заданий по высшей математике Рябушко А.П. Часть 2. 11. Обыкновенные дифференциальные уравнения 11.4 Уравнения в полных дифференциалах 11.5 Дифференциальные уравнения высших порядков, допускающие понижение порядка. ИДЗ 11.2 Вариан...
      110 руб.

        Имеется соленоид с железным сердечником длиной l = 50 см площадью поперечного сечения S = 10 см2 и числом витков N = 1000 Найти индуктивность L этого соленоида если по обмотке соленоида течет ток
        Решенная задача по физике. Раздел: Магнетизм. Электромагнетизм Условие задачи: Имеется соленоид с железным сердечником длиной l = 50 см, площадью поперечного сечения S = 10 см2 и числом витков N = 1000. Найти индуктивность L этого соленоида, если по об...
        30 руб.

          Определить магнитную индукцию на оси тонкого проволочного кольца радиусом 10 см по которому течет ток 10 А в точке расположенной на расстоянии 15 см от центра кольца
          Решенная задача по физике. Раздел: Магнетизм. Электромагнетизм Условие задачи: Определить магнитную индукцию на оси тонкого проволочного кольца радиусом 10 см, по которому течет ток 10 А, в точке, расположенной на расстоянии 15 см от центра кольца. Под...
          30 руб.
            Корзина
            Ваша корзина пуста
            Валюта

            • 10 руб. = 0.100 $
            • 1 руб. = 5.000₸
            Поиск в магазине
            Группа Vk.com Рынок цифровых товаров plati.market, игры, игровые аккаунты, itunes, appstore, xbox, steam, ключи, пин-коды Сертификат Webmoney www.webmoney.ru

            Пользовательское соглашение | Договор оферты  ЭЙНФЕЛЬД ЛОЛИТА РИЧАРДОВНА ИНН 502205387028
            Решение контрольных работ по высшей математике
            Fizmathim.ru © 2013 - 2025


            Visa, MasterCard, Мир
            Рейтинг@Mail.ru