Контакты E-Mail: PMaxim2006@mail.ru Lolita.Einfeld@yandex.ru VK: id197545744 Instagram: @math_example

Решение задач и примеров

Информация
18.03.2024
Инструкция как оплачивать картой Каспи или Halyk для Казахстана
Прочитать инструкцию

18.03.2024
При добавлении товаров в корзину на сумму от 200 до 500 руб. и оформлении заказа активируется 5 % скидка на оплату, на сумму от 500 руб. активируется 10 % скидка на оплату

22.10.2022
Для Беларуси возможно оплачивать только банковской картой выпущенной в России или картой Белкарт МИР.
Также для Беларуси можно оплачивать Банковской картой Белкарт МИР или картой выпущенной в РФ, ЮMoney перейдя в раздел Решения заданий (digiseller) в меню сайта

23.08.2021
ЮMoney+Банковская карта. Принимаются виды оплат: Карты RU/РФ, ЮMoney-кошелек (Снижена комиссия)
Оплата картой Каспи или Halyk для Казахстана, пишите на почтовый ящик pmaxim2006@mail.ru

23.08.2021
В Digiseller можно найти все решения, что и на fizmathim.ru Перейти в Магазин на Digiseller
Можно воспользоваться формой поиска по первым 3-4 словам. Способы оплаты: Банковская карта (RU/РФ), ЮMoney, Webmoney, Unionpay, Alipay, Скины Steam

26.04.2019
- Все задачи оформлены в текстовом редакторе Microsoft Word, в PDF формате рассылаются решения отдельно.

- Ссылки действительны в течение 24 часов до первой попытки скачать (90 минут с момента первого скачивания).

05.02.2019
- Ссылка на скачивание задач, приходит на указанный вами почтовый ящик при оформлении заказа и его оплаты. Дополнительная рассылка оплаченных заказов на E-mail производится в течение нескольких минут/часов, тема писем имеет вид "Заказ xxxxx".
Форма входа
Главная Магазин готовых задач Высшая Математика Решебник ИДЗ Рябушко ИДЗ Рябушко Вариант 26

ИДЗ 11.4 Вариант 26 решебник ИДЗ Рябушко


    110 руб.
  •        Единица: шт.
  •        Размер файла (.doc): 162.5Kb
  • Теги: готовые задачи, вариант 26, Задания по математике, решения Рябушко, ИДЗ 11.4
    Чтобы получить решение задачи: 1) Нажмите "справа" на кнопку "Купить задачу"Купить задачу сейчас
    2) Выбираете один из удобных способов оплаты (ЮMoney+Банковская карта RU/РФ, ЮMoney-кошелек (Снижена комиссия) Webmoney WMZ-USD; WMB-белорусские рубли). Для Казахстана оплата переводом на карту Каспи или Halyk.
    3) Укажите E-Mail, на него придет ссылка на скачивание оплаченной задачи.
    4) Нажмите на «Оформить заказ», затем «Перейти к оплате»

    Перед покупкой задачи рекомендуем Вам ознакомиться с Примерами решений
    Бесплатные решенные примеры по высшей математике
    Пробная покупка "тестовой задачи" магазина за 3 руб. (проверка оплаты/доставки) и инструкция по оплате через Webmoney, ЮMoney+Банковская карта RU/РФ. Перейти на страницу
    Помимо решений в Word'е, также в e-mail-рассылку входят решения купленных задач в PDF формате для удобства просмотра на смартфонах и планшетах. Письма на e-mail приходят с темой "Заказ xxxxx"
Купить задачу
  • Описание
Сборник индивидуальных заданий по высшей математике Рябушко А.П. Часть 2.
11. Обыкновенные дифференциальные уравнения
11.6 Линейные дифференциальные уравнения высших порядков.
11.7 Системы дифференциальных уравнений.

ИДЗ 11.4 Вариант 26. Решебник Рябушко Часть 2
1. Найти частное решение линейного однородного дифференциального уравнения.
1.26 yV − 6yIV + 9y΄΄΄= 0, y(0) = y΄(0) = y΄΄(0) = y΄΄΄(0) = 0, yIV(0) = 27

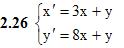
2. Решить систему дифференциальных уравнений двумя способами: а) сведением к дифференциальному уравнению высшего порядка; б) с помощью характеристического уравнения.


3. Решить дифференциальное уравнение методом вариации произвольных постоянных.
3.26 y΄΄− y΄ = e2xsin(ex)

4. Решить следующие задачи.
4.26 Записать уравнение кривой, если касательная к ней отсекает на оси Oy отрезок, равный по длине 1/n – й сумме координат точки касания.

Подробное решение. Оформлено в Microsoft Word 2003 (Задание решено с использованием редактора формул)
Решение задачи добавил: Massimo, Среда, 07.05.2014

Просмотренные ранее товары

α-частица кинетическая энергия которой W = 500 эВ влетает в однородное магнитное поле перпендикулярное к направлению ее движения Индукция магнитного поля B = 0,1 Тл Найти силу F действующую на
Решенная задача по физике. Раздел: Магнетизм. Электромагнетизм Условие задачи: α-частица, кинетическая энергия которой W = 500 эВ, влетает в однородное магнитное поле, перпендикулярное к направлению ее движения. Индукция магнитного поля B = 0,1 Тл. Най...
30 руб.

    На атом водорода падает фотон и выбивает из атома электрон с кинетической энергией 2 эВ Вычислить энергию падающего фотона если атом водорода находится в состоянии с квантовым числом 2
    Решенная задача по физике. Раздел: Квантовая, ядерная физика Условие задачи: На атом водорода падает фотон и выбивает из атома электрон с кинетической энергией 2 эВ. Вычислить энергию падающего фотона, если атом водорода находится в состоянии с квантов...
    30 руб.

      Определить момент силы М который необходимо приложить к блоку вращающемуся с частотой п= 12 с-1 чтобы он остановился в течение времени Δt = 8 с Диаметр блока D = 30 см Массу блока m = 6 кг считат
      Определить момент силы М, который необходимо приложить к блоку, вращающемуся с частотой п= 12 с-1, чтобы он остановился в течение времени Δt = 8 с. Диаметр блока D = 30 см. Массу блока m = 6 кг считать равномерно распределенной по ободу Подробное решен...
      30 руб.

        При сжигании в избытке кислорода смеси пропена с неизвестным алканом объемом 4,48 л (н. у.) образуется 10,8 г воды. При пропускании такого же объема газовой смеси через слабощелочной раствор перманга
        При сжигании в избытке кислорода смеси пропена с неизвестным алканом объемом 4,48 л (н. у.) образуется 10,8 г воды. При пропускании такого же объема газовой смеси через слабощелочной раствор перманганата калия масса раствора увеличивается на 6,3 г. Опр...
        30 руб.

          Горизонтальный проводник массой 100 г и длиной 0,5 м находится на наклонной плоскости составляющей угол 30° с горизонтом перпендикулярно горизонтальному магнитному полю с индукцией 0,1 Тл Какую мин
          Горизонтальный проводник массой 100 г и длиной 0,5 м находится на наклонной плоскости, составляющей угол 30° с горизонтом, перпендикулярно горизонтальному магнитному полю с индукцией 0,1 Тл. Какую минимальную силу нужно приложить к проводнику параллель...
          30 руб.
            Корзина
            Ваша корзина пуста
            Валюта

            • 10 руб. = 0.100 $
            • 1 руб. = 5.000₸
            Поиск в магазине
            Группа Vk.com Рынок цифровых товаров plati.market, игры, игровые аккаунты, itunes, appstore, xbox, steam, ключи, пин-коды Сертификат Webmoney www.webmoney.ru

            Пользовательское соглашение | Договор оферты  ЭЙНФЕЛЬД ЛОЛИТА РИЧАРДОВНА ИНН 502205387028
            Решение контрольных работ по высшей математике
            Fizmathim.ru © 2013 - 2025


            Visa, MasterCard, Мир
            Рейтинг@Mail.ru