Контакты E-Mail: PMaxim2006@mail.ru Lolita.Einfeld@yandex.ru VK: id197545744 Instagram: @math_example

Решение задач и примеров

Информация
18.03.2024
Инструкция как оплачивать картой Каспи или Halyk для Казахстана
Прочитать инструкцию

18.03.2024
При добавлении товаров в корзину на сумму от 200 до 500 руб. и оформлении заказа активируется 5 % скидка на оплату, на сумму от 500 руб. активируется 10 % скидка на оплату

22.10.2022
Для Беларуси возможно оплачивать только банковской картой выпущенной в России или картой Белкарт МИР.
Также для Беларуси можно оплачивать Банковской картой Белкарт МИР или картой выпущенной в РФ, ЮMoney перейдя в раздел Решения заданий (digiseller) в меню сайта

23.08.2021
ЮMoney+Банковская карта. Принимаются виды оплат: Карты RU/РФ, ЮMoney-кошелек (Снижена комиссия)
Оплата картой Каспи или Halyk для Казахстана, пишите на почтовый ящик pmaxim2006@mail.ru

23.08.2021
В Digiseller можно найти все решения, что и на fizmathim.ru Перейти в Магазин на Digiseller
Можно воспользоваться формой поиска по первым 3-4 словам. Способы оплаты: Банковская карта (RU/РФ), ЮMoney, Webmoney, Unionpay, Alipay, Скины Steam

26.04.2019
- Все задачи оформлены в текстовом редакторе Microsoft Word, в PDF формате рассылаются решения отдельно.

- Ссылки действительны в течение 24 часов до первой попытки скачать (90 минут с момента первого скачивания).

05.02.2019
- Ссылка на скачивание задач, приходит на указанный вами почтовый ящик при оформлении заказа и его оплаты. Дополнительная рассылка оплаченных заказов на E-mail производится в течение нескольких минут/часов, тема писем имеет вид "Заказ xxxxx".
Форма входа
Главная Магазин готовых задач Высшая Математика Решебник ИДЗ Рябушко ИДЗ Рябушко Вариант 2

ИДЗ 12.1 Вариант 2 решебник ИДЗ Рябушко


    120 руб.
  •        Единица: шт.
  •        Размер файла (.doc): 158.5Kb
  • Теги: Вариант 2, ИДЗ 12.1, готовые задачи, Задания по математике, решения Рябушко
    Чтобы получить решение задачи: 1) Нажмите "справа" на кнопку "Купить задачу"Купить задачу сейчас
    2) Выбираете один из удобных способов оплаты (ЮMoney+Банковская карта RU/РФ, ЮMoney-кошелек (Снижена комиссия) Webmoney WMZ-USD; WMB-белорусские рубли). Для Казахстана оплата переводом на карту Каспи или Halyk.
    3) Укажите E-Mail, на него придет ссылка на скачивание оплаченной задачи.
    4) Нажмите на «Оформить заказ», затем «Перейти к оплате»

    Перед покупкой задачи рекомендуем Вам ознакомиться с Примерами решений
    Бесплатные решенные примеры по высшей математике
    Пробная покупка "тестовой задачи" магазина за 3 руб. (проверка оплаты/доставки) и инструкция по оплате через Webmoney, ЮMoney+Банковская карта RU/РФ. Перейти на страницу
    Помимо решений в Word'е, также в e-mail-рассылку входят решения купленных задач в PDF формате для удобства просмотра на смартфонах и планшетах. Письма на e-mail приходят с темой "Заказ xxxxx"
Купить задачу
  • Описание
Сборник индивидуальных заданий по высшей математике Рябушко А.П. Часть 3.
12. Ряды
12.1 Числовые ряды. Признаки сходимости числовых рядов.

ИДЗ 12.1 Вариант 2. Решебник Рябушко Часть 3
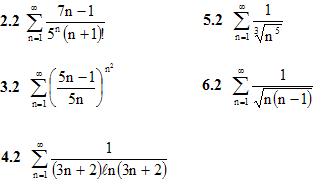
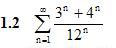
1. Доказать сходимость ряда и найти его сумму


2. Исследовать на сходимость указанные ряды с положительными членами.(2-6)


Исследовать на сходимость и абсолютную сходимость знакочередующиеся ряды. (7-8).


Подробное решение. Оформлено в Microsoft Word 2003 (Задание решено с использованием редактора формул)
Решение задачи добавил: Massimo, Суббота, 26.07.2014

Просмотренные ранее товары

При бомбардировке железа 5626Fe нейтронами образуется β-радиоактивный изотоп марганца с атомной массой 56 Написать реакцию получения искусственно радиоактивного марганца и реакцию происходящего
Решенная задача по физике. Раздел: Ядерная, квантовая физика Условие задачи: При бомбардировке железа 5626Fe нейтронами образуется (β-радиоактивный изотоп марганца с атомной массой 56. Написать реакцию получения искусственно радиоактивного марганца и р...
10 руб.

    Оценить с помощью соотношения неопределенностей минимальную кинетическую энергию электрона движущегося внутри сферы радиусом R=0,05 нм
    Решенная задача по физике. Раздел: Квантовая, ядерная физика Условие задачи: Оценить с помощью соотношения неопределенностей минимальную кинетическую энергию электрона, движущегося внутри сферы радиусом R=0,05 нм. Подробное решение. Оформлено в Microso...
    30 руб.

      Радиус центральной жилы коаксиального кабеля r1 = 0,30 см а внутренний радиус оболочки r2 = 0,90 см Определить напряженность Е электрического поля на расстоянии d = 0,50 см от оси кабеля если разно
      Решенная задача по физике. Раздел: Электростатика. Электричество и постоянный ток. Условие задачи: Радиус центральной жилы коаксиального кабеля r1 = 0,30 см, а внутренний радиус оболочки r2 = 0,90 см. Определить напряженность Е электрического поля на р...
      30 руб.

        Воспользовавшись соотношением неопределенностей оцените размытость энергетического уровня в атоме водорода 1) для основного состояния 2) для возбужденного состояния время его жизни равно 10-8 с
        Решенная задача по физике. Раздел: Квантовая, ядерная физика Условие задачи: Воспользовавшись соотношением неопределенностей, оцените размытость энергетического уровня в атоме водорода: 1) для основного состояния; 2) для возбужденного состояния (время ...
        20 руб.

          Определить напряжённость электростатического поля создаваемого тонким длинным стержнем равномерно заряженным с линейной плотностью заряда 20 мКл/м в точке находящейся в 2 см от стержня
          Определить напряжённость электростатического поля, создаваемого тонким длинным стержнем, равномерно заряженным с линейной плотностью заряда 20 мКл/м в точке, находящейся в 2 см от стержня. Подробное решение. Оформлено в Microsoft Word 2003. (Задание ре...
          30 руб.
            Корзина
            Ваша корзина пуста
            Валюта

            • 1 руб. = 5.000₸
            • 10 руб. = 0.100 $
            Поиск в магазине
            Группа Vk.com Рынок цифровых товаров plati.market, игры, игровые аккаунты, itunes, appstore, xbox, steam, ключи, пин-коды Сертификат Webmoney www.webmoney.ru

            Пользовательское соглашение | Договор оферты  ЭЙНФЕЛЬД ЛОЛИТА РИЧАРДОВНА ИНН 502205387028
            Решение контрольных работ по высшей математике
            Fizmathim.ru © 2013 - 2025


            Visa, MasterCard, Мир
            Рейтинг@Mail.ru