Контакты E-Mail: PMaxim2006@mail.ru Lolita.Einfeld@yandex.ru VK: id197545744 Instagram: @math_example

Решение задач и примеров

Информация
18.03.2024
Инструкция как оплачивать картой Каспи или Halyk для Казахстана
Прочитать инструкцию

18.03.2024
При добавлении товаров в корзину на сумму от 200 до 500 руб. и оформлении заказа активируется 5 % скидка на оплату, на сумму от 500 руб. активируется 10 % скидка на оплату

22.10.2022
Для Беларуси возможно оплачивать только банковской картой выпущенной в России или картой Белкарт МИР.
Также для Беларуси можно оплачивать Банковской картой Белкарт МИР или картой выпущенной в РФ, ЮMoney перейдя в раздел Решения заданий (digiseller) в меню сайта

23.08.2021
ЮMoney+Банковская карта. Принимаются виды оплат: Карты RU/РФ, ЮMoney-кошелек (Снижена комиссия)
Оплата картой Каспи или Halyk для Казахстана, пишите на почтовый ящик pmaxim2006@mail.ru

23.08.2021
В Digiseller можно найти все решения, что и на fizmathim.ru Перейти в Магазин на Digiseller
Можно воспользоваться формой поиска по первым 3-4 словам. Способы оплаты: Банковская карта (RU/РФ), ЮMoney, Webmoney, Unionpay, Alipay, Скины Steam

26.04.2019
- Все задачи оформлены в текстовом редакторе Microsoft Word, в PDF формате рассылаются решения отдельно.

- Ссылки действительны в течение 24 часов до первой попытки скачать (90 минут с момента первого скачивания).

05.02.2019
- Ссылка на скачивание задач, приходит на указанный вами почтовый ящик при оформлении заказа и его оплаты. Дополнительная рассылка оплаченных заказов на E-mail производится в течение нескольких минут/часов, тема писем имеет вид "Заказ xxxxx".
Форма входа
Главная Магазин готовых задач Высшая Математика Решебник ИДЗ Рябушко ИДЗ Рябушко Вариант 10

ИДЗ 12.1 Вариант 10 решебник ИДЗ Рябушко


    120 руб.
  •        Единица: шт.
  •        Размер файла (.doc): 164.5Kb
  • Теги: вариант 10, ИДЗ 12.1, готовые задачи, Задания по математике, решения Рябушко
    Чтобы получить решение задачи: 1) Нажмите "справа" на кнопку "Купить задачу"Купить задачу сейчас
    2) Выбираете один из удобных способов оплаты (ЮMoney+Банковская карта RU/РФ, ЮMoney-кошелек (Снижена комиссия) Webmoney WMZ-USD; WMB-белорусские рубли). Для Казахстана оплата переводом на карту Каспи или Halyk.
    3) Укажите E-Mail, на него придет ссылка на скачивание оплаченной задачи.
    4) Нажмите на «Оформить заказ», затем «Перейти к оплате»

    Перед покупкой задачи рекомендуем Вам ознакомиться с Примерами решений
    Бесплатные решенные примеры по высшей математике
    Пробная покупка "тестовой задачи" магазина за 3 руб. (проверка оплаты/доставки) и инструкция по оплате через Webmoney, ЮMoney+Банковская карта RU/РФ. Перейти на страницу
    Помимо решений в Word'е, также в e-mail-рассылку входят решения купленных задач в PDF формате для удобства просмотра на смартфонах и планшетах. Письма на e-mail приходят с темой "Заказ xxxxx"
Купить задачу
  • Описание
Сборник индивидуальных заданий по высшей математике Рябушко А.П. Часть 3.
12. Ряды
12.1 Числовые ряды. Признаки сходимости числовых рядов.

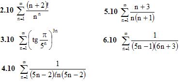
ИДЗ 12.1 Вариант 10. Решебник Рябушко Часть 3
1. Доказать сходимость ряда и найти его сумму


2. Исследовать на сходимость указанные ряды с положительными членами.(2-6)


Исследовать на сходимость и абсолютную сходимость знакочередующиеся ряды. (7-8).


Подробное решение. Оформлено в Microsoft Word 2003 (Задание решено с использованием редактора формул)
Решение задачи добавил: Massimo, Суббота, 26.07.2014

Просмотренные ранее товары

В опыте с зеркалами Френеля расстояние d между мнимыми изображениями источника света равно 0,5 мм расстояние ℓ от них до экрана равно 3 м Длина волны λ = 0,6 мкм Определить ширину Δх полос
В опыте с зеркалами Френеля расстояние d между мнимыми изображениями источника света равно 0,5 мм, расстояние ℓ от них до экрана равно 3 м. Длина волны λ = 0,6 мкм. Определить ширину Δх полос интерференции на экране. Подробное решение. Оформлено в Micr...
30 руб.

    Электрон проходит ускоряющую разность потенциалов 1 кВ и влетает в однородном магнитном поле с индукцией 10 мТл под углом 30° к силовым линиям Определите радиус спирали по которой будет двигаться эле
    Решенная задача по физике. Раздел: Магнетизм. Электромагнетизм Условие задачи: Электрон проходит ускоряющую разность потенциалов 1 кВ и влетает в однородном магнитном поле с индукцией 10 мТл под углом 30° к силовым линиям. Определите радиус спирали по ...
    30 руб.

      Мяч с отвесной скалы высотой 24,5м бросают в горизонтальном направлении с некоторой начальной скоростью Мяч попадает в цель лежащую на земле на расстоянии 30м от основания скалы С какой начальной
      Мяч с отвесной скалы высотой 24,5м бросают в горизонтальном направлении с некоторой начальной скоростью. Мяч попадает в цель, лежащую на земле, на расстоянии 30м от основания скалы. С какой начальной скоростью V0 был брошен мяч и какую конечную скорост...
      30 руб.

        Определите показатель n преломления среды в которой наблюдается эффект Вавилова – Черенкова если минимальный импульс pmin электрона равен 2,5·10-22 кг·м/с
        Решенная задача по физике. Раздел: Оптика. Квантовая оптика Условие задачи: Определите показатель n преломления среды, в которой наблюдается эффект Вавилова – Черенкова, если минимальный импульс pmin электрона равен 2,5·10-22 кг·м/с. Подробное решение....
        30 руб.

          Какую индуктивность L надо включить в колебательный контур чтобы при емкости С = 2 мкФ получить частоту ν = 1000 Гц
          Решенная задача по физике. Раздел: Колебания и волны Условие задачи: Какую индуктивность L надо включить в колебательный контур, чтобы при емкости С = 2 мкФ получить частоту ν = 1000 Гц? Подробное решение. Оформлено в Microsoft Word 2003. (Задание реше...
          20 руб.
            Корзина
            Ваша корзина пуста
            Валюта

            • 1 руб. = 5.000₸
            • 10 руб. = 0.100 $
            Поиск в магазине
            Группа Vk.com Рынок цифровых товаров plati.market, игры, игровые аккаунты, itunes, appstore, xbox, steam, ключи, пин-коды Сертификат Webmoney www.webmoney.ru

            Пользовательское соглашение | Договор оферты  ЭЙНФЕЛЬД ЛОЛИТА РИЧАРДОВНА ИНН 502205387028
            Решение контрольных работ по высшей математике
            Fizmathim.ru © 2013 - 2025


            Visa, MasterCard, Мир
            Рейтинг@Mail.ru