Контакты E-Mail: PMaxim2006@mail.ru Lolita.Einfeld@yandex.ru VK: id197545744 Instagram: @math_example

Решение задач и примеров

Информация
18.03.2024
Инструкция как оплачивать картой Каспи или Halyk для Казахстана
Прочитать инструкцию

18.03.2024
При добавлении товаров в корзину на сумму от 200 до 500 руб. и оформлении заказа активируется 5 % скидка на оплату, на сумму от 500 руб. активируется 10 % скидка на оплату

22.10.2022
Для Беларуси возможно оплачивать только банковской картой выпущенной в России или картой Белкарт МИР.
Также для Беларуси можно оплачивать Банковской картой Белкарт МИР или картой выпущенной в РФ, ЮMoney перейдя в раздел Решения заданий (digiseller) в меню сайта

23.08.2021
ЮMoney+Банковская карта. Принимаются виды оплат: Карты RU/РФ, ЮMoney-кошелек (Снижена комиссия)
Оплата картой Каспи или Halyk для Казахстана, пишите на почтовый ящик pmaxim2006@mail.ru

23.08.2021
В Digiseller можно найти все решения, что и на fizmathim.ru Перейти в Магазин на Digiseller
Можно воспользоваться формой поиска по первым 3-4 словам. Способы оплаты: Банковская карта (RU/РФ), ЮMoney, Webmoney, Unionpay, Alipay, Скины Steam

26.04.2019
- Все задачи оформлены в текстовом редакторе Microsoft Word, в PDF формате рассылаются решения отдельно.

- Ссылки действительны в течение 24 часов до первой попытки скачать (90 минут с момента первого скачивания).

05.02.2019
- Ссылка на скачивание задач, приходит на указанный вами почтовый ящик при оформлении заказа и его оплаты. Дополнительная рассылка оплаченных заказов на E-mail производится в течение нескольких минут/часов, тема писем имеет вид "Заказ xxxxx".
Форма входа
Главная Магазин готовых задач Высшая Математика Решебник ИДЗ Рябушко ИДЗ Рябушко Вариант 6

ИДЗ 12.2 Вариант 6 решебник ИДЗ Рябушко


    140 руб.
  •        Единица: шт.
  •        Размер файла (.doc): 148.5Kb
  • Теги: вариант 6, готовые задачи, Задания по математике, ИДЗ 12.2, решения Рябушко
    Чтобы получить решение задачи: 1) Нажмите "справа" на кнопку "Купить задачу"Купить задачу сейчас
    2) Выбираете один из удобных способов оплаты (ЮMoney+Банковская карта RU/РФ, ЮMoney-кошелек (Снижена комиссия) Webmoney WMZ-USD; WMB-белорусские рубли). Для Казахстана оплата переводом на карту Каспи или Halyk.
    3) Укажите E-Mail, на него придет ссылка на скачивание оплаченной задачи.
    4) Нажмите на «Оформить заказ», затем «Перейти к оплате»

    Перед покупкой задачи рекомендуем Вам ознакомиться с Примерами решений
    Бесплатные решенные примеры по высшей математике
    Пробная покупка "тестовой задачи" магазина за 3 руб. (проверка оплаты/доставки) и инструкция по оплате через Webmoney, ЮMoney+Банковская карта RU/РФ. Перейти на страницу
    Помимо решений в Word'е, также в e-mail-рассылку входят решения купленных задач в PDF формате для удобства просмотра на смартфонах и планшетах. Письма на e-mail приходят с темой "Заказ xxxxx"
Купить задачу
  • Описание
Сборник индивидуальных заданий по высшей математике Рябушко А.П. Часть 3.
12. Ряды
12.3 Формулы и ряды Тейлора и Маклорена. Разложение функций в степенные ряды.
12.4 Степенные ряды в приближенных вычислениях.

ИДЗ 12.2 Вариант 6. Решебник Рябушко Часть 3
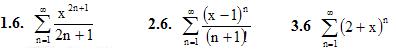
1. Найти область сходимости ряда. (1-3)


4. Разложить в ряд Маклорена функцию f(x). Указать область сходимости полученного ряда к этой функции.
4.6. f(x) = 2/(1−3x2)

5. Вычислить указанную величину приближенно с заданной степенью точности α, воспользовавшись разложением в степенной ряд соответствующим образом подобранной функции
5.6. ln3, α=0,0001

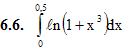
6. Используя разложение подынтегральной функции в степенной ряд, вычислить указанный определенный интеграл с точностью до 0,001.


7. Найти разложение в степенной ряд по степеням x решения дифференциального уравнения (записать три первых, отличных от нуля, члена этого разложения)
7.6. y′ = x + x2 + y2, y(0) = 1

8. Методом последовательного дифференцирования найти первые k членов разложения в степенной ряд решения дифференциального уравнения при указанных начальных условиях.
8.6. y′ = 2x – 0,1y2, y(0) = 1, k = 3

Подробное решение. Оформлено в Microsoft Word 2003 (Задание решено с использованием редактора формул)
Решение задачи добавил: Massimo, Среда, 20.08.2014

Просмотренные ранее товары

Найти мощность Р электрического тока подводимую к вольфрамовой нити диаметром d = 0,5 мм и длиной ℓ = 20 см для поддержания её температуры 3000 К Считать что тепло теряется только вследствие
Найти мощность Р электрического тока, подводимую к вольфрамовой нити диаметром d = 0,5 мм и длиной ℓ = 20 см, для поддержания её температуры 3000 К. Считать, что тепло теряется только вследствие излучения. Температура окружающей среды 1000 К. Коэффицие...
30 руб.

    Рабочее тело – идеальный газ – теплового двигателя совершает цикл состоящий из последовательных процессов изобарного адиабатического и изотермического В результате изобарного процесса газ нагреваетс
    Решенная задача по физике. Раздел: Молекулярная физика и термодинамика Условие задачи: Рабочее тело – идеальный газ – теплового двигателя совершает цикл, состоящий из последовательных процессов изобарного адиабатического и изотермического. В результате...
    30 руб.

      Электрон находится в бесконечно глубоком одномерном прямоугольном потенциальном ящике шириной l В каких точках в интервале 0 < х < l плотности вероятности нахождения электрона на втором и третьем
      Решенная задача по физике. Раздел: Квантовая, ядерная физика Условие задачи: Электрон находится в бесконечно глубоком, одномерном, прямоугольном потенциальном ящике шириной l. В каких точках в интервале 0 < х < l плотности вероятности нахождения электр...
      30 руб.

        На картонный каркас длиной 0,5 м и площадью сечения 4 см2 намотан в один слой провод диаметром 0,2 мм так что витки плотно прилегают друг к другу Определить индуктивность получившегося соленоида
        На картонный каркас длиной 0,5 м и площадью сечения 4 см2 намотан в один слой провод диаметром 0,2 мм так, что витки плотно прилегают друг к другу. Определить индуктивность, получившегося соленоида. Подробное решение. Оформлено в Microsoft Word 2003
        30 руб.

          Ниже какого давления можно говорить о вакууме между стенками сосуда Дьюара если расстояние между стенками сосуда равно 8 мм а температура 17 °С Эффективный диаметр молекул воздуха принять равным
          Решенная задача по физике. Раздел: Молекулярная физика и термодинамика Условие задачи: Ниже какого давления можно говорить о вакууме между стенками сосуда Дьюара, если расстояние между стенками сосуда равно 8 мм, а температура 17 °С? Эффективный диамет...
          30 руб.
            Корзина
            Ваша корзина пуста
            Валюта

            • 1 руб. = 5.000₸
            • 10 руб. = 0.100 $
            Поиск в магазине
            Группа Vk.com Рынок цифровых товаров plati.market, игры, игровые аккаунты, itunes, appstore, xbox, steam, ключи, пин-коды Сертификат Webmoney www.webmoney.ru

            Пользовательское соглашение | Договор оферты  ЭЙНФЕЛЬД ЛОЛИТА РИЧАРДОВНА ИНН 502205387028
            Решение контрольных работ по высшей математике
            Fizmathim.ru © 2013 - 2025


            Visa, MasterCard, Мир
            Рейтинг@Mail.ru