Контакты E-Mail: PMaxim2006@mail.ru Lolita.Einfeld@yandex.ru VK: id197545744 Instagram: @math_example

Решение задач и примеров

Информация
18.03.2024
Инструкция как оплачивать картой Каспи или Halyk для Казахстана
Прочитать инструкцию

18.03.2024
При добавлении товаров в корзину на сумму от 200 до 500 руб. и оформлении заказа активируется 5 % скидка на оплату, на сумму от 500 руб. активируется 10 % скидка на оплату

22.10.2022
Для Беларуси возможно оплачивать только банковской картой выпущенной в России или картой Белкарт МИР.
Также для Беларуси можно оплачивать Банковской картой Белкарт МИР или картой выпущенной в РФ, ЮMoney перейдя в раздел Решения заданий (digiseller) в меню сайта

23.08.2021
ЮMoney+Банковская карта. Принимаются виды оплат: Карты RU/РФ, ЮMoney-кошелек (Снижена комиссия)
Оплата картой Каспи или Halyk для Казахстана, пишите на почтовый ящик pmaxim2006@mail.ru

23.08.2021
В Digiseller можно найти все решения, что и на fizmathim.ru Перейти в Магазин на Digiseller
Можно воспользоваться формой поиска по первым 3-4 словам. Способы оплаты: Банковская карта (RU/РФ), ЮMoney, Webmoney, Unionpay, Alipay, Скины Steam

26.04.2019
- Все задачи оформлены в текстовом редакторе Microsoft Word, в PDF формате рассылаются решения отдельно.

- Ссылки действительны в течение 24 часов до первой попытки скачать (90 минут с момента первого скачивания).

05.02.2019
- Ссылка на скачивание задач, приходит на указанный вами почтовый ящик при оформлении заказа и его оплаты. Дополнительная рассылка оплаченных заказов на E-mail производится в течение нескольких минут/часов, тема писем имеет вид "Заказ xxxxx".
Форма входа
Главная Магазин готовых задач Высшая Математика Решебник ИДЗ Рябушко ИДЗ Рябушко Вариант 10

ИДЗ 12.2 Вариант 10 решебник ИДЗ Рябушко


    140 руб.
  •        Единица: шт.
  •        Размер файла (.doc): 184.5Kb
  • Теги: вариант 10, готовые задачи, Задания по математике, ИДЗ 12.2, решения Рябушко
    Чтобы получить решение задачи: 1) Нажмите "справа" на кнопку "Купить задачу"Купить задачу сейчас
    2) Выбираете один из удобных способов оплаты (ЮMoney+Банковская карта RU/РФ, ЮMoney-кошелек (Снижена комиссия) Webmoney WMZ-USD; WMB-белорусские рубли). Для Казахстана оплата переводом на карту Каспи или Halyk.
    3) Укажите E-Mail, на него придет ссылка на скачивание оплаченной задачи.
    4) Нажмите на «Оформить заказ», затем «Перейти к оплате»

    Перед покупкой задачи рекомендуем Вам ознакомиться с Примерами решений
    Бесплатные решенные примеры по высшей математике
    Пробная покупка "тестовой задачи" магазина за 3 руб. (проверка оплаты/доставки) и инструкция по оплате через Webmoney, ЮMoney+Банковская карта RU/РФ. Перейти на страницу
    Помимо решений в Word'е, также в e-mail-рассылку входят решения купленных задач в PDF формате для удобства просмотра на смартфонах и планшетах. Письма на e-mail приходят с темой "Заказ xxxxx"
Купить задачу
  • Описание
Сборник индивидуальных заданий по высшей математике Рябушко А.П. Часть 3.
12. Ряды
12.3 Формулы и ряды Тейлора и Маклорена. Разложение функций в степенные ряды.
12.4 Степенные ряды в приближенных вычислениях.

ИДЗ 12.2 Вариант 10. Решебник Рябушко Часть 3
1. Найти область сходимости ряда. (1-3)


4. Разложить в ряд Маклорена функцию f(x). Указать область сходимости полученного ряда к этой функции.
4.10. f(x) = 1/√ex

5. Вычислить указанную величину приближенно с заданной степенью точности α, воспользовавшись разложением в степенной ряд соответствующим образом подобранной функции
5.10. e2, α=0,001

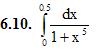
6. Используя разложение подынтегральной функции в степенной ряд, вычислить указанный определенный интеграл с точностью до 0,001.


7. Найти разложение в степенной ряд по степеням x решения дифференциального уравнения (записать три первых, отличных от нуля, члена этого разложения)
7.10. y′ = x2 + y2, y(0) = 1

8. Методом последовательного дифференцирования найти первые k членов разложения в степенной ряд решения дифференциального уравнения при указанных начальных условиях.
8.10. y′ = 2x + cosy, y(0) = 0, k = 5

Подробное решение. Оформлено в Microsoft Word 2003 (Задание решено с использованием редактора формул)
Решение задачи добавил: Massimo, Среда, 20.08.2014

Просмотренные ранее товары

Протон прошедший разность потенциалов 1,5 кВ влетел в однородное магнитное поле с напряженностью 420 кА/м и начал двигаться по окружности Вычислить её радиус
Решенная задача по физике. Раздел: Магнетизм. Электромагнетизм Условие задачи: Протон, прошедший разность потенциалов 1,5 кВ, влетел в однородное магнитное поле с напряженностью 420 кА/м и начал двигаться по окружности. Вычислить её радиус. Подробное р...
30 руб.

    Соленоид индуктивностью 4 мГн содержит 600 витков Определить магнитный поток если сила тока протекающего по обмотке равна 12 А
    Соленоид индуктивностью 4 мГн содержит 600 витков. Определить магнитный поток, если сила тока, протекающего по обмотке, равна 12 А. Подробное решение. Оформлено в Microsoft Word 2003
    20 руб.

      Найти среднее число столкновений испытываемых в течение 1с молекулой кислорода при нормальных условиях Эффективный диаметр молекулы кислорода равен 0,36 нм
      Найти среднее число столкновений, испытываемых в течение 1с молекулой кислорода при нормальных условиях. Эффективный диаметр молекулы кислорода равен 0,36 нм. Подробное решение. Оформлено в Microsoft Word 2003. (Задание решено с использованием редактор...
      30 руб.

        Газ массой m = 10 г расширяется изотермически от объема V1 до объема V2=2V1 Работа А расширения газа равна 900 Дж Определите наиболее вероятную скорость υв молекул газа
        Решенная задача по физике. Раздел: Молекулярная физика и термодинамика Условие задачи: Газ массой m = 10 г расширяется изотермически от объема V1, до объема V2=2V1. Работа А расширения газа равна 900 Дж. Определите наиболее вероятную скорость υв молеку...
        30 руб.

          ИДЗ 11.4 Вариант 16 решебник ИДЗ Рябушко
          Сборник индивидуальных заданий по высшей математике Рябушко А.П. Часть 2. 11. Обыкновенные дифференциальные уравнения 11.6 Линейные дифференциальные уравнения высших порядков. 11.7 Системы дифференциальных уравнений. ИДЗ 11.4 Вариант 16. Решебник Рябуш...
          110 руб.
            Корзина
            Ваша корзина пуста
            Валюта

            • 10 руб. = 0.100 $
            • 1 руб. = 5.000₸
            Поиск в магазине
            Группа Vk.com Рынок цифровых товаров plati.market, игры, игровые аккаунты, itunes, appstore, xbox, steam, ключи, пин-коды Сертификат Webmoney www.webmoney.ru

            Пользовательское соглашение | Договор оферты  ЭЙНФЕЛЬД ЛОЛИТА РИЧАРДОВНА ИНН 502205387028
            Решение контрольных работ по высшей математике
            Fizmathim.ru © 2013 - 2025


            Visa, MasterCard, Мир
            Рейтинг@Mail.ru