Контакты E-Mail: PMaxim2006@mail.ru Lolita.Einfeld@yandex.ru VK: id197545744 Instagram: @math_example

Решение задач и примеров

Информация
18.03.2024
Инструкция как оплачивать картой Каспи или Halyk для Казахстана
Прочитать инструкцию

18.03.2024
При добавлении товаров в корзину на сумму от 200 до 500 руб. и оформлении заказа активируется 5 % скидка на оплату, на сумму от 500 руб. активируется 10 % скидка на оплату

22.10.2022
Для Беларуси возможно оплачивать только банковской картой выпущенной в России или картой Белкарт МИР.
Также для Беларуси можно оплачивать Банковской картой Белкарт МИР или картой выпущенной в РФ, ЮMoney перейдя в раздел Решения заданий (digiseller) в меню сайта

23.08.2021
ЮMoney+Банковская карта. Принимаются виды оплат: Карты RU/РФ, ЮMoney-кошелек (Снижена комиссия)
Оплата картой Каспи или Halyk для Казахстана, пишите на почтовый ящик pmaxim2006@mail.ru

23.08.2021
В Digiseller можно найти все решения, что и на fizmathim.ru Перейти в Магазин на Digiseller
Можно воспользоваться формой поиска по первым 3-4 словам. Способы оплаты: Банковская карта (RU/РФ), ЮMoney, Webmoney, Unionpay, Alipay, Скины Steam

26.04.2019
- Все задачи оформлены в текстовом редакторе Microsoft Word, в PDF формате рассылаются решения отдельно.

- Ссылки действительны в течение 24 часов до первой попытки скачать (90 минут с момента первого скачивания).

05.02.2019
- Ссылка на скачивание задач, приходит на указанный вами почтовый ящик при оформлении заказа и его оплаты. Дополнительная рассылка оплаченных заказов на E-mail производится в течение нескольких минут/часов, тема писем имеет вид "Заказ xxxxx".
Форма входа
Главная Магазин готовых задач Высшая Математика Решебник ИДЗ Рябушко ИДЗ Рябушко Вариант 16

ИДЗ 12.2 Вариант 16 решебник ИДЗ Рябушко


    140 руб.
  •        Единица: шт.
  •        Размер файла (.doc): 188.0Kb
  • Теги: вариант 16, готовые задачи, Задания по математике, ИДЗ 12.2, решения Рябушко
    Чтобы получить решение задачи: 1) Нажмите "справа" на кнопку "Купить задачу"Купить задачу сейчас
    2) Выбираете один из удобных способов оплаты (ЮMoney+Банковская карта RU/РФ, ЮMoney-кошелек (Снижена комиссия) Webmoney WMZ-USD; WMB-белорусские рубли). Для Казахстана оплата переводом на карту Каспи или Halyk.
    3) Укажите E-Mail, на него придет ссылка на скачивание оплаченной задачи.
    4) Нажмите на «Оформить заказ», затем «Перейти к оплате»

    Перед покупкой задачи рекомендуем Вам ознакомиться с Примерами решений
    Бесплатные решенные примеры по высшей математике
    Пробная покупка "тестовой задачи" магазина за 3 руб. (проверка оплаты/доставки) и инструкция по оплате через Webmoney, ЮMoney+Банковская карта RU/РФ. Перейти на страницу
    Помимо решений в Word'е, также в e-mail-рассылку входят решения купленных задач в PDF формате для удобства просмотра на смартфонах и планшетах. Письма на e-mail приходят с темой "Заказ xxxxx"
Купить задачу
  • Описание
Сборник индивидуальных заданий по высшей математике Рябушко А.П. Часть 3.
12. Ряды
12.3 Формулы и ряды Тейлора и Маклорена. Разложение функций в степенные ряды.
12.4 Степенные ряды в приближенных вычислениях.

ИДЗ 12.2 Вариант 16. Решебник Рябушко Часть 3
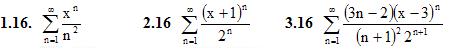
1. Найти область сходимости ряда. (1-3)


4. Разложить в ряд Маклорена функцию f(x). Указать область сходимости полученного ряда к этой функции.
4.16. f(x) = sin3x/x

5. Вычислить указанную величину приближенно с заданной степенью точности α, воспользовавшись разложением в степенной ряд соответствующим образом подобранной функции
5.16. 3e, α=0,00001

6. Используя разложение подынтегральной функции в степенной ряд, вычислить указанный определенный интеграл с точностью до 0,001.


7. Найти разложение в степенной ряд по степеням x решения дифференциального уравнения (записать три первых, отличных от нуля, члена этого разложения)
7.16. y′ = x2 + 2y2, y(0) = 0,2

8. Методом последовательного дифференцирования найти первые k членов разложения в степенной ряд решения дифференциального уравнения при указанных начальных условиях.
8.16. y′ = x2 + 0,2y2, y(0) = 0,1, k = 3

Подробное решение. Оформлено в Microsoft Word 2003 (Задание решено с использованием редактора формул)
Решение задачи добавил: Massimo, Среда, 20.08.2014

Просмотренные ранее товары

Капля масла диаметром 0,01 мм удерживается в равновесии между горизонтальными пластинами расстояние между которыми равно 25 мм Какой заряд имеет капля если равновесие достигается при разности
Капля масла диаметром 0,01 мм удерживается в равновесии между горизонтальными пластинами, расстояние между которыми равно 25 мм. Какой заряд имеет капля, если равновесие достигается при разности потенциалов 36 кВ? Подробное решение. Оформлено в Microso...
30 руб.

    Приняв что минимальная энергия Е нуклона в ядре равна 10 МэВ оценить исходя из соотношения неопределенностей линейные размеры ядра
    Приняв, что минимальная энергия Е нуклона в ядре равна 10 МэВ, оценить, исходя из соотношения неопределенностей, линейные размеры ядра. Подробное решение. Оформлено в Microsoft Word 2003
    30 руб.

      Заряженная частица ускоренная разностью потенциалов U = 500 В имеет длину волны де Бройля λ = 1,282 пм Принимая заряд этой частицы равным заряду электрона определите ее массу
      Решенная задача по физике. Раздел: Квантовая, ядерная физика Условие задачи: Заряженная частица, ускоренная разностью потенциалов U = 500 В, имеет длину волны де Бройля λ = 1,282 пм. Принимая заряд этой частицы равным заряду электрона, определите ее ма...
      30 руб.

        Электрон в одномерной прямоугольной потенциальной яме шириной l = 200 пм с бесконечно высокими стенками находится в возбужденном состоянии n = 4 Определите: 1) минимальную энергию электрона; 2) вер
        Решенная задача по физике. Раздел: Квантовая, ядерная физика Условие задачи: Электрон в одномерной прямоугольной потенциальной яме шириной l = 200 пм с бесконечно высокими стенками находится в возбужденном состоянии (n = 4). Определите: 1) минимальную ...
        30 руб.

          Шарик массой m = 100 г упал с высоты h = 2,5 м на горизонтальную плиту масса которой много больше массы шарика и отскочил от нее вверх Считая удар абсолютно упругим определить импульс p полученны
          Шарик массой m = 100 г упал с высоты h = 2,5 м на горизонтальную плиту, масса которой много больше массы шарика, и отскочил от нее вверх. Считая удар абсолютно упругим, определить импульс p, полученный плитой. Подробное решение. Оформлено в Microsoft W...
          30 руб.
            Корзина
            Ваша корзина пуста
            Валюта

            • 10 руб. = 0.100 $
            • 1 руб. = 5.000₸
            Поиск в магазине
            Группа Vk.com Рынок цифровых товаров plati.market, игры, игровые аккаунты, itunes, appstore, xbox, steam, ключи, пин-коды Сертификат Webmoney www.webmoney.ru

            Пользовательское соглашение | Договор оферты  ЭЙНФЕЛЬД ЛОЛИТА РИЧАРДОВНА ИНН 502205387028
            Решение контрольных работ по высшей математике
            Fizmathim.ru © 2013 - 2025


            Visa, MasterCard, Мир
            Рейтинг@Mail.ru