Контакты E-Mail: PMaxim2006@mail.ru Lolita.Einfeld@yandex.ru VK: id197545744 Instagram: @math_example

Решение задач и примеров

Информация
18.03.2024
Инструкция как оплачивать картой Каспи или Halyk для Казахстана
Прочитать инструкцию

18.03.2024
При добавлении товаров в корзину на сумму от 200 до 500 руб. и оформлении заказа активируется 5 % скидка на оплату, на сумму от 500 руб. активируется 10 % скидка на оплату

22.10.2022
Для Беларуси возможно оплачивать только банковской картой выпущенной в России или картой Белкарт МИР.
Также для Беларуси можно оплачивать Банковской картой Белкарт МИР или картой выпущенной в РФ, ЮMoney перейдя в раздел Решения заданий (digiseller) в меню сайта

23.08.2021
ЮMoney+Банковская карта. Принимаются виды оплат: Карты RU/РФ, ЮMoney-кошелек (Снижена комиссия)
Оплата картой Каспи или Halyk для Казахстана, пишите на почтовый ящик pmaxim2006@mail.ru

23.08.2021
В Digiseller можно найти все решения, что и на fizmathim.ru Перейти в Магазин на Digiseller
Можно воспользоваться формой поиска по первым 3-4 словам. Способы оплаты: Банковская карта (RU/РФ), ЮMoney, Webmoney, Unionpay, Alipay, Скины Steam

26.04.2019
- Все задачи оформлены в текстовом редакторе Microsoft Word, в PDF формате рассылаются решения отдельно.

- Ссылки действительны в течение 24 часов до первой попытки скачать (90 минут с момента первого скачивания).

05.02.2019
- Ссылка на скачивание задач, приходит на указанный вами почтовый ящик при оформлении заказа и его оплаты. Дополнительная рассылка оплаченных заказов на E-mail производится в течение нескольких минут/часов, тема писем имеет вид "Заказ xxxxx".
Форма входа
Главная Магазин готовых задач Высшая Математика Решебник ИДЗ Рябушко ИДЗ Рябушко Вариант 11

ИДЗ 12.3 Вариант 11 решебник ИДЗ Рябушко


    140 руб.
  •        Единица: шт.
  •        Размер файла (.doc): 179.5Kb
  • Теги: вариант 11, готовые задачи, Задания по математике, ИДЗ 12.3, решения Рябушко
    Чтобы получить решение задачи: 1) Нажмите "справа" на кнопку "Купить задачу"Купить задачу сейчас
    2) Выбираете один из удобных способов оплаты (ЮMoney+Банковская карта RU/РФ, ЮMoney-кошелек (Снижена комиссия) Webmoney WMZ-USD; WMB-белорусские рубли). Для Казахстана оплата переводом на карту Каспи или Halyk.
    3) Укажите E-Mail, на него придет ссылка на скачивание оплаченной задачи.
    4) Нажмите на «Оформить заказ», затем «Перейти к оплате»

    Перед покупкой задачи рекомендуем Вам ознакомиться с Примерами решений
    Бесплатные решенные примеры по высшей математике
    Пробная покупка "тестовой задачи" магазина за 3 руб. (проверка оплаты/доставки) и инструкция по оплате через Webmoney, ЮMoney+Банковская карта RU/РФ. Перейти на страницу
    Помимо решений в Word'е, также в e-mail-рассылку входят решения купленных задач в PDF формате для удобства просмотра на смартфонах и планшетах. Письма на e-mail приходят с темой "Заказ xxxxx"
Купить задачу
  • Описание
Сборник индивидуальных заданий по высшей математике Рябушко А.П. Часть 3.
12. Ряды
12.5 Ряды Фурье

ИДЗ 12.3 Вариант 11. Решебник Рябушко Часть 3
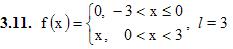
1. Разложить в ряд Фурье периодическую (с периодом ω=2π) функцию f(x) заданную на отрезке [-π; π]


2. Разложить в ряд Фурье функцию f(x), заданную в интервале (0; π) продолжив (доопределив) ее четным и нечетным образом. Построить графики для каждого продолжения.
2.11. f(x) = 4x/3

3. Разложить в ряд Фурье в указанном интервале периодическую функцию f(x) с периодом w=2l


4. Разложить в ряд Фурье функцию, заданную графически.


5. Воспользовавшись разложением функции f(x) в ряд Фурье в указанном интервале, найти сумму данного числового ряда.


Подробное решение. Оформлено в Microsoft Word 2003 (Задание решено с использованием редактора формул)
Решение задачи добавил: Massimo, Четверг, 25.09.2014

Просмотренные ранее товары

Сколько электронов испускает за 31 мин 11 мкг натрия период полураспада которого Т = 15 ч
Решенная задача по физике. Раздел: Квантовая, ядерная физика Условие задачи: Сколько электронов испускает за 31 мин 11 мкг натрия, период полураспада которого Т = 15 ч? Подробное решение. Оформлено в Microsoft Word 2003. (Задание решено с использование...
30 руб.

    В баллоне объемом V = 3 л содержится кислород массой m = 10 г Определить концентрацию n молекул газа
    В баллоне объемом V = 3 л содержится кислород массой m = 10 г. Определить концентрацию n молекул газа. Подробное решение. Оформлено в Microsoft Word 2003
    20 руб.

      Закругление железнодорожного пути расположено в горизонтальной плоскости Какого радиуса должно быть закругление рассчитанное на скорость 72 км/ч если наружный рельс поднят над внутренним на 10,2 мм
      Решенная задача по физике. Раздел: Кинематика, механика, динамика Условие задачи: Закругление железнодорожного пути расположено в горизонтальной плоскости. Какого радиуса должно быть закругление, рассчитанное на скорость 72 км/ч, если наружный рельс по...
      30 руб.

        Продукты распада заряженных пионов испытывают дальнейший распад Запишите цепочку распадов π+ и π− -мезонов
        Решенная задача по физике. Раздел: Квантовая, ядерная физика Условие задачи: Продукты распада заряженных пионов испытывают дальнейший распад. Запишите цепочку распадов π+ и π− -мезонов. Подробное решение. Оформлено в Microsoft Word 2003. (Задание решен...
        20 руб.

          Определите молекулярную формулу дифторалкана с массовой долей фтора 47,50 %.
          Определите молекулярную формулу дифторалкана с массовой долей фтора 47,50 %. Подробное решение. Оформлено в Microsoft Word 2003. (Задание решено с использованием редактора формул)
          30 руб.
            Корзина
            Ваша корзина пуста
            Валюта

            • 1 руб. = 5.000₸
            • 10 руб. = 0.100 $
            Поиск в магазине
            Группа Vk.com Рынок цифровых товаров plati.market, игры, игровые аккаунты, itunes, appstore, xbox, steam, ключи, пин-коды Сертификат Webmoney www.webmoney.ru

            Пользовательское соглашение | Договор оферты  ЭЙНФЕЛЬД ЛОЛИТА РИЧАРДОВНА ИНН 502205387028
            Решение контрольных работ по высшей математике
            Fizmathim.ru © 2013 - 2025


            Visa, MasterCard, Мир
            Рейтинг@Mail.ru