Контакты E-Mail: PMaxim2006@mail.ru Lolita.Einfeld@yandex.ru VK: id197545744 Instagram: @math_example

Решение задач и примеров

Информация
18.03.2024
Инструкция как оплачивать картой Каспи или Halyk для Казахстана
Прочитать инструкцию

18.03.2024
При добавлении товаров в корзину на сумму от 200 до 500 руб. и оформлении заказа активируется 5 % скидка на оплату, на сумму от 500 руб. активируется 10 % скидка на оплату

22.10.2022
Для Беларуси возможно оплачивать только банковской картой выпущенной в России или картой Белкарт МИР.
Также для Беларуси можно оплачивать Банковской картой Белкарт МИР или картой выпущенной в РФ, ЮMoney перейдя в раздел Решения заданий (digiseller) в меню сайта

23.08.2021
ЮMoney+Банковская карта. Принимаются виды оплат: Карты RU/РФ, ЮMoney-кошелек (Снижена комиссия)
Оплата картой Каспи или Halyk для Казахстана, пишите на почтовый ящик pmaxim2006@mail.ru

23.08.2021
В Digiseller можно найти все решения, что и на fizmathim.ru Перейти в Магазин на Digiseller
Можно воспользоваться формой поиска по первым 3-4 словам. Способы оплаты: Банковская карта (RU/РФ), ЮMoney, Webmoney, Unionpay, Alipay, Скины Steam

26.04.2019
- Все задачи оформлены в текстовом редакторе Microsoft Word, в PDF формате рассылаются решения отдельно.

- Ссылки действительны в течение 24 часов до первой попытки скачать (90 минут с момента первого скачивания).

05.02.2019
- Ссылка на скачивание задач, приходит на указанный вами почтовый ящик при оформлении заказа и его оплаты. Дополнительная рассылка оплаченных заказов на E-mail производится в течение нескольких минут/часов, тема писем имеет вид "Заказ xxxxx".
Форма входа
Главная Магазин готовых задач Высшая Математика Решебник ИДЗ Рябушко ИДЗ Рябушко Вариант 12

ИДЗ 12.3 Вариант 12 решебник ИДЗ Рябушко


    140 руб.
  •        Единица: шт.
  •        Размер файла (.doc): 169.5Kb
  • Теги: вариант 12, готовые задачи, Задания по математике, ИДЗ 12.3, решения Рябушко
    Чтобы получить решение задачи: 1) Нажмите "справа" на кнопку "Купить задачу"Купить задачу сейчас
    2) Выбираете один из удобных способов оплаты (ЮMoney+Банковская карта RU/РФ, ЮMoney-кошелек (Снижена комиссия) Webmoney WMZ-USD; WMB-белорусские рубли). Для Казахстана оплата переводом на карту Каспи или Halyk.
    3) Укажите E-Mail, на него придет ссылка на скачивание оплаченной задачи.
    4) Нажмите на «Оформить заказ», затем «Перейти к оплате»

    Перед покупкой задачи рекомендуем Вам ознакомиться с Примерами решений
    Бесплатные решенные примеры по высшей математике
    Пробная покупка "тестовой задачи" магазина за 3 руб. (проверка оплаты/доставки) и инструкция по оплате через Webmoney, ЮMoney+Банковская карта RU/РФ. Перейти на страницу
    Помимо решений в Word'е, также в e-mail-рассылку входят решения купленных задач в PDF формате для удобства просмотра на смартфонах и планшетах. Письма на e-mail приходят с темой "Заказ xxxxx"
Купить задачу
  • Описание
Сборник индивидуальных заданий по высшей математике Рябушко А.П. Часть 3.
12. Ряды
12.5 Ряды Фурье

ИДЗ 12.3 Вариант 12. Решебник Рябушко Часть 3
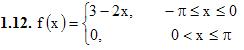
1. Разложить в ряд Фурье периодическую (с периодом ω=2π) функцию f(x) заданную на отрезке [-π; π]


2. Разложить в ряд Фурье функцию f(x), заданную в интервале (0; π) продолжив (доопределив) ее четным и нечетным образом. Построить графики для каждого продолжения.
2.12. f(x) = chx/2

3. Разложить в ряд Фурье в указанном интервале периодическую функцию f(x) с периодом w=2l
3.12. f(x) = 3 – x, –2 < x < 2, l = 2

4. Разложить в ряд Фурье функцию, заданную графически.


5. Воспользовавшись разложением функции f(x) в ряд Фурье в указанном интервале, найти сумму данного числового ряда.


Подробное решение. Оформлено в Microsoft Word 2003 (Задание решено с использованием редактора формул)
Решение задачи добавил: Massimo, Четверг, 25.09.2014

Просмотренные ранее товары

Катушка длиной 20 см и диаметром 3 см имеет 400 витков По катушке идет ток 2 А Найти индуктивность катушки и магнитный поток пронизывающий площадь ее поперечного сечения
Катушка длиной 20 см и диаметром 3 см имеет 400 витков. По катушке идет ток 2 А. Найти индуктивность катушки и магнитный поток, пронизывающий площадь ее поперечного сечения. Подробное решение. Оформлено в Microsoft Word 2003
30 руб.

    Рамка с током I = 5 А содержит N = 20 витков тонкого провода Определить магнитный момент pm рамки с током если ее площадь S = 10 см2
    Рамка с током I = 5 А содержит N = 20 витков тонкого провода. Определить магнитный момент pm рамки с током, если ее площадь S = 10 см2. Подробное решение. Оформлено в Microsoft Word 2003
    20 руб.

      ИДЗ 6.4 Вариант 16 решебник ИДЗ Рябушко
      Сборник индивидуальных заданий по высшей математике Рябушко А.П. Часть 1. 6. Дифференциальное исчисление функций одной переменной и его приложения 6.6 Исследование поведений функций и их графиков 6.7 Схема полного исследования функции и построение ее г...
      100 руб.

        ИДЗ 6.4 Вариант 13 решебник ИДЗ Рябушко
        Сборник индивидуальных заданий по высшей математике Рябушко А.П. Часть 1. 6. Дифференциальное исчисление функций одной переменной и его приложения 6.6 Исследование поведений функций и их графиков 6.7 Схема полного исследования функции и построение ее г...
        100 руб.

          Катушка индуктивностью L = 1,5 Гн и сопротивлением R1 = 15 Ом и резистор сопротивлением R2 = 150 Ом соединены параллельно и подключены к источнику электродвижущая сила которого ε = 60 В через ключ К
          Решенная задача по физике. Раздел: Магнетизм. Электромагнетизм Условие задачи: Катушка индуктивностью L = 1,5 Гн и сопротивлением R1 = 15 Ом и резистор сопротивлением R2 = 150 Ом соединены параллельно и подключены к источнику, электродвижущая сила кото...
          30 руб.
            Корзина
            Ваша корзина пуста
            Валюта

            • 1 руб. = 5.000₸
            • 10 руб. = 0.100 $
            Поиск в магазине
            Группа Vk.com Рынок цифровых товаров plati.market, игры, игровые аккаунты, itunes, appstore, xbox, steam, ключи, пин-коды Сертификат Webmoney www.webmoney.ru

            Пользовательское соглашение | Договор оферты  ЭЙНФЕЛЬД ЛОЛИТА РИЧАРДОВНА ИНН 502205387028
            Решение контрольных работ по высшей математике
            Fizmathim.ru © 2013 - 2025


            Visa, MasterCard, Мир
            Рейтинг@Mail.ru