Контакты E-Mail: PMaxim2006@mail.ru Lolita.Einfeld@yandex.ru VK: id197545744 Instagram: @math_example

Решение задач и примеров

Информация
18.03.2024
Инструкция как оплачивать картой Каспи или Halyk для Казахстана
Прочитать инструкцию

18.03.2024
При добавлении товаров в корзину на сумму от 200 до 500 руб. и оформлении заказа активируется 5 % скидка на оплату, на сумму от 500 руб. активируется 10 % скидка на оплату

22.10.2022
Для Беларуси возможно оплачивать только банковской картой выпущенной в России или картой Белкарт МИР.
Также для Беларуси можно оплачивать Банковской картой Белкарт МИР или картой выпущенной в РФ, ЮMoney перейдя в раздел Решения заданий (digiseller) в меню сайта

23.08.2021
ЮMoney+Банковская карта. Принимаются виды оплат: Карты RU/РФ, ЮMoney-кошелек (Снижена комиссия)
Оплата картой Каспи или Halyk для Казахстана, пишите на почтовый ящик pmaxim2006@mail.ru

23.08.2021
В Digiseller можно найти все решения, что и на fizmathim.ru Перейти в Магазин на Digiseller
Можно воспользоваться формой поиска по первым 3-4 словам. Способы оплаты: Банковская карта (RU/РФ), ЮMoney, Webmoney, Unionpay, Alipay, Скины Steam

26.04.2019
- Все задачи оформлены в текстовом редакторе Microsoft Word, в PDF формате рассылаются решения отдельно.

- Ссылки действительны в течение 24 часов до первой попытки скачать (90 минут с момента первого скачивания).

05.02.2019
- Ссылка на скачивание задач, приходит на указанный вами почтовый ящик при оформлении заказа и его оплаты. Дополнительная рассылка оплаченных заказов на E-mail производится в течение нескольких минут/часов, тема писем имеет вид "Заказ xxxxx".
Форма входа
Главная Магазин готовых задач Высшая Математика Решенные методички

Контрольная работа 1 семестр Вариант 1 (11,21,31,41,51) Сургутский государственный университет


    150 руб.
  •        Единица: шт.
  •        Размер файла (.doc): 184.5Kb
  • Теги: Вариант1, математика, СурГУ, 1 семестр
    Чтобы получить решение задачи: 1) Нажмите "справа" на кнопку "Купить задачу"Купить задачу сейчас
    2) Выбираете один из удобных способов оплаты (ЮMoney+Банковская карта RU/РФ, ЮMoney-кошелек (Снижена комиссия) Webmoney WMZ-USD; WMB-белорусские рубли). Для Казахстана оплата переводом на карту Каспи или Halyk.
    3) Укажите E-Mail, на него придет ссылка на скачивание оплаченной задачи.
    4) Нажмите на «Оформить заказ», затем «Перейти к оплате»

    Перед покупкой задачи рекомендуем Вам ознакомиться с Примерами решений
    Бесплатные решенные примеры по высшей математике
    Пробная покупка "тестовой задачи" магазина за 3 руб. (проверка оплаты/доставки) и инструкция по оплате через Webmoney, ЮMoney+Банковская карта RU/РФ. Перейти на страницу
    Помимо решений в Word'е, также в e-mail-рассылку входят решения купленных задач в PDF формате для удобства просмотра на смартфонах и планшетах. Письма на e-mail приходят с темой "Заказ xxxxx"
Купить задачу
  • Описание

ВУЗ: Сургутский государственный университет
Математика для бакалавров – Промышленное и гражданское строительство 1 й семестр
Методичка по математике Сургутский государственный университет Скачать файл
Решенные задания из Контрольной работы 1го семестра, номера 11,21,31,41,51
Задание 1.
Известны координаты вершин треугольника АВС. Составьте уравнения:
а) медианы АМ проведенной к стороне ВС,
б) высоты АН, опущенной на сторону ВС,
в) найдите cos∟A:
11. A(2,0), B(−4,−8), C(−18, 0)

Задание 2.
Даны координаты вершин пирамиды А1А2А3А4.
а) Применяя векторы, найдите площадь грани А1А2А3,
б) Применяя векторы, найдите объем пирамиды,
в) Составьте уравнение плоскости А1А2А3,
г) Составьте канонические уравнения прямой l, проходящей через точку А4, перпендикулярно плоскости А1А2А3:
21. А1(1, −1, 6), А2(4, 5, −2), А3(−1, 3, 0), А4(6, 1, 5)

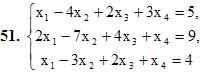
Задание 3.
а) Решите систему уравнений методом Крамера


Задание 4.
Решите систему с помощью обратной матрицы.


Задание 5.
Найдите общее решение системы методом Гаусса и запишите одно частное решение системы


Подробное решение. Оформлено в Microsoft Word 2003 (Задание решено с использованием редактора формул)

Если не нашли решение своего варианта, вы можете заказать его у нас.
Решение задачи добавил: Massimo, Понедельник, 02.02.2015

Просмотренные ранее товары

Контрольная работа 1 семестр Вариант 5 (15,25,35,45,55) Сургутский государственный университет
ВУЗ: Сургутский государственный университет Математика для бакалавров – Промышленное и гражданское строительство 1 й семестр Методичка по математике Сургутский государственный университет Скачать файл Решенные задания из Контрольной работы 1й семестра,...
150 руб.

    Контрольная работа 1 семестр Вариант 8 (18,28,38,48,58) Сургутский государственный университет
    ВУЗ: Сургутский государственный университет Математика для бакалавров – Промышленное и гражданское строительство 1 й семестр Методичка по математике Сургутский государственный университет Скачать файл Решенные задания из Контрольной работы 1й семестра,...
    150 руб.

      68. При каком процессе выгоднее производить нагревание 2 молей аргона на 100 К: а) изобарическом; б) изохорическом.
      68. При каком процессе выгоднее производить нагревание 2 молей аргона на 100 К: а) изобарическом; б) изохорическом.
      25 руб.
        Корзина
        Ваша корзина пуста
        Валюта

        • 1 руб. = 5.000₸
        • 10 руб. = 0.100 $
        Поиск в магазине
        Группа Vk.com Рынок цифровых товаров plati.market, игры, игровые аккаунты, itunes, appstore, xbox, steam, ключи, пин-коды Сертификат Webmoney www.webmoney.ru

        Пользовательское соглашение | Договор оферты  ЭЙНФЕЛЬД ЛОЛИТА РИЧАРДОВНА ИНН 502205387028
        Решение контрольных работ по высшей математике
        Fizmathim.ru © 2013 - 2026


        Visa, MasterCard, Мир
        Рейтинг@Mail.ru