Контакты E-Mail: PMaxim2006@mail.ru Lolita.Einfeld@yandex.ru VK: id197545744 Instagram: @math_example

Решение задач и примеров

Информация
18.03.2024
Инструкция как оплачивать картой Каспи или Halyk для Казахстана
Прочитать инструкцию

18.03.2024
При добавлении товаров в корзину на сумму от 200 до 500 руб. и оформлении заказа активируется 5 % скидка на оплату, на сумму от 500 руб. активируется 10 % скидка на оплату

22.10.2022
Для Беларуси возможно оплачивать только банковской картой выпущенной в России или картой Белкарт МИР.
Также для Беларуси можно оплачивать Банковской картой Белкарт МИР или картой выпущенной в РФ, ЮMoney перейдя в раздел Решения заданий (digiseller) в меню сайта

23.08.2021
ЮMoney+Банковская карта. Принимаются виды оплат: Карты RU/РФ, ЮMoney-кошелек (Снижена комиссия)
Оплата картой Каспи или Halyk для Казахстана, пишите на почтовый ящик pmaxim2006@mail.ru

23.08.2021
В Digiseller можно найти все решения, что и на fizmathim.ru Перейти в Магазин на Digiseller
Можно воспользоваться формой поиска по первым 3-4 словам. Способы оплаты: Банковская карта (RU/РФ), ЮMoney, Webmoney, Unionpay, Alipay, Скины Steam

26.04.2019
- Все задачи оформлены в текстовом редакторе Microsoft Word, в PDF формате рассылаются решения отдельно.

- Ссылки действительны в течение 24 часов до первой попытки скачать (90 минут с момента первого скачивания).

05.02.2019
- Ссылка на скачивание задач, приходит на указанный вами почтовый ящик при оформлении заказа и его оплаты. Дополнительная рассылка оплаченных заказов на E-mail производится в течение нескольких минут/часов, тема писем имеет вид "Заказ xxxxx".
Форма входа
Главная Магазин готовых задач Высшая Математика Решенные методички

Контрольная работа 1 (3,13,23,33) часть 1 Омский государственный университет путей сообщения Математика


    100 руб.
  •        Единица: шт.
  •        Размер файла (.doc): 198.5Kb
  • Теги: математика, Контрольная работа 1, вариант3, ОмГУПС
    Чтобы получить решение задачи: 1) Нажмите "справа" на кнопку "Купить задачу"Купить задачу сейчас
    2) Выбираете один из удобных способов оплаты (ЮMoney+Банковская карта RU/РФ, ЮMoney-кошелек (Снижена комиссия) Webmoney WMZ-USD; WMB-белорусские рубли). Для Казахстана оплата переводом на карту Каспи или Halyk.
    3) Укажите E-Mail, на него придет ссылка на скачивание оплаченной задачи.
    4) Нажмите на «Оформить заказ», затем «Перейти к оплате»

    Перед покупкой задачи рекомендуем Вам ознакомиться с Примерами решений
    Бесплатные решенные примеры по высшей математике
    Пробная покупка "тестовой задачи" магазина за 3 руб. (проверка оплаты/доставки) и инструкция по оплате через Webmoney, ЮMoney+Банковская карта RU/РФ. Перейти на страницу
    Помимо решений в Word'е, также в e-mail-рассылку входят решения купленных задач в PDF формате для удобства просмотра на смартфонах и планшетах. Письма на e-mail приходят с темой "Заказ xxxxx"
Купить задачу
  • Описание

ВУЗ: Омский государственный университет путей сообщения
Высшая математика. Часть 1: Методические указания и контрольные задания для студентов заочного факультета. 2-е изд., Омск 2010
Методичка по математике Омский государственный университет путей сообщения Скачать файл
Решенные задания
3. Заданы матрицы . Вычислить определители матриц A и В и матрицу F=4A−AB

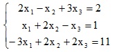
13. Решить систему алгебраических уравнений по правилу Крамера и методом Гаусса.


23. Заданы вершины треугольника: A(3; 1), B(3; −1), C(−2; 2). Построить треугольник. Найти а) векторы a=CA, B=CB и их модули; б) направляющие косинусы вектора ā; в) единичный вектор ā0 вектора ā; г) угол γ=∟ABC.

33. Заданы три вектора a(-1; 0; 3), b(3; -2; 1), c(1; 2; 3). Проверить перпендикулярность и параллельность векторов a и b. Найти: а) векторное произведение a×b и площадь параллелограмма, построенного на векторах a и b; б) смешанное произведение векторов a, b, c и объем параллелепипеда, построенного на векторах a, b и c.

Подробное решение. Оформлено в Microsoft Word 2003 (Задание решено с использованием редактора формул)

Если не нашли решение своего варианта, вы можете заказать его у нас.
Решение задачи добавил: Massimo, Среда, 06.05.2015

Просмотренные ранее товары

Давление газа 750 мм рт. ст температура 27 °С Определить концентрацию молекул и среднюю кинетическую энергию поступательного движения одной молекулы
Решенная задача по физике. Раздел: Молекулярная физика и термодинамика Условие задачи: Давление газа 750 мм рт. ст., температура 27 °С. Определить концентрацию молекул и среднюю кинетическую энергию поступательного движения одной молекулы. Подробное ре...
30 руб.

    Контрольная работа 1 Вариант 1 часть 1 Омский государственный университет путей сообщения Математика Омск 2016
    ВУЗ: Омский государственный университет путей сообщения Высшая математика. Часть 1: Учебно-методическое пособие для студентов заочного факультета., Омск 2016 Методичка по математике Омский государственный университет путей сообщения Скачать файл Решенн...
    100 руб.

      170. Укажите значения квантовых чисел n и l для внешних электронов в атомах элементов с порядковыми номерами 10, 15, 33.
      170. Укажите значения квантовых чисел n и l для внешних электронов в атомах элементов с порядковыми номерами 10, 15, 33. Подробное решение. Оформлено в Microsoft Word 2003. (Задание решено с использованием редактора формул)
      40 руб.

        Определить постоянную распада и число атомов радона распавшихся в течение суток если первоначальная масса радона 10 г Период полураспада 22286Rn равен 3,82 сут
        Решенная задача по физике. Раздел: Квантовая, ядерная физика Условие задачи: Определить постоянную распада и число атомов радона, распавшихся в течение суток, если первоначальная масса радона 10 г. Период полураспада 22286Rn равен 3,82 сут. Подробное р...
        30 руб.

          Определить энергию W электрического поля внутри равномерно заряженного эбонитового шара ε = 2,0 радиусом R = 8,0 см при объемной плотности заряда ρ = 5,0 нКл/м3
          Решенная задача по физике. Раздел: Электростатика. Электричество и постоянный ток. Условие задачи: Определить энергию W электрического поля внутри равномерно заряженного эбонитового шара (ε = 2,0) радиусом R = 8,0 см при объемной плотности заряда ρ = 5...
          30 руб.
            Корзина
            Ваша корзина пуста
            Валюта

            • 10 руб. = 0.100 $
            • 1 руб. = 5.000₸
            Поиск в магазине
            Группа Vk.com Рынок цифровых товаров plati.market, игры, игровые аккаунты, itunes, appstore, xbox, steam, ключи, пин-коды Сертификат Webmoney www.webmoney.ru

            Пользовательское соглашение | Договор оферты  ЭЙНФЕЛЬД ЛОЛИТА РИЧАРДОВНА ИНН 502205387028
            Решение контрольных работ по высшей математике
            Fizmathim.ru © 2013 - 2026


            Visa, MasterCard, Мир
            Рейтинг@Mail.ru