Контакты E-Mail: PMaxim2006@mail.ru Lolita.Einfeld@yandex.ru VK: id197545744 Instagram: @math_example

Решение задач и примеров

Информация
18.03.2024
Инструкция как оплачивать картой Каспи или Halyk для Казахстана
Прочитать инструкцию

18.03.2024
При добавлении товаров в корзину на сумму от 200 до 500 руб. и оформлении заказа активируется 5 % скидка на оплату, на сумму от 500 руб. активируется 10 % скидка на оплату

22.10.2022
Для Беларуси возможно оплачивать только банковской картой выпущенной в России или картой Белкарт МИР.
Также для Беларуси можно оплачивать Банковской картой Белкарт МИР или картой выпущенной в РФ, ЮMoney перейдя в раздел Решения заданий (digiseller) в меню сайта

23.08.2021
ЮMoney+Банковская карта. Принимаются виды оплат: Карты RU/РФ, ЮMoney-кошелек (Снижена комиссия)
Оплата картой Каспи или Halyk для Казахстана, пишите на почтовый ящик pmaxim2006@mail.ru

23.08.2021
В Digiseller можно найти все решения, что и на fizmathim.ru Перейти в Магазин на Digiseller
Можно воспользоваться формой поиска по первым 3-4 словам. Способы оплаты: Банковская карта (RU/РФ), ЮMoney, Webmoney, Unionpay, Alipay, Скины Steam

26.04.2019
- Все задачи оформлены в текстовом редакторе Microsoft Word, в PDF формате рассылаются решения отдельно.

- Ссылки действительны в течение 24 часов до первой попытки скачать (90 минут с момента первого скачивания).

05.02.2019
- Ссылка на скачивание задач, приходит на указанный вами почтовый ящик при оформлении заказа и его оплаты. Дополнительная рассылка оплаченных заказов на E-mail производится в течение нескольких минут/часов, тема писем имеет вид "Заказ xxxxx".
Форма входа
Главная Магазин готовых задач Высшая Математика Решенные методички

Контрольная работа 1 (5,15,25,35) часть 1 Омский государственный университет путей сообщения Математика


    100 руб.
  •        Единица: шт.
  •        Размер файла (.doc): 201.5Kb
  • Теги: математика, Контрольная работа 1, ОмГУПС, вариант5
    Чтобы получить решение задачи: 1) Нажмите "справа" на кнопку "Купить задачу"Купить задачу сейчас
    2) Выбираете один из удобных способов оплаты (ЮMoney+Банковская карта RU/РФ, ЮMoney-кошелек (Снижена комиссия) Webmoney WMZ-USD; WMB-белорусские рубли). Для Казахстана оплата переводом на карту Каспи или Halyk.
    3) Укажите E-Mail, на него придет ссылка на скачивание оплаченной задачи.
    4) Нажмите на «Оформить заказ», затем «Перейти к оплате»

    Перед покупкой задачи рекомендуем Вам ознакомиться с Примерами решений
    Бесплатные решенные примеры по высшей математике
    Пробная покупка "тестовой задачи" магазина за 3 руб. (проверка оплаты/доставки) и инструкция по оплате через Webmoney, ЮMoney+Банковская карта RU/РФ. Перейти на страницу
    Помимо решений в Word'е, также в e-mail-рассылку входят решения купленных задач в PDF формате для удобства просмотра на смартфонах и планшетах. Письма на e-mail приходят с темой "Заказ xxxxx"
Купить задачу
  • Описание

ВУЗ: Омский государственный университет путей сообщения
Высшая математика. Часть 1: Методические указания и контрольные задания для студентов заочного факультета. 2-е изд., Омск 2010
Методичка по математике Омский государственный университет путей сообщения Скачать файл
Решенные задания
5. Заданы матрицы . Вычислить определители матриц A и В и матрицу F=−3A+AB

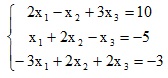
15. Решить систему алгебраических уравнений по правилу Крамера и методом Гаусса.


25. Заданы вершины треугольника: A(4; 6), B(−4; 0), C(−2; 2). Построить треугольник. Найти а) векторы a=CA, B=CB и их модули; б) направляющие косинусы вектора ā; в) единичный вектор ā0 вектора ā; г) угол γ=∟ABC.

35. Заданы три вектора a(2; 1; −2), b(−1; 2; 0), c(2; −1; 2). Проверить перпендикулярность и параллельность векторов a и b. Найти: а) векторное произведение a×b и площадь параллелограмма, построенного на векторах a и b; б) смешанное произведение векторов a, b, c и объем параллелепипеда, построенного на векторах a, b и c.

Подробное решение. Оформлено в Microsoft Word 2003 (Задание решено с использованием редактора формул)

Если не нашли решение своего варианта, вы можете заказать его у нас.
Решение задачи добавил: Massimo, Среда, 06.05.2015

Просмотренные ранее товары

Молярная изохорная теплоемкость аргона при температуре 4 К равна 0,174 Дж/моль∙К Определить значение молярной изохорной теплоемкости аргона при температуре 2 К
Решенная задача по физике. Раздел: Квантовая, ядерная физика Условие задачи: Молярная изохорная теплоемкость аргона при температуре 4 К равна 0,174 Дж/моль∙К. Определить значение молярной изохорной теплоемкости аргона при температуре 2 К. Подробное реш...
30 руб.

    Среди 25 студентов из которых 15 девушек разыгрываются четыре билета причем каждый может выиграть только один билет Какова вероятность того что среди обладателей билета окажутся четыре девушки
    Решенная задача по теории вероятностей и математической статистике. Условие задачи: 2505. Среди 25 студентов, из которых 15 девушек, разыгрываются четыре билета, причем каждый может выиграть только один билет. Какова вероятность того, что среди обладат...
    30 руб.

      В урне 10 шаров 6 белых и 4 черных Вынули 2 шара подряд Какова вероятность что а) Оба шара белые б) Оба шара одного цвета
      Решенная задача по теории вероятностей и математической статистике. Условие задачи: 3025. В урне 10 шаров: 6 белых и 4 черных. Вынули 2 шара подряд. Какова вероятность, что: а) Оба шара белые; б) Оба шара одного цвета? Подробное решение. Оформлено в Mi...
      30 руб.

        В урне 5 синих 4 красных и 3 зеленых шара Наудачу вынимается 3 шара Найти вероятность того что они все одного цвета
        Решенная задача по теории вероятностей и математической статистике. Условие задачи: 2929. В урне 5 синих, 4 красных и 3 зеленых шара. Наудачу вынимается 3 шара. Найти вероятность того, что они все одного цвета. Подробное решение. Оформлено в Microsoft ...
        30 руб.

          В урне 7 белых и 9 черных шаров одинакового веса и размера Какова вероятность что взятые наудачу 2 шара окажутся одинакового цвета
          Решенная задача по теории вероятностей и математической статистике. Условие задачи: 4473. В урне 7 белых и 9 черных шаров одинакового веса и размера. Какова вероятность, что взятые наудачу 2 шара окажутся одинакового цвета? Подробное решение. Оформлено...
          30 руб.
            Корзина
            Ваша корзина пуста
            Валюта

            • 10 руб. = 0.100 $
            • 1 руб. = 5.000₸
            Поиск в магазине
            Группа Vk.com Рынок цифровых товаров plati.market, игры, игровые аккаунты, itunes, appstore, xbox, steam, ключи, пин-коды Сертификат Webmoney www.webmoney.ru

            Пользовательское соглашение | Договор оферты  ЭЙНФЕЛЬД ЛОЛИТА РИЧАРДОВНА ИНН 502205387028
            Решение контрольных работ по высшей математике
            Fizmathim.ru © 2013 - 2026


            Visa, MasterCard, Мир
            Рейтинг@Mail.ru