Контакты E-Mail: PMaxim2006@mail.ru Lolita.Einfeld@yandex.ru VK: id197545744 Instagram: @math_example

Решение задач и примеров

Информация
18.03.2024
Инструкция как оплачивать картой Каспи или Halyk для Казахстана
Прочитать инструкцию

18.03.2024
При добавлении товаров в корзину на сумму от 200 до 500 руб. и оформлении заказа активируется 5 % скидка на оплату, на сумму от 500 руб. активируется 10 % скидка на оплату

22.10.2022
Для Беларуси возможно оплачивать только банковской картой выпущенной в России или картой Белкарт МИР.
Также для Беларуси можно оплачивать Банковской картой Белкарт МИР или картой выпущенной в РФ, ЮMoney перейдя в раздел Решения заданий (digiseller) в меню сайта

23.08.2021
ЮMoney+Банковская карта. Принимаются виды оплат: Карты RU/РФ, ЮMoney-кошелек (Снижена комиссия)
Оплата картой Каспи или Halyk для Казахстана, пишите на почтовый ящик pmaxim2006@mail.ru

23.08.2021
В Digiseller можно найти все решения, что и на fizmathim.ru Перейти в Магазин на Digiseller
Можно воспользоваться формой поиска по первым 3-4 словам. Способы оплаты: Банковская карта (RU/РФ), ЮMoney, Webmoney, Unionpay, Alipay, Скины Steam

26.04.2019
- Все задачи оформлены в текстовом редакторе Microsoft Word, в PDF формате рассылаются решения отдельно.

- Ссылки действительны в течение 24 часов до первой попытки скачать (90 минут с момента первого скачивания).

05.02.2019
- Ссылка на скачивание задач, приходит на указанный вами почтовый ящик при оформлении заказа и его оплаты. Дополнительная рассылка оплаченных заказов на E-mail производится в течение нескольких минут/часов, тема писем имеет вид "Заказ xxxxx".
Форма входа
Главная Магазин готовых задач Высшая Математика Решенные методички

Контрольная работа 1 (9,19,29,39) часть 1 Омский государственный университет путей сообщения Математика


    100 руб.
  •        Единица: шт.
  •        Размер файла (.doc): 209.5Kb
  • Теги: математика, Контрольная работа 1, вариант9, ОмГУПС
    Чтобы получить решение задачи: 1) Нажмите "справа" на кнопку "Купить задачу"Купить задачу сейчас
    2) Выбираете один из удобных способов оплаты (ЮMoney+Банковская карта RU/РФ, ЮMoney-кошелек (Снижена комиссия) Webmoney WMZ-USD; WMB-белорусские рубли). Для Казахстана оплата переводом на карту Каспи или Halyk.
    3) Укажите E-Mail, на него придет ссылка на скачивание оплаченной задачи.
    4) Нажмите на «Оформить заказ», затем «Перейти к оплате»

    Перед покупкой задачи рекомендуем Вам ознакомиться с Примерами решений
    Бесплатные решенные примеры по высшей математике
    Пробная покупка "тестовой задачи" магазина за 3 руб. (проверка оплаты/доставки) и инструкция по оплате через Webmoney, ЮMoney+Банковская карта RU/РФ. Перейти на страницу
    Помимо решений в Word'е, также в e-mail-рассылку входят решения купленных задач в PDF формате для удобства просмотра на смартфонах и планшетах. Письма на e-mail приходят с темой "Заказ xxxxx"
Купить задачу
  • Описание

ВУЗ: Омский государственный университет путей сообщения
Высшая математика. Часть 1: Методические указания и контрольные задания для студентов заочного факультета. 2-е изд., Омск 2010
Методичка по математике Омский государственный университет путей сообщения Скачать файл
Решенные задания
9. Заданы матрицы . Вычислить определители матриц A и В и матрицу F=−2A+AB

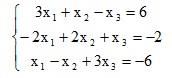
19. Решить систему алгебраических уравнений по правилу Крамера и методом Гаусса.


29. Заданы вершины треугольника: A(6; 6), B(3; −1), C(0; −2). Построить треугольник. Найти а) векторы a=CA, B=CB и их модули; б) направляющие косинусы вектора ā; в) единичный вектор ā0 вектора ā; г) угол γ=∟ABC.

39. Заданы три вектора a(1; 4; 0), b(−1; 1; 2), c(−2; 2; 3). Проверить перпендикулярность и параллельность векторов a и b. Найти: а) векторное произведение a×b и площадь параллелограмма, построенного на векторах a и b; б) смешанное произведение векторов a, b, c и объем параллелепипеда, построенного на векторах a, b и c.

Подробное решение. Оформлено в Microsoft Word 2003 (Задание решено с использованием редактора формул)

Если не нашли решение своего варианта, вы можете заказать его у нас.
Решение задачи добавил: Massimo, Среда, 06.05.2015

Просмотренные ранее товары

Какую максимальную кинетическую энергию имеют электроны вырванные из оксида бария при облучении светом частотой 1 ПГц
Решенная задача по физике. Раздел: Ядерная, квантовая физика Условие задачи: Какую максимальную кинетическую энергию имеют электроны, вырванные из оксида бария, при облучении светом частотой 1 ПГц? Подробное решение. Оформлено в Microsoft Word 2003. (З...
10 руб.

    Определить энергию связи Есв/А (в МэВ) приходящуюся на один нуклон для ядра 210 85 At
    Определить энергию связи Есв/А (в МэВ), приходящуюся на один нуклон, для ядра 210 85 At. Подробное решение. Оформлено в Microsoft Word 2003
    30 руб.

      Определить потенциал точки поля находящейся на расстоянии 10 см от центра заряженного шара радиусом 1 см если поверхностная плотность заряда в шаре равна 10-11 Кл/см2
      Определить потенциал точки поля, находящейся на расстоянии 10 см от центра заряженного шара радиусом 1 см, если поверхностная плотность заряда в шаре равна 10-11 Кл/см2. Подробное решение. Оформлено в Microsoft Word 2003
      20 руб.

        Радиоактивный изотоп претерпевает четыре 22588Ra - распада и два α распада Определите для конечного ядра 1 зарядовое число 2 массовое число
        Решенная задача по физике. Раздел: Квантовая, ядерная физика Условие задачи: Радиоактивный изотоп претерпевает четыре 22588Ra - распада и два α-распада. Определите для конечного ядра: 1) зарядовое число; 2) массовое число. Подробное решение. Оформлено ...
        20 руб.

          Вратарь парирует в среднем 0,3 всех одиннадцатиметровых ударов Какова вероятность того что он возьмет три из четырех мячей
          Решенная задача по теории вероятностей и математической статистике. Условие задачи: 1963. Вратарь парирует в среднем 0,3 всех одиннадцатиметровых ударов. Какова вероятность того, что он возьмет три из четырех мячей? Подробное решение. Оформлено в Micro...
          30 руб.
            Корзина
            Ваша корзина пуста
            Валюта

            • 1 руб. = 5.000₸
            • 10 руб. = 0.100 $
            Поиск в магазине
            Группа Vk.com Рынок цифровых товаров plati.market, игры, игровые аккаунты, itunes, appstore, xbox, steam, ключи, пин-коды Сертификат Webmoney www.webmoney.ru

            Пользовательское соглашение | Договор оферты  ЭЙНФЕЛЬД ЛОЛИТА РИЧАРДОВНА ИНН 502205387028
            Решение контрольных работ по высшей математике
            Fizmathim.ru © 2013 - 2026


            Visa, MasterCard, Мир
            Рейтинг@Mail.ru