Контакты E-Mail: PMaxim2006@mail.ru Lolita.Einfeld@yandex.ru VK: id197545744 Instagram: @math_example

Решение задач и примеров

Информация
18.03.2024
Инструкция как оплачивать картой Каспи или Halyk для Казахстана
Прочитать инструкцию

18.03.2024
При добавлении товаров в корзину на сумму от 200 до 500 руб. и оформлении заказа активируется 5 % скидка на оплату, на сумму от 500 руб. активируется 10 % скидка на оплату

22.10.2022
Для Беларуси возможно оплачивать только банковской картой выпущенной в России или картой Белкарт МИР.
Также для Беларуси можно оплачивать Банковской картой Белкарт МИР или картой выпущенной в РФ, ЮMoney перейдя в раздел Решения заданий (digiseller) в меню сайта

23.08.2021
ЮMoney+Банковская карта. Принимаются виды оплат: Карты RU/РФ, ЮMoney-кошелек (Снижена комиссия)
Оплата картой Каспи или Halyk для Казахстана, пишите на почтовый ящик pmaxim2006@mail.ru

23.08.2021
В Digiseller можно найти все решения, что и на fizmathim.ru Перейти в Магазин на Digiseller
Можно воспользоваться формой поиска по первым 3-4 словам. Способы оплаты: Банковская карта (RU/РФ), ЮMoney, Webmoney, Unionpay, Alipay, Скины Steam

26.04.2019
- Все задачи оформлены в текстовом редакторе Microsoft Word, в PDF формате рассылаются решения отдельно.

- Ссылки действительны в течение 24 часов до первой попытки скачать (90 минут с момента первого скачивания).

05.02.2019
- Ссылка на скачивание задач, приходит на указанный вами почтовый ящик при оформлении заказа и его оплаты. Дополнительная рассылка оплаченных заказов на E-mail производится в течение нескольких минут/часов, тема писем имеет вид "Заказ xxxxx".
Форма входа
Главная Магазин готовых задач Высшая Математика Решенные методички

Контрольная работа 3 (86,96,106,116,126) часть 1 Омский государственный университет путей сообщения Математика


    120 руб.
  •        Единица: шт.
  •        Размер файла (.doc): 296.5Kb
  • Теги: вариант6, математика, Контрольная работа 3, ОмГУПС
    Чтобы получить решение задачи: 1) Нажмите "справа" на кнопку "Купить задачу"Купить задачу сейчас
    2) Выбираете один из удобных способов оплаты (ЮMoney+Банковская карта RU/РФ, ЮMoney-кошелек (Снижена комиссия) Webmoney WMZ-USD; WMB-белорусские рубли). Для Казахстана оплата переводом на карту Каспи или Halyk.
    3) Укажите E-Mail, на него придет ссылка на скачивание оплаченной задачи.
    4) Нажмите на «Оформить заказ», затем «Перейти к оплате»

    Перед покупкой задачи рекомендуем Вам ознакомиться с Примерами решений
    Бесплатные решенные примеры по высшей математике
    Пробная покупка "тестовой задачи" магазина за 3 руб. (проверка оплаты/доставки) и инструкция по оплате через Webmoney, ЮMoney+Банковская карта RU/РФ. Перейти на страницу
    Помимо решений в Word'е, также в e-mail-рассылку входят решения купленных задач в PDF формате для удобства просмотра на смартфонах и планшетах. Письма на e-mail приходят с темой "Заказ xxxxx"
Купить задачу
  • Описание

ВУЗ: Омский государственный университет путей сообщения
Высшая математика. Часть 1: Методические указания и контрольные задания для студентов заочного факультета. 2-е изд., Омск 2010
Методичка по математике Омский государственный университет путей сообщения Скачать файл
Решенные задания из Контрольной работы N3, номера 86,96,106,116,126
86. Найти пределы, не пользуясь правилом Лопиталя.


96. Исследовать на непрерывность функцию и построить схему
y=f(x)=42/(x−3)

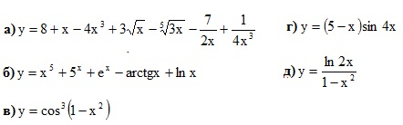
106. Найти производные функций.


116. Найти пределы задание 86 с использованием правила Лопиталя


126. Исследовать функцию и построить график
y=x4−2x2−3

Подробное решение. Оформлено в Microsoft Word 2003 (Задание решено с использованием редактора формул)

Если не нашли решение своего варианта, вы можете заказать его у нас.
Решение задачи добавил: Massimo, Воскресенье, 14.06.2015

Просмотренные ранее товары

Запишите возможные значения орбитального квантового числа l и магнитного квантового числа m для главного квантового числа n=4
Запишите возможные значения орбитального квантового числа l и магнитного квантового числа m для главного квантового числа n=4. Подробное решение. Оформлено в Microsoft Word 2003
30 руб.

    Параллельный пучок моноэнергетических электронов падает нормально на диафрагму в виде узкой прямоугольной щели ширина которой а = 0,06 мм Определить скорость этих электронов если известно что на
    Решенная задача по физике. Раздел: Квантовая, ядерная физика Условие задачи: Параллельный пучок моноэнергетических электронов падает нормально на диафрагму в виде узкой прямоугольной щели, ширина которой а = 0,06 мм. Определить скорость этих электронов...
    30 руб.

      Концентрация электронов проводимости в металле равна 2,5•1022 см–3 Определить среднюю скорость их упорядоченного движения при плотности тока 1 А/мм2
      Решенная задача по физике. Раздел: Электростатика. Электричество и постоянный ток. Условие задачи: Концентрация электронов проводимости в металле равна 2,5•1022 см–3. Определить среднюю скорость их упорядоченного движения при плотности тока 1 А/мм2. По...
      30 руб.

        Насос мощностью N используют для откачки нефти с глубины h Определить массу жидкости поднятой за время t если КПД насоса равен η
        Решенная задача по физике. Раздел: Кинематика, механика, динамика Условие задачи: Насос мощностью N используют для откачки нефти с глубины h. Определить массу жидкости, поднятой за время t, если КПД насоса равен η. Подробное решение. Оформлено в Micros...
        20 руб.

          Каково будет давление воздуха если 5 л его сжаты до объема 1,5 л при неизменной температуре Начальное давление воздуха 690 мм. рт. ст. Постройте по точкам график процесса в координатах Р, V
          Каково будет давление воздуха, если 5 л его сжаты до объема 1,5 л при неизменной температуре? Начальное давление воздуха 690 мм. рт. ст. Постройте по точкам график процесса в координатах Р, V.Подробное решение. Оформлено в Microsoft Word 2003
          30 руб.
            Корзина
            Ваша корзина пуста
            Валюта

            • 10 руб. = 0.100 $
            • 1 руб. = 5.000₸
            Поиск в магазине
            Группа Vk.com Рынок цифровых товаров plati.market, игры, игровые аккаунты, itunes, appstore, xbox, steam, ключи, пин-коды Сертификат Webmoney www.webmoney.ru

            Пользовательское соглашение | Договор оферты  ЭЙНФЕЛЬД ЛОЛИТА РИЧАРДОВНА ИНН 502205387028
            Решение контрольных работ по высшей математике
            Fizmathim.ru © 2013 - 2026


            Visa, MasterCard, Мир
            Рейтинг@Mail.ru