Контакты E-Mail: PMaxim2006@mail.ru Lolita.Einfeld@yandex.ru VK: id197545744 Instagram: @math_example

Решение задач и примеров

Информация
18.03.2024
Инструкция как оплачивать картой Каспи или Halyk для Казахстана
Прочитать инструкцию

18.03.2024
При добавлении товаров в корзину на сумму от 200 до 500 руб. и оформлении заказа активируется 5 % скидка на оплату, на сумму от 500 руб. активируется 10 % скидка на оплату

22.10.2022
Для Беларуси возможно оплачивать только банковской картой выпущенной в России или картой Белкарт МИР.
Также для Беларуси можно оплачивать Банковской картой Белкарт МИР или картой выпущенной в РФ, ЮMoney перейдя в раздел Решения заданий (digiseller) в меню сайта

23.08.2021
ЮMoney+Банковская карта. Принимаются виды оплат: Карты RU/РФ, ЮMoney-кошелек (Снижена комиссия)
Оплата картой Каспи или Halyk для Казахстана, пишите на почтовый ящик pmaxim2006@mail.ru

23.08.2021
В Digiseller можно найти все решения, что и на fizmathim.ru Перейти в Магазин на Digiseller
Можно воспользоваться формой поиска по первым 3-4 словам. Способы оплаты: Банковская карта (RU/РФ), ЮMoney, Webmoney, Unionpay, Alipay, Скины Steam

26.04.2019
- Все задачи оформлены в текстовом редакторе Microsoft Word, в PDF формате рассылаются решения отдельно.

- Ссылки действительны в течение 24 часов до первой попытки скачать (90 минут с момента первого скачивания).

05.02.2019
- Ссылка на скачивание задач, приходит на указанный вами почтовый ящик при оформлении заказа и его оплаты. Дополнительная рассылка оплаченных заказов на E-mail производится в течение нескольких минут/часов, тема писем имеет вид "Заказ xxxxx".
Форма входа
Главная Магазин готовых задач Высшая Математика Решенные методички

Контрольная работа 2 (50,60,70,80) часть 1 Омский государственный университет путей сообщения Математика


    100 руб.
  •        Единица: шт.
  •        Размер файла (.doc): 355.5Kb
  • Теги: вариант0, ОмГУПС, Контрольная работа 2, математика
    Чтобы получить решение задачи: 1) Нажмите "справа" на кнопку "Купить задачу"Купить задачу сейчас
    2) Выбираете один из удобных способов оплаты (ЮMoney+Банковская карта RU/РФ, ЮMoney-кошелек (Снижена комиссия) Webmoney WMZ-USD; WMB-белорусские рубли). Для Казахстана оплата переводом на карту Каспи или Halyk.
    3) Укажите E-Mail, на него придет ссылка на скачивание оплаченной задачи.
    4) Нажмите на «Оформить заказ», затем «Перейти к оплате»

    Перед покупкой задачи рекомендуем Вам ознакомиться с Примерами решений
    Бесплатные решенные примеры по высшей математике
    Пробная покупка "тестовой задачи" магазина за 3 руб. (проверка оплаты/доставки) и инструкция по оплате через Webmoney, ЮMoney+Банковская карта RU/РФ. Перейти на страницу
    Помимо решений в Word'е, также в e-mail-рассылку входят решения купленных задач в PDF формате для удобства просмотра на смартфонах и планшетах. Письма на e-mail приходят с темой "Заказ xxxxx"
Купить задачу
  • Описание

ВУЗ: Омский государственный университет путей сообщения
Высшая математика. Часть 1: Методические указания и контрольные задания для студентов заочного факультета. 2-е изд., Омск 2010
Методичка по математике Омский государственный университет путей сообщения Скачать файл
Решенные задания из Контрольной работы N2, номера 50,60,70,80

50. Заданы три точки A(6; 6), B(−6; 0), C(−2; −2). Найти: а) общее уравнение прямой АВ и ее угловой коэффициент; б) общие уравнения прямых, проходящих через точку С параллельно и перпендикулярно прямой АВ; в) точки пересечения прямых.

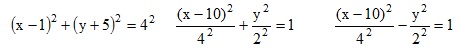
60. Построить линии, заданные уравнениями второго порядка.


70. Построить линии: а) заданную параметрическими уравнениями; б) заданную в полярных координатах.
а) x = 3(t−sint); y = 3(1−cost); б) ρ = 5

80. Заданы два комплексных числа: z1 = √3−√3i; z2 = 1+i. Построить z1. Найти модуль и аргумент числа z1, записать его тригонометрическую и показательную формы. Выполнить действия: 3z1 + z2; z1∙z2; z1/z2

Подробное решение. Оформлено в Microsoft Word 2003 (Задание решено с использованием редактора формул)

Если не нашли решение своего варианта, вы можете заказать его у нас.
Решение задачи добавил: Massimo, Четверг, 25.06.2015

Просмотренные ранее товары

Игральную кость бросают 12 раз Найти вероятность того что ровно 4 раза появится четная грань
Решенная задача по теории вероятностей и математической статистике. Условие задачи: 3160. Игральную кость бросают 12 раз. Найти вероятность того, что ровно 4 раза появится четная грань. Подробное решение. Оформлено в Microsoft Word 2003. (Задание решен...
30 руб.

    Два точечных заряда притягиваются в воде с силой 0,9 Н на расстоянии 3∙10−2 м Найти величину второго заряда если величина первого равна −3∙10−7 Кл
    Решенная задача по физике. Раздел: Электростатика. Электричество и постоянный ток. Условие задачи: Два точечных заряда притягиваются в воде с силой 0,9 Н на расстоянии 3∙10−2 м. Найти величину второго заряда, если величина первого равна −3∙10−7 Кл Подр...
    20 руб.

      138. В урне содержатся белые и черные шары в отношении 4:1 После извлечения шара регистрируется его цвет и шар возвращается в урну Чему равно наименьшее число извлечений n при котором с вероятность
      Решенное задание по теории вероятностей и математической статистике со сборника задач Гмурмана В.Е. Условие задачи: 138. В урне содержатся белые и черные шары в отношении 4:1. После извлечения шара регистрируется его цвет и шар возвращается в урну. Чем...
      30 руб.

        60% деталей изготовлено автоматом дающим 2% брака а 40% автоматом дающим 3% брака Наудачу взятая деталь оказалась бракованной Каким автоматом вероятнее всего изготовлена эта деталь
        Решенная задача по теории вероятностей и математической статистике. Условие задачи: 3851. 60% деталей изготовлено автоматом, дающим 2% брака, а 40% автоматом, дающим 3% брака. Наудачу взятая деталь оказалась бракованной. Каким автоматом вероятнее всего...
        30 руб.

          Контрольная работа 11 Вариант 12 часть 4 Омский государственный университет путей сообщения Математика, Омск 2016
          ВУЗ: Омский государственный университет путей сообщения Высшая математика. Часть 4: Учебно-методическое пособие для студентов заочного факультета., Омск 2016 Пособие содержит варианты контрольных заданий по трем разделам дисциплины «Математика»: «Случа...
          100 руб.
            Корзина
            Ваша корзина пуста
            Валюта

            • 10 руб. = 0.100 $
            • 1 руб. = 5.000₸
            Поиск в магазине
            Группа Vk.com Рынок цифровых товаров plati.market, игры, игровые аккаунты, itunes, appstore, xbox, steam, ключи, пин-коды Сертификат Webmoney www.webmoney.ru

            Пользовательское соглашение | Договор оферты  ЭЙНФЕЛЬД ЛОЛИТА РИЧАРДОВНА ИНН 502205387028
            Решение контрольных работ по высшей математике
            Fizmathim.ru © 2013 - 2026


            Visa, MasterCard, Мир
            Рейтинг@Mail.ru