Контакты E-Mail: PMaxim2006@mail.ru Lolita.Einfeld@yandex.ru VK: id197545744 Instagram: @math_example

Решение задач и примеров

Информация
18.03.2024
Инструкция как оплачивать картой Каспи или Halyk для Казахстана
Прочитать инструкцию

18.03.2024
При добавлении товаров в корзину на сумму от 200 до 500 руб. и оформлении заказа активируется 5 % скидка на оплату, на сумму от 500 руб. активируется 10 % скидка на оплату

22.10.2022
Для Беларуси возможно оплачивать только банковской картой выпущенной в России или картой Белкарт МИР.
Также для Беларуси можно оплачивать Банковской картой Белкарт МИР или картой выпущенной в РФ, ЮMoney перейдя в раздел Решения заданий (digiseller) в меню сайта

23.08.2021
ЮMoney+Банковская карта. Принимаются виды оплат: Карты RU/РФ, ЮMoney-кошелек (Снижена комиссия)
Оплата картой Каспи или Halyk для Казахстана, пишите на почтовый ящик pmaxim2006@mail.ru

23.08.2021
В Digiseller можно найти все решения, что и на fizmathim.ru Перейти в Магазин на Digiseller
Можно воспользоваться формой поиска по первым 3-4 словам. Способы оплаты: Банковская карта (RU/РФ), ЮMoney, Webmoney, Unionpay, Alipay, Скины Steam

26.04.2019
- Все задачи оформлены в текстовом редакторе Microsoft Word, в PDF формате рассылаются решения отдельно.

- Ссылки действительны в течение 24 часов до первой попытки скачать (90 минут с момента первого скачивания).

05.02.2019
- Ссылка на скачивание задач, приходит на указанный вами почтовый ящик при оформлении заказа и его оплаты. Дополнительная рассылка оплаченных заказов на E-mail производится в течение нескольких минут/часов, тема писем имеет вид "Заказ xxxxx".
Форма входа
Главная Магазин готовых задач Высшая Математика Решенные методички

Контрольная работа Вариант 8 Нижегородский институт технологий и управления (филиал МГУТУ) Математика


    250 руб.
  •        Единица: шт.
  •        Размер файла (.doc): 514.5Kb
  • Теги: МГУТУ, вариант8, контрольная, математика
    Чтобы получить решение задачи: 1) Нажмите "справа" на кнопку "Купить задачу"Купить задачу сейчас
    2) Выбираете один из удобных способов оплаты (ЮMoney+Банковская карта RU/РФ, ЮMoney-кошелек (Снижена комиссия) Webmoney WMZ-USD; WMB-белорусские рубли). Для Казахстана оплата переводом на карту Каспи или Halyk.
    3) Укажите E-Mail, на него придет ссылка на скачивание оплаченной задачи.
    4) Нажмите на «Оформить заказ», затем «Перейти к оплате»

    Перед покупкой задачи рекомендуем Вам ознакомиться с Примерами решений
    Бесплатные решенные примеры по высшей математике
    Пробная покупка "тестовой задачи" магазина за 3 руб. (проверка оплаты/доставки) и инструкция по оплате через Webmoney, ЮMoney+Банковская карта RU/РФ. Перейти на страницу
    Помимо решений в Word'е, также в e-mail-рассылку входят решения купленных задач в PDF формате для удобства просмотра на смартфонах и планшетах. Письма на e-mail приходят с темой "Заказ xxxxx"
Купить задачу
  • Описание

ВУЗ: Нижегородский институт технологий и управления (филиал ФГБОУ ВПО "МГУТУ имени К.Г. Разумовского", Нижний Новгород 2014
Высшая математика. Контрольная работа по дисциплине "Математика"
Методичка по математике Нижегородский институт технологий и управления Скачать файл
Решенные задания из Контрольной работы, Вариант 8

Задание 1.
1. Найти произведение матриц AB = C , если A, B даны:


Задание 2.
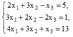
2. Дана система линейных уравнений. Требуется показать, что система совместна, и найти ее решение тремя способами: а) по формулам Крамера; б) методом Гаусса; в) с помощью обратной матрицы.


Задание 3.
3. Даны вершины треугольника A(0;1), B(6;4), C(3;5).
Найти:
а) уравнения всех трех его сторон;
б) систему неравенств, определяющих множество точек, принадлежащих
треугольнику, включая его стороны;
в) внутренний угол A треугольника в градусах и минутах;
г) длину высоты, проведенной из вершины A;
д) площадь треугольника.

Задание 4.
4. Найти пределы функций:


Задание 5.
5. Найти производные следующих функций:


Задание 6.
6. Исследовать функцию и построить ее график:
y = (9−x2)/x

Задание 7.
7. Найти неопределенные интегралы:


Задание 8.
8. Вычислить площадь фигуры, ограниченной линиями:
y = 9 – x2, y = 0

Задание 9.
9. Найти общее решение дифференциального уравнения и его частное решение, удовлетворяющее начальным условиям:
xy' + y = x + 1, y0 = 3, x0 = 1

Задание 10.
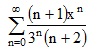
10. Найти область сходимости степенного ряда:


Задание 11.
11. Среди 15 изделий 3 бракованные. Наудачу отбирают 5 изделий. Найти вероятность того, что среди них будет по крайней мере одно бракованное.

Подробное решение. Оформлено в Microsoft Word 2003 (Задание решено с использованием редактора формул)

Если не нашли решение своего варианта, вы можете заказать его у нас.
Решение задачи добавил: Massimo, Четверг, 30.07.2015

Просмотренные ранее товары

26. Определите плотность по водороду смеси гелия и кислорода объемами 300 дм3 и 100 дм3 (н.у.) соответственно.
26. Определите плотность по водороду смеси гелия и кислорода объемами 300 дм3 и 100 дм3 (н.у.) соответственно. Подробное решение. Оформлено в Microsoft Word 2003
40 руб.

    Определите полную энергию материальной точки массой m колеблющейся по закону x=Acos(ω0t + φ)
    Решенная задача по физике. Раздел: Колебания и волны Условие задачи: Определите полную энергию материальной точки массой m, колеблющейся по закону x=Acos(ω0t + φ). Подробное решение. Оформлено в Microsoft Word 2003. (Задание решено с использованием ред...
    30 руб.

      По электронной формуле внешнего энергетического уровня атома определите, какой это элемент: ...4s24p4.
      По электронной формуле внешнего энергетического уровня атома определите, какой это элемент: ...4s24p4. Подробное решение. Оформлено в Microsoft Word 2003. (Задание решено с использованием редактора формул)
      30 руб.

        Игральная кость бросается 29 раз Каково наиболее вероятное количество испытаний в которых выпадает менее 4-х очков
        Решенная задача по теории вероятностей и математической статистике. Условие задачи: 3187. Игральная кость бросается 29 раз. Каково наиболее вероятное количество испытаний, в которых выпадает менее 4-х очков? Подробное решение. Оформлено в Microsoft Wor...
        20 руб.

          23. Масса газа объемом 0,001 м3 (н.у.) равна 0,0021 кг. Определите мольную массу газа и его плотность по воздуху.
          23. Масса газа объемом 0,001 м3 (н.у.) равна 0,0021 кг. Определите мольную массу газа и его плотность по воздуху. Подробное решение. Оформлено в Microsoft Word 2003
          40 руб.
            Корзина
            Ваша корзина пуста
            Валюта

            • 10 руб. = 0.100 $
            • 1 руб. = 5.000₸
            Поиск в магазине
            Группа Vk.com Рынок цифровых товаров plati.market, игры, игровые аккаунты, itunes, appstore, xbox, steam, ключи, пин-коды Сертификат Webmoney www.webmoney.ru

            Пользовательское соглашение | Договор оферты  ЭЙНФЕЛЬД ЛОЛИТА РИЧАРДОВНА ИНН 502205387028
            Решение контрольных работ по высшей математике
            Fizmathim.ru © 2013 - 2026


            Visa, MasterCard, Мир
            Рейтинг@Mail.ru