Контакты E-Mail: PMaxim2006@mail.ru Lolita.Einfeld@yandex.ru VK: id197545744 Instagram: @math_example

Решение задач и примеров

Информация
18.03.2024
Инструкция как оплачивать картой Каспи или Halyk для Казахстана
Прочитать инструкцию

18.03.2024
При добавлении товаров в корзину на сумму от 200 до 500 руб. и оформлении заказа активируется 5 % скидка на оплату, на сумму от 500 руб. активируется 10 % скидка на оплату

22.10.2022
Для Беларуси возможно оплачивать только банковской картой выпущенной в России или картой Белкарт МИР.
Также для Беларуси можно оплачивать Банковской картой Белкарт МИР или картой выпущенной в РФ, ЮMoney перейдя в раздел Решения заданий (digiseller) в меню сайта

23.08.2021
ЮMoney+Банковская карта. Принимаются виды оплат: Карты RU/РФ, ЮMoney-кошелек (Снижена комиссия)
Оплата картой Каспи или Halyk для Казахстана, пишите на почтовый ящик pmaxim2006@mail.ru

23.08.2021
В Digiseller можно найти все решения, что и на fizmathim.ru Перейти в Магазин на Digiseller
Можно воспользоваться формой поиска по первым 3-4 словам. Способы оплаты: Банковская карта (RU/РФ), ЮMoney, Webmoney, Unionpay, Alipay, Скины Steam

26.04.2019
- Все задачи оформлены в текстовом редакторе Microsoft Word, в PDF формате рассылаются решения отдельно.

- Ссылки действительны в течение 24 часов до первой попытки скачать (90 минут с момента первого скачивания).

05.02.2019
- Ссылка на скачивание задач, приходит на указанный вами почтовый ящик при оформлении заказа и его оплаты. Дополнительная рассылка оплаченных заказов на E-mail производится в течение нескольких минут/часов, тема писем имеет вид "Заказ xxxxx".
Форма входа
Главная Магазин готовых задач Высшая Математика Решенные методички

Контрольная работа линейная алгебра индивидуальное задание N2 Вариант 4 Томский политехнический университет Математика


    90 руб.
  •        Единица: шт.
  •        Размер файла (.doc): 272.5Kb
  • Теги: контрольная, линейная алгебра, ТПУ, вариант4, математика
    Чтобы получить решение задачи: 1) Нажмите "справа" на кнопку "Купить задачу"Купить задачу сейчас
    2) Выбираете один из удобных способов оплаты (ЮMoney+Банковская карта RU/РФ, ЮMoney-кошелек (Снижена комиссия) Webmoney WMZ-USD; WMB-белорусские рубли). Для Казахстана оплата переводом на карту Каспи или Halyk.
    3) Укажите E-Mail, на него придет ссылка на скачивание оплаченной задачи.
    4) Нажмите на «Оформить заказ», затем «Перейти к оплате»

    Перед покупкой задачи рекомендуем Вам ознакомиться с Примерами решений
    Бесплатные решенные примеры по высшей математике
    Пробная покупка "тестовой задачи" магазина за 3 руб. (проверка оплаты/доставки) и инструкция по оплате через Webmoney, ЮMoney+Банковская карта RU/РФ. Перейти на страницу
    Помимо решений в Word'е, также в e-mail-рассылку входят решения купленных задач в PDF формате для удобства просмотра на смартфонах и планшетах. Письма на e-mail приходят с темой "Заказ xxxxx"
Купить задачу
  • Описание

ВУЗ: Томский политехнический университет (ТПУ)
Высшая математика. Линейная алгебра: метод. указ. и индивид. задания для студентов ИДО, обучающихся по направлению 080100 «Экономика», Томск, 2012
Методичка по математике Томский политехнический университет Скачать файл
Решенные задания из Контрольной работы, вариант 4

Варианты индивидуального задания № 2
«Элементы линейного программирования»

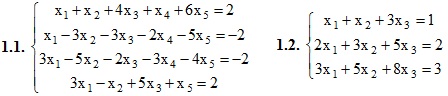
1. Решите системы линейных уравнений методом Гаусса:


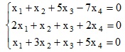
2. Найдите общее решение системы линейных однородных уравнений и запишите её фундаментальную систему решений:


3. Относительно некоторого базиса заданы векторы:
e1 = (1, −3, 4), e2= (2, 1, −5), e3= (−3, 5, 1), x = (−4, 1, 10),
а) Докажите, что векторы e1,e2,e3 можно принять за новый базис;
б) Найдите координаты вектора x в базисе {e1,e2,e3}

4. Определите ранг системы векторов:
a1 = (1, −1, 1, 1, −2) a3 = (2, 1, −1, −1, 1)
a2 = (4, 5, −5, −5, 7) a4 = (3, 3, −3, −3, 4)
и укажите какой-нибудь базис этой системы.

5. Найдите собственные значения и собственные векторы матрицы:


6. Найдите наибольшее и наименьшее значения линейной функции F=5x+y при ограничениях:


Подробное решение. Оформлено в Microsoft Word 2003 (Задание решено с использованием редактора формул)

Если не нашли решение своего варианта, вы можете заказать его у нас.
Решение задачи добавил: Massimo, Воскресенье, 23.08.2015

Просмотренные ранее товары

Определите момент инерции материальной точки масса которой 50 г относительно оси отстоящей от точки на расстоянии 20 см
Решенная задача по физике. Раздел: Кинематика, механика, динамика Условие задачи: Определите момент инерции материальной точки, масса которой 50 г, относительно оси, отстоящей от точки на расстоянии 20 см. Подробное решение. Оформлено в Microsoft Word ...
10 руб.

    В урне 10 белых и 8 черных шаров Наудачу отобраны 5 шаров Найти вероятность того что среди них окажется ровно 2 белых шара
    Решенная задача по теории вероятностей и математической статистике. Условие задачи: 2570. В урне 10 белых и 8 черных шаров. Наудачу отобраны 5 шаров. Найти вероятность того, что среди них окажется ровно 2 белых шара. Подробное решение. Оформлено в Micr...
    30 руб.

      Плоский конденсатор площадь каждой пластины которого S = 400 см2 заполнен двумя слоями диэлектрика Граница между ними параллельна обкладкам Первый слой – парафин ε1 = 2 толщины d1 = 0,2 см
      Решенная задача по физике. Раздел: Электростатика. Электричество и постоянный ток. Условие задачи: Плоский конденсатор, площадь каждой пластины которого S = 400 см2, заполнен двумя слоями диэлектрика. Граница между ними параллельна обкладкам. Первый сл...
      30 руб.

        Определить работу растяжения двух соединенных последовательно пружин жесткостью k1 = 400 Н/м и k2 = 250 Н/м если первая пружина при этом растянулась на Dl = 2 см
        Определить работу растяжения двух соединенных последовательно пружин жесткостью k1 = 400 Н/м и k2 = 250 Н/м, если первая пружина при этом растянулась на Dl = 2 см. Подробное решение. Оформлено в Microsoft Word 2003
        30 руб.

          В классе учится 16 человек 6 мальчиков и 10 девочек Перед началом уроков классный руководитель случайным образом выбирает двух учащихся класса для дежурства в кабинете Какова вероятность того что
          Решенная задача по теории вероятностей и математической статистике. Условие задачи: 2809. В классе учится 16 человек: 6 мальчиков и 10 девочек. Перед началом уроков классный руководитель случайным образом выбирает двух учащихся класса для дежурства в к...
          30 руб.
            Корзина
            Ваша корзина пуста
            Валюта

            • 1 руб. = 5.000₸
            • 10 руб. = 0.100 $
            Поиск в магазине
            Группа Vk.com Рынок цифровых товаров plati.market, игры, игровые аккаунты, itunes, appstore, xbox, steam, ключи, пин-коды Сертификат Webmoney www.webmoney.ru

            Пользовательское соглашение | Договор оферты  ЭЙНФЕЛЬД ЛОЛИТА РИЧАРДОВНА ИНН 502205387028
            Решение контрольных работ по высшей математике
            Fizmathim.ru © 2013 - 2026


            Visa, MasterCard, Мир
            Рейтинг@Mail.ru