Контакты E-Mail: PMaxim2006@mail.ru Lolita.Einfeld@yandex.ru VK: id197545744 Instagram: @math_example

Решение задач и примеров

Информация
18.03.2024
Инструкция как оплачивать картой Каспи или Halyk для Казахстана
Прочитать инструкцию

18.03.2024
При добавлении товаров в корзину на сумму от 200 до 500 руб. и оформлении заказа активируется 5 % скидка на оплату, на сумму от 500 руб. активируется 10 % скидка на оплату

22.10.2022
Для Беларуси возможно оплачивать только банковской картой выпущенной в России или картой Белкарт МИР.
Также для Беларуси можно оплачивать Банковской картой Белкарт МИР или картой выпущенной в РФ, ЮMoney перейдя в раздел Решения заданий (digiseller) в меню сайта

23.08.2021
ЮMoney+Банковская карта. Принимаются виды оплат: Карты RU/РФ, ЮMoney-кошелек (Снижена комиссия)
Оплата картой Каспи или Halyk для Казахстана, пишите на почтовый ящик pmaxim2006@mail.ru

23.08.2021
В Digiseller можно найти все решения, что и на fizmathim.ru Перейти в Магазин на Digiseller
Можно воспользоваться формой поиска по первым 3-4 словам. Способы оплаты: Банковская карта (RU/РФ), ЮMoney, Webmoney, Unionpay, Alipay, Скины Steam

26.04.2019
- Все задачи оформлены в текстовом редакторе Microsoft Word, в PDF формате рассылаются решения отдельно.

- Ссылки действительны в течение 24 часов до первой попытки скачать (90 минут с момента первого скачивания).

05.02.2019
- Ссылка на скачивание задач, приходит на указанный вами почтовый ящик при оформлении заказа и его оплаты. Дополнительная рассылка оплаченных заказов на E-mail производится в течение нескольких минут/часов, тема писем имеет вид "Заказ xxxxx".
Форма входа
Главная Магазин готовых задач Высшая Математика Решенные методички

Индивидуальные домашние задания №1 Вариант 5 Павлодарский государственный университет Математика


    280 руб.
  •        Единица: шт.
  •        Размер файла (.doc): 570.5Kb
  • Теги: вариант5, контрольная, ИДЗ№1, ПГУ, математика
    Чтобы получить решение задачи: 1) Нажмите "справа" на кнопку "Купить задачу"Купить задачу сейчас
    2) Выбираете один из удобных способов оплаты (ЮMoney+Банковская карта RU/РФ, ЮMoney-кошелек (Снижена комиссия) Webmoney WMZ-USD; WMB-белорусские рубли). Для Казахстана оплата переводом на карту Каспи или Halyk.
    3) Укажите E-Mail, на него придет ссылка на скачивание оплаченной задачи.
    4) Нажмите на «Оформить заказ», затем «Перейти к оплате»

    Перед покупкой задачи рекомендуем Вам ознакомиться с Примерами решений
    Бесплатные решенные примеры по высшей математике
    Пробная покупка "тестовой задачи" магазина за 3 руб. (проверка оплаты/доставки) и инструкция по оплате через Webmoney, ЮMoney+Банковская карта RU/РФ. Перейти на страницу
    Помимо решений в Word'е, также в e-mail-рассылку входят решения купленных задач в PDF формате для удобства просмотра на смартфонах и планшетах. Письма на e-mail приходят с темой "Заказ xxxxx"
Купить задачу
  • Описание

ВУЗ: Павлодарский государственный университет (ПГУ)
Высшая математика. Сборник домашних заданий по высшей математике. Павлодар, 2002
Методичка по математике Павлодарский государственный университет Скачать файл
Решенные задания из Контрольной работы, вариант 5

ИДЗ 1.1
Вычислить определитель

а) получив предварительно нули в строке или столбике;
б) разложив его по элементам 1-й строки;
в) разложив его по элементам 2-ого столбца.

ИДЗ 1.2
Даны матрицы:

Найти: а) AB; б) A-1; в) A-1•A

ИДЗ 1.3
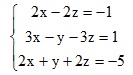
Решить систему:

а) по формулам Крамера;
б) матричным методом;
в) методом Гаусса.

ИДЗ 1.4
Даны векторы a=(5; 7; −2), b=(0; −4; 3), c=(−5; 2; 4). Найти: а) abc; б) [ab]; в) p, чтобы a┴(pb + c); г) проекцию вектора b на вектор а; д) q, чтобы a, b и (b + qc); были компланарны

ИДЗ 1.5
Вершины пирамиды находятся в точках А(5; 7; −2), B(0; −4; 3), C(−5; 2; 4) и D(5; 8; 3)
Найти: а) площадь грани ABC; б) объем пирамиды ABCD; в) уравнение грани ABC; г) уравнение высоты из вершины D на ABC; д) синус угла между прямой AD и плоскостью ABC

ИДЗ 1.6
Вершины треугольника находятся в точках А(5; 7), В(0; −4), С(−5; 2).
Найти: а) уравнение высоты АН; б) уравнение медианы BM; в) длину высоты из вершины C; г) точку пересечения прямых АН и BM.

ИДЗ 1.7
Решить следующие задачи.
5. Записать уравнение прямой, проходящей через точку А(3, 1) перпендикулярно к прямой BC, если B(2, 5), C(1, 0).

ИДЗ 1.8
Составить уравнение окружности с центром в точке А(5; 7), проходящей через точку B(0;−4)

ИДЗ 1.9
Построить кривую, заданную уравнением в полярной системе координат.
5. ρ = 1 – cos2φ

ИДЗ 1.10
Построить кривую, заданную параметрическим уравнением (0≤t≤2π)


Подробное решение. Оформлено в Microsoft Word 2003 (Задание решено с использованием редактора формул)

Если не нашли решение своего варианта, вы можете заказать его у нас.
Решение задачи добавил: Massimo, Воскресенье, 30.08.2015
Корзина
Ваша корзина пуста
Валюта

  • 10 руб. = 0.100 $
  • 1 руб. = 5.000₸
Поиск в магазине
Группа Vk.com Рынок цифровых товаров plati.market, игры, игровые аккаунты, itunes, appstore, xbox, steam, ключи, пин-коды Сертификат Webmoney www.webmoney.ru

Пользовательское соглашение | Договор оферты  ЭЙНФЕЛЬД ЛОЛИТА РИЧАРДОВНА ИНН 502205387028
Решение контрольных работ по высшей математике
Fizmathim.ru © 2013 - 2025


Visa, MasterCard, Мир
Рейтинг@Mail.ru