Контакты E-Mail: PMaxim2006@mail.ru Lolita.Einfeld@yandex.ru VK: id197545744 Instagram: @math_example

Решение задач и примеров

Информация
18.03.2024
Инструкция как оплачивать картой Каспи или Halyk для Казахстана
Прочитать инструкцию

18.03.2024
При добавлении товаров в корзину на сумму от 200 до 500 руб. и оформлении заказа активируется 5 % скидка на оплату, на сумму от 500 руб. активируется 10 % скидка на оплату

22.10.2022
Для Беларуси возможно оплачивать только банковской картой выпущенной в России или картой Белкарт МИР.
Также для Беларуси можно оплачивать Банковской картой Белкарт МИР или картой выпущенной в РФ, ЮMoney перейдя в раздел Решения заданий (digiseller) в меню сайта

23.08.2021
ЮMoney+Банковская карта. Принимаются виды оплат: Карты RU/РФ, ЮMoney-кошелек (Снижена комиссия)
Оплата картой Каспи или Halyk для Казахстана, пишите на почтовый ящик pmaxim2006@mail.ru

23.08.2021
В Digiseller можно найти все решения, что и на fizmathim.ru Перейти в Магазин на Digiseller
Можно воспользоваться формой поиска по первым 3-4 словам. Способы оплаты: Банковская карта (RU/РФ), ЮMoney, Webmoney, Unionpay, Alipay, Скины Steam

26.04.2019
- Все задачи оформлены в текстовом редакторе Microsoft Word, в PDF формате рассылаются решения отдельно.

- Ссылки действительны в течение 24 часов до первой попытки скачать (90 минут с момента первого скачивания).

05.02.2019
- Ссылка на скачивание задач, приходит на указанный вами почтовый ящик при оформлении заказа и его оплаты. Дополнительная рассылка оплаченных заказов на E-mail производится в течение нескольких минут/часов, тема писем имеет вид "Заказ xxxxx".
Форма входа
Главная Магазин готовых задач Высшая Математика Решенные методички

Индивидуальные домашние задания №3 Вариант 9 Павлодарский государственный университет Математика


    160 руб.
  •        Единица: шт.
  •        Размер файла (.doc): 273.0Kb
  • Теги: контрольная, ИДЗ№3, ПГУ, вариант9, математика
    Чтобы получить решение задачи: 1) Нажмите "справа" на кнопку "Купить задачу"Купить задачу сейчас
    2) Выбираете один из удобных способов оплаты (ЮMoney+Банковская карта RU/РФ, ЮMoney-кошелек (Снижена комиссия) Webmoney WMZ-USD; WMB-белорусские рубли). Для Казахстана оплата переводом на карту Каспи или Halyk.
    3) Укажите E-Mail, на него придет ссылка на скачивание оплаченной задачи.
    4) Нажмите на «Оформить заказ», затем «Перейти к оплате»

    Перед покупкой задачи рекомендуем Вам ознакомиться с Примерами решений
    Бесплатные решенные примеры по высшей математике
    Пробная покупка "тестовой задачи" магазина за 3 руб. (проверка оплаты/доставки) и инструкция по оплате через Webmoney, ЮMoney+Банковская карта RU/РФ. Перейти на страницу
    Помимо решений в Word'е, также в e-mail-рассылку входят решения купленных задач в PDF формате для удобства просмотра на смартфонах и планшетах. Письма на e-mail приходят с темой "Заказ xxxxx"
Купить задачу
  • Описание

ВУЗ: Павлодарский государственный университет (ПГУ)
Высшая математика. Сборник домашних заданий по высшей математике. Павлодар, 2002
Методичка по математике Павлодарский государственный университет Скачать файл
Решенные задания из Контрольной работы, вариант 9

ИДЗ 3.1,
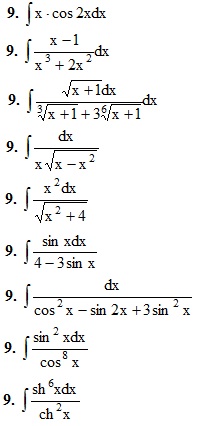
Найти неопределенные интегралы, выполнить проверку


ИДЗ 3.2, ИДЗ 3.3, ИДЗ 3.4, ИДЗ 3.5, ИДЗ 3.6, ИДЗ 3.7, ИДЗ 3.8, ИДЗ 3.9, ИДЗ 3.10
Найти неопределенные интегралы


Подробное решение. Оформлено в Microsoft Word 2003 (Задание решено с использованием редактора формул)

Если не нашли решение своего варианта, вы можете заказать его у нас.
Решение задачи добавил: Massimo, Воскресенье, 30.08.2015

Просмотренные ранее товары

Как на слух отличить работает ли электродрель вхолостую или сверлит отверстие
Решенная задача по физике. Раздел: Колебания и волны Условие задачи: Как на слух отличить, работает ли электродрель вхолостую или сверлит отверстие? Подробное решение. Оформлено в Microsoft Word 2003. (Задание решено с использованием редактора формул)
5 руб.

    Чайник с 2 кг воды нагрели от 10 °С до кипения На сколько изменилась масса воды
    Решенная задача по физике. Раздел: Ядерная, квантовая физика Условие задачи: Чайник с 2 кг воды нагрели от 10 °С до кипения. На сколько изменилась масса воды? Подробное решение. Оформлено в Microsoft Word 2003. (Задание решено с использованием редактор...
    15 руб.

      В группе 12 девушек и 8 юношей по жребию выбирают для дежурства 3 человека Найти вероятность что будут выбраны 2 юноши и 1 девушка
      Решенная задача по теории вероятностей и математической статистике. Условие задачи: 2491. В группе 12 девушек и 8 юношей по жребию выбирают для дежурства 3 человека. Найти вероятность, что будут выбраны 2 юноши и 1 девушка. Подробное решение. Оформлено...
      30 руб.

        Баллон вместимостью V=20 л содержит смесь водорода и азота при температуре 290 К и давлении 1 МПа Определите массу водорода если масса смеси равна 150 г
        Решенная задача по физике. Раздел: Молекулярная физика и термодинамика Условие задачи: Баллон вместимостью V=20 л содержит смесь водорода и азота при температуре 290 К и давлении 1 МПа. Определите массу водорода, если масса смеси равна 150 г. Подробное...
        30 руб.

          Плотность газа ρ при давлении р = 96 кПа и температуре t = 0°С равна 1,35 г/л Найти молярную массу μ газа
          Решенная задача по физике. Раздел: Молекулярная физика и термодинамика Условие задачи: Плотность газа ρ при давлении р = 96 кПа и температуре t = 0°С равна 1,35 г/л. Найти молярную массу μ газа. Подробное решение. Оформлено в Microsoft Word 2003. (Зада...
          30 руб.
            Корзина
            Ваша корзина пуста
            Валюта

            • 10 руб. = 0.100 $
            • 1 руб. = 5.000₸
            Поиск в магазине
            Группа Vk.com Рынок цифровых товаров plati.market, игры, игровые аккаунты, itunes, appstore, xbox, steam, ключи, пин-коды Сертификат Webmoney www.webmoney.ru

            Пользовательское соглашение | Договор оферты  ЭЙНФЕЛЬД ЛОЛИТА РИЧАРДОВНА ИНН 502205387028
            Решение контрольных работ по высшей математике
            Fizmathim.ru © 2013 - 2026


            Visa, MasterCard, Мир
            Рейтинг@Mail.ru