Контакты E-Mail: PMaxim2006@mail.ru Lolita.Einfeld@yandex.ru VK: id197545744 Instagram: @math_example

Решение задач и примеров

Информация
18.03.2024
Инструкция как оплачивать картой Каспи или Halyk для Казахстана
Прочитать инструкцию

18.03.2024
При добавлении товаров в корзину на сумму от 200 до 500 руб. и оформлении заказа активируется 5 % скидка на оплату, на сумму от 500 руб. активируется 10 % скидка на оплату

22.10.2022
Для Беларуси возможно оплачивать только банковской картой выпущенной в России или картой Белкарт МИР.
Также для Беларуси можно оплачивать Банковской картой Белкарт МИР или картой выпущенной в РФ, ЮMoney перейдя в раздел Решения заданий (digiseller) в меню сайта

23.08.2021
ЮMoney+Банковская карта. Принимаются виды оплат: Карты RU/РФ, ЮMoney-кошелек (Снижена комиссия)
Оплата картой Каспи или Halyk для Казахстана, пишите на почтовый ящик pmaxim2006@mail.ru

23.08.2021
В Digiseller можно найти все решения, что и на fizmathim.ru Перейти в Магазин на Digiseller
Можно воспользоваться формой поиска по первым 3-4 словам. Способы оплаты: Банковская карта (RU/РФ), ЮMoney, Webmoney, Unionpay, Alipay, Скины Steam

26.04.2019
- Все задачи оформлены в текстовом редакторе Microsoft Word, в PDF формате рассылаются решения отдельно.

- Ссылки действительны в течение 24 часов до первой попытки скачать (90 минут с момента первого скачивания).

05.02.2019
- Ссылка на скачивание задач, приходит на указанный вами почтовый ящик при оформлении заказа и его оплаты. Дополнительная рассылка оплаченных заказов на E-mail производится в течение нескольких минут/часов, тема писем имеет вид "Заказ xxxxx".
Форма входа
Главная Магазин готовых задач Высшая Математика Решенные методички

Контрольная работа курс 1 Вариант 2 Федеральная служба исполнения наказаний Воронежский институт Математика


    100 руб.
  •        Единица: шт.
  •        Размер файла (.doc): 127.0Kb
  • Теги: Вариант2, контрольная, ВИ ФСИН, курс 1, математика
    Чтобы получить решение задачи: 1) Нажмите "справа" на кнопку "Купить задачу"Купить задачу сейчас
    2) Выбираете один из удобных способов оплаты (ЮMoney+Банковская карта RU/РФ, ЮMoney-кошелек (Снижена комиссия) Webmoney WMZ-USD; WMB-белорусские рубли). Для Казахстана оплата переводом на карту Каспи или Halyk.
    3) Укажите E-Mail, на него придет ссылка на скачивание оплаченной задачи.
    4) Нажмите на «Оформить заказ», затем «Перейти к оплате»

    Перед покупкой задачи рекомендуем Вам ознакомиться с Примерами решений
    Бесплатные решенные примеры по высшей математике
    Пробная покупка "тестовой задачи" магазина за 3 руб. (проверка оплаты/доставки) и инструкция по оплате через Webmoney, ЮMoney+Банковская карта RU/РФ. Перейти на страницу
    Помимо решений в Word'е, также в e-mail-рассылку входят решения купленных задач в PDF формате для удобства просмотра на смартфонах и планшетах. Письма на e-mail приходят с темой "Заказ xxxxx"
Купить задачу
  • Описание

ВУЗ: Федеральная служба исполнения наказаний Воронежский институт (Воронежский институт ФСИН России)
Высшая математика. Для слушателей 1 курса (для подготовки инженеров по заочной форме обучения на базе среднего (полного) общего образования), Воронеж 2010
Методичка по математике Воронежский институт ФСИН России Скачать файл
Решенные задания из Контрольной работы, вариант 2

1. Методом понижения порядка вычислить определитель, используя разложение определителя:
- по второму столбцу


2. Решить матричное уравнение.


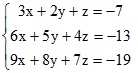
3. Решить систему линейных алгебраических уравнений двумя способами:
- по формулам Крамера;
- с помощью обратной матрицы.


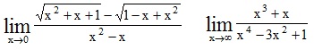
4. Найти предел функции.


5. Найти значения производных следующих функций.
y = ln(7x2 + 4)

Подробное решение. Оформлено в Microsoft Word 2003 (Задание решено с использованием редактора формул)

Если не нашли решение своего варианта, вы можете заказать его у нас.
Решение задачи добавил: Massimo, Суббота, 05.09.2015

Просмотренные ранее товары

Магнитный поток Ф в соленоиде содержащем N = 1000 витков равен 0,2 мВб Определить энергию W магнитного поля соленоида если сила тока протекающего по виткам соленоида I = 1 А Сердечник отсутству
Решенная задача по физике. Раздел: Магнетизм. Электромагнетизм Условие задачи: Магнитный поток Ф в соленоиде, содержащем N = 1000 витков равен 0,2 мВб. Определить, энергию W магнитного поля соленоида, если сила тока, протекающего по виткам соленоида, I...
20 руб.

    Заказ N0052 Математика контрольные задания (решение индивидуальных заданий по математике)
    Решенная на заказ контрольная работа по математике Вариант 3. 1. Вычислить определитель 2. Найти матрицу C−1, Обратную к матрице C = ABT + 3E 3. Найти значение многочлена f(x) = x2 – 2x + 3 от матрицы 4. Решить матричное уравнение 5. Решить систему а) ...
    320 руб.

      Контрольная работа 10 Вариант 13 часть 4 Омский государственный университет путей сообщения Математика, Омск 2016
      ВУЗ: Омский государственный университет путей сообщения Высшая математика. Часть 4: Учебно-методическое пособие для студентов заочного факультета., Омск 2016 Пособие содержит варианты контрольных заданий по трем разделам дисциплины «Математика»: «Случа...
      100 руб.

        Определить период полураспада радиоактивного стронция в случае если за один год на каждую тысячу атомов распадается в среднем 24,75 атомов
        Решенная задача по физике. Раздел: Квантовая, ядерная физика Условие задачи: Определить период полураспада радиоактивного стронция, в случае если за один год на каждую тысячу атомов распадается в среднем 24,75 атомов. Подробное решение. Оформлено в Mic...
        30 руб.

          По тонкому кольцу радиусом R=10 см равномерно распределен заряд с линейной плотностью τ=50 нКл/м Кольцо вращается относительно оси перпендикулярной плоскости кольца и проходящей через его центр
          По тонкому кольцу радиусом R=10 см равномерно распределен заряд с линейной плотностью t=50 нКл/м. Кольцо вращается относительно оси, перпендикулярной плоскости кольца и проходящей через его центр, с частотой n =10 с-1. Определить магнитный момент pm, о...
          30 руб.
            Корзина
            Ваша корзина пуста
            Валюта

            • 1 руб. = 5.000₸
            • 10 руб. = 0.100 $
            Поиск в магазине
            Группа Vk.com Рынок цифровых товаров plati.market, игры, игровые аккаунты, itunes, appstore, xbox, steam, ключи, пин-коды Сертификат Webmoney www.webmoney.ru

            Пользовательское соглашение | Договор оферты  ЭЙНФЕЛЬД ЛОЛИТА РИЧАРДОВНА ИНН 502205387028
            Решение контрольных работ по высшей математике
            Fizmathim.ru © 2013 - 2026


            Visa, MasterCard, Мир
            Рейтинг@Mail.ru