Контакты E-Mail: PMaxim2006@mail.ru Lolita.Einfeld@yandex.ru VK: id197545744 Instagram: @math_example

Решение задач и примеров

Информация
18.03.2024
Инструкция как оплачивать картой Каспи или Halyk для Казахстана
Прочитать инструкцию

18.03.2024
При добавлении товаров в корзину на сумму от 200 до 500 руб. и оформлении заказа активируется 5 % скидка на оплату, на сумму от 500 руб. активируется 10 % скидка на оплату

22.10.2022
Для Беларуси возможно оплачивать только банковской картой выпущенной в России или картой Белкарт МИР.
Также для Беларуси можно оплачивать Банковской картой Белкарт МИР или картой выпущенной в РФ, ЮMoney перейдя в раздел Решения заданий (digiseller) в меню сайта

23.08.2021
ЮMoney+Банковская карта. Принимаются виды оплат: Карты RU/РФ, ЮMoney-кошелек (Снижена комиссия)
Оплата картой Каспи или Halyk для Казахстана, пишите на почтовый ящик pmaxim2006@mail.ru

23.08.2021
В Digiseller можно найти все решения, что и на fizmathim.ru Перейти в Магазин на Digiseller
Можно воспользоваться формой поиска по первым 3-4 словам. Способы оплаты: Банковская карта (RU/РФ), ЮMoney, Webmoney, Unionpay, Alipay, Скины Steam

26.04.2019
- Все задачи оформлены в текстовом редакторе Microsoft Word, в PDF формате рассылаются решения отдельно.

- Ссылки действительны в течение 24 часов до первой попытки скачать (90 минут с момента первого скачивания).

05.02.2019
- Ссылка на скачивание задач, приходит на указанный вами почтовый ящик при оформлении заказа и его оплаты. Дополнительная рассылка оплаченных заказов на E-mail производится в течение нескольких минут/часов, тема писем имеет вид "Заказ xxxxx".
Форма входа
Главная Магазин готовых задач Высшая Математика Решенные методички

Контрольная работа Вариант 6 Челябинский юридический колледж (ЧЮК) Математика


    220 руб.
  •        Единица: шт.
  •        Размер файла (.doc): 329.0Kb
  • Теги: ЧЮК, контрольная, математика, вариант6
    Чтобы получить решение задачи: 1) Нажмите "справа" на кнопку "Купить задачу"Купить задачу сейчас
    2) Выбираете один из удобных способов оплаты (ЮMoney+Банковская карта RU/РФ, ЮMoney-кошелек (Снижена комиссия) Webmoney WMZ-USD; WMB-белорусские рубли). Для Казахстана оплата переводом на карту Каспи или Halyk.
    3) Укажите E-Mail, на него придет ссылка на скачивание оплаченной задачи.
    4) Нажмите на «Оформить заказ», затем «Перейти к оплате»

    Перед покупкой задачи рекомендуем Вам ознакомиться с Примерами решений
    Бесплатные решенные примеры по высшей математике
    Пробная покупка "тестовой задачи" магазина за 3 руб. (проверка оплаты/доставки) и инструкция по оплате через Webmoney, ЮMoney+Банковская карта RU/РФ. Перейти на страницу
    Помимо решений в Word'е, также в e-mail-рассылку входят решения купленных задач в PDF формате для удобства просмотра на смартфонах и планшетах. Письма на e-mail приходят с темой "Заказ xxxxx"
Купить задачу
  • Описание

ВУЗ: Челябинский юридический колледж (ЧЮК), Челябинск 2014
Высшая математика. для студентов заочной формы обучения с применением дистанционных образовательных технологий специальности 38.02.01 «Экономика и бухгалтерский учет (по отраслям)»
Методичка по математике Челябинский юридический колледж Скачать файл
Решенные задания из Контрольной работы, вариант 6

Задание № 1
Вычислить пределы:


Задание № 2
Продифференцировать функцию:


Задание № 3
Исследовать функцию и построить ее график:


Задание № 4
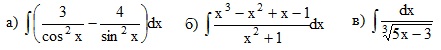
Вычислить неопределенный интеграл:


Задание № 5
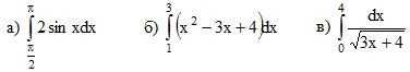
Вычислить определенный интеграл:


Задание № 6
Вычислить площадь криволинейной трапеции, ограниченной графиками функций:
а) y = x; x = −2
б) y = 1 + x3
в) y = x2; y = 1/x2; x = 2

Подробное решение. Оформлено в Microsoft Word 2003 (Задание решено с использованием редактора формул)

Если не нашли решение своего варианта, вы можете заказать его у нас.
Решение задачи добавил: Massimo, Суббота, 10.10.2015

Просмотренные ранее товары

123. Монета брошена 2N раз (N велико!) Найти вероятность того что «герб» выпадет ровно N раз
Решенное задание по теории вероятностей и математической статистике со сборника задач Гмурмана В.Е. Условие задачи: 123. Монета брошена 2N раз (N велико!). Найти вероятность того, что «герб» выпадет ровно N раз. Подробное решение. Оформлено в Microsoft...
30 руб.

    Определите во сколько раз изменится электроемкость проводящего шара если вначале он был помещен в трансформаторное масло (ε1 = 2,2) а затем − в глицерин (ε2 = 56)
    Решенная задача по физике. Раздел: Электростатика. Электричество и постоянный ток. Условие задачи: Определите, во сколько раз изменится электроемкость проводящего шара, если вначале он был помещен в трансформаторное масло (ε1 = 2,2), а затем − в глицер...
    20 руб.

      В случайном эксперименте симметричную монету бросают пять раз Найдите вероятность того что решка выпадет ровно 4 раза
      Решенная задача по теории вероятностей и математической статистике. Условие задачи: 3544. В случайном эксперименте симметричную монету бросают пять раз. Найдите вероятность того, что решка выпадет ровно 4 раза. Подробное решение. Оформлено в Microsoft ...
      30 руб.

        Активность некоторого изотопа за 10 суток уменьшилась на 50% Период полураспада этого изотопа
        Решенная задача по физике. Раздел: Квантовая, ядерная физика Условие задачи: Активность некоторого изотопа за 10 суток уменьшилась на 50%. Период полураспада этого изотопа Подробное решение. Оформлено в Microsoft Word 2003. (Задание решено с использова...
        30 руб.

          Определить плотность ρ кальция (решетка гранецентрированная кубическая) если расстояние d между ближайшими атомами равно 0,393 нм
          Решенная задача по физике. Раздел: Квантовая, ядерная физика Условие задачи: Определить плотность ρ кальция (решетка гранецентрированная кубическая), если расстояние d между ближайшими атомами равно 0,393 нм. Подробное решение. Оформлено в Microsoft Wo...
          30 руб.
            Корзина
            Ваша корзина пуста
            Валюта

            • 1 руб. = 5.000₸
            • 10 руб. = 0.100 $
            Поиск в магазине
            Группа Vk.com Рынок цифровых товаров plati.market, игры, игровые аккаунты, itunes, appstore, xbox, steam, ключи, пин-коды Сертификат Webmoney www.webmoney.ru

            Пользовательское соглашение | Договор оферты  ЭЙНФЕЛЬД ЛОЛИТА РИЧАРДОВНА ИНН 502205387028
            Решение контрольных работ по высшей математике
            Fizmathim.ru © 2013 - 2026


            Visa, MasterCard, Мир
            Рейтинг@Mail.ru