Контакты E-Mail: PMaxim2006@mail.ru Lolita.Einfeld@yandex.ru VK: id197545744 Instagram: @math_example

Решение задач и примеров

Информация
18.03.2024
Инструкция как оплачивать картой Каспи или Halyk для Казахстана
Прочитать инструкцию

18.03.2024
При добавлении товаров в корзину на сумму от 200 до 500 руб. и оформлении заказа активируется 5 % скидка на оплату, на сумму от 500 руб. активируется 10 % скидка на оплату

22.10.2022
Для Беларуси возможно оплачивать только банковской картой выпущенной в России или картой Белкарт МИР.
Также для Беларуси можно оплачивать Банковской картой Белкарт МИР или картой выпущенной в РФ, ЮMoney перейдя в раздел Решения заданий (digiseller) в меню сайта

23.08.2021
ЮMoney+Банковская карта. Принимаются виды оплат: Карты RU/РФ, ЮMoney-кошелек (Снижена комиссия)
Оплата картой Каспи или Halyk для Казахстана, пишите на почтовый ящик pmaxim2006@mail.ru

23.08.2021
В Digiseller можно найти все решения, что и на fizmathim.ru Перейти в Магазин на Digiseller
Можно воспользоваться формой поиска по первым 3-4 словам. Способы оплаты: Банковская карта (RU/РФ), ЮMoney, Webmoney, Unionpay, Alipay, Скины Steam

26.04.2019
- Все задачи оформлены в текстовом редакторе Microsoft Word, в PDF формате рассылаются решения отдельно.

- Ссылки действительны в течение 24 часов до первой попытки скачать (90 минут с момента первого скачивания).

05.02.2019
- Ссылка на скачивание задач, приходит на указанный вами почтовый ящик при оформлении заказа и его оплаты. Дополнительная рассылка оплаченных заказов на E-mail производится в течение нескольких минут/часов, тема писем имеет вид "Заказ xxxxx".
Форма входа
Главная Магазин готовых задач Высшая Математика Решенные методички

Контрольная работа Вариант 9 Челябинский юридический колледж (ЧЮК) Математика


    220 руб.
  •        Единица: шт.
  •        Размер файла (.doc): 383.0Kb
  • Теги: ЧЮК, контрольная, вариант9, математика
    Чтобы получить решение задачи: 1) Нажмите "справа" на кнопку "Купить задачу"Купить задачу сейчас
    2) Выбираете один из удобных способов оплаты (ЮMoney+Банковская карта RU/РФ, ЮMoney-кошелек (Снижена комиссия) Webmoney WMZ-USD; WMB-белорусские рубли). Для Казахстана оплата переводом на карту Каспи или Halyk.
    3) Укажите E-Mail, на него придет ссылка на скачивание оплаченной задачи.
    4) Нажмите на «Оформить заказ», затем «Перейти к оплате»

    Перед покупкой задачи рекомендуем Вам ознакомиться с Примерами решений
    Бесплатные решенные примеры по высшей математике
    Пробная покупка "тестовой задачи" магазина за 3 руб. (проверка оплаты/доставки) и инструкция по оплате через Webmoney, ЮMoney+Банковская карта RU/РФ. Перейти на страницу
    Помимо решений в Word'е, также в e-mail-рассылку входят решения купленных задач в PDF формате для удобства просмотра на смартфонах и планшетах. Письма на e-mail приходят с темой "Заказ xxxxx"
Купить задачу
  • Описание

ВУЗ: Челябинский юридический колледж (ЧЮК), Челябинск 2014
Высшая математика. для студентов заочной формы обучения с применением дистанционных образовательных технологий специальности 38.02.01 «Экономика и бухгалтерский учет (по отраслям)»
Методичка по математике Челябинский юридический колледж Скачать файл
Решенные задания из Контрольной работы, вариант 9

Задание № 1
Вычислить пределы:


Задание № 2
Продифференцировать функцию:


Задание № 3
Исследовать функцию и построить ее график:


Задание № 4
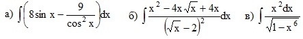
Вычислить неопределенный интеграл:


Задание № 5
Вычислить определенный интеграл:


Задание № 6
Вычислить площадь криволинейной трапеции, ограниченной графиками функций:
а) y = 3x; x = −1
б) y = −x2 + 9
в) y = cosx; x = −π/2; x = 0

Подробное решение. Оформлено в Microsoft Word 2003 (Задание решено с использованием редактора формул)

Если не нашли решение своего варианта, вы можете заказать его у нас.
Решение задачи добавил: Massimo, Суббота, 10.10.2015

Просмотренные ранее товары

Лед массой 2 кг, находящийся при температуре –13 °С, нагрели до 0 °С и расплавили. Определить изменение энтропии.
Решенная задача по физике. Раздел: Молекулярная физика и термодинамика Условие задачи: Лед массой 2 кг, находящийся при температуре –13 °С, нагрели до 0 °С и расплавили. Определить изменение энтропии. Подробное решение. Оформлено в Microsoft Word 2003....
30 руб.

    128. Массовая доля кальция в хлориде составляет 36,1 %. Вычислите эквивалентную массу кальция, если эквивалентная масса хлора равна 35,5 г/моль.
    128. Массовая доля кальция в хлориде составляет 36,1 %. Вычислите эквивалентную массу кальция, если эквивалентная масса хлора равна 35,5 г/моль. Подробное решение. Оформлено в Microsoft Word 2003
    40 руб.

      В группе 19 студентов среди которых 11 девушек Куратор случайным образом выбирает 6 студентов Найти вероятность того что среди них будет 4 девушки
      Решенная задача по теории вероятностей и математической статистике. Условие задачи: 2969. В группе 19 студентов, среди которых 11 девушек. Куратор случайным образом выбирает 6 студентов. Найти вероятность того, что среди них будет 4 девушки. Подробное ...
      30 руб.

        Заказ N0028 Математика Математический анализ Числовые ряды Найти область сходимости
        Решенное на заказ задание по математике Вариант 17 I. Найти область сходимости степенного ряда II. Разложить функцию в ряд по степеням x III. Вычислить приближенное значение. IV. Найти три первых, отличных от нуля члена разложения в степенной ряд функц...
        80 руб.

          В однородном магнитном поле перпендикулярно его силовым линиям расположен прямолинейный медный проводник диаметром d = 3,2 мм по которому течёт ток I = 7 А Плотность меди r = 8900 кг/м3
          В однородном магнитном поле перпендикулярно его силовым линиям расположен прямолинейный медный проводник диаметром d = 3,2 мм, по которому течёт ток I = 7 А. Плотность меди r = 8900 кг/м3. Определить индукцию В магнитного поля, если вес проводника урав...
          30 руб.
            Корзина
            Ваша корзина пуста
            Валюта

            • 10 руб. = 0.100 $
            • 1 руб. = 5.000₸
            Поиск в магазине
            Группа Vk.com Рынок цифровых товаров plati.market, игры, игровые аккаунты, itunes, appstore, xbox, steam, ключи, пин-коды Сертификат Webmoney www.webmoney.ru

            Пользовательское соглашение | Договор оферты  ЭЙНФЕЛЬД ЛОЛИТА РИЧАРДОВНА ИНН 502205387028
            Решение контрольных работ по высшей математике
            Fizmathim.ru © 2013 - 2026


            Visa, MasterCard, Мир
            Рейтинг@Mail.ru