Контакты E-Mail: PMaxim2006@mail.ru Lolita.Einfeld@yandex.ru VK: id197545744 Instagram: @math_example

Решение задач и примеров

Информация
18.03.2024
Инструкция как оплачивать картой Каспи или Halyk для Казахстана
Прочитать инструкцию

18.03.2024
При добавлении товаров в корзину на сумму от 200 до 500 руб. и оформлении заказа активируется 5 % скидка на оплату, на сумму от 500 руб. активируется 10 % скидка на оплату

22.10.2022
Для Беларуси возможно оплачивать только банковской картой выпущенной в России или картой Белкарт МИР.
Также для Беларуси можно оплачивать Банковской картой Белкарт МИР или картой выпущенной в РФ, ЮMoney перейдя в раздел Решения заданий (digiseller) в меню сайта

23.08.2021
ЮMoney+Банковская карта. Принимаются виды оплат: Карты RU/РФ, ЮMoney-кошелек (Снижена комиссия)
Оплата картой Каспи или Halyk для Казахстана, пишите на почтовый ящик pmaxim2006@mail.ru

23.08.2021
В Digiseller можно найти все решения, что и на fizmathim.ru Перейти в Магазин на Digiseller
Можно воспользоваться формой поиска по первым 3-4 словам. Способы оплаты: Банковская карта (RU/РФ), ЮMoney, Webmoney, Unionpay, Alipay, Скины Steam

26.04.2019
- Все задачи оформлены в текстовом редакторе Microsoft Word, в PDF формате рассылаются решения отдельно.

- Ссылки действительны в течение 24 часов до первой попытки скачать (90 минут с момента первого скачивания).

05.02.2019
- Ссылка на скачивание задач, приходит на указанный вами почтовый ящик при оформлении заказа и его оплаты. Дополнительная рассылка оплаченных заказов на E-mail производится в течение нескольких минут/часов, тема писем имеет вид "Заказ xxxxx".
Форма входа
Главная Магазин готовых задач Высшая Математика Решенные методички

Контрольная работа Вариант 3 Тюменский государственный нефтегазовый университет Тюмень 2013-2014 Математика


    160 руб.
  •        Единица: шт.
  •        Размер файла (.doc): 267.5Kb
  • Теги: контрольная, вариант3, ТюмГНГУ, математика
    Чтобы получить решение задачи: 1) Нажмите "справа" на кнопку "Купить задачу"Купить задачу сейчас
    2) Выбираете один из удобных способов оплаты (ЮMoney+Банковская карта RU/РФ, ЮMoney-кошелек (Снижена комиссия) Webmoney WMZ-USD; WMB-белорусские рубли). Для Казахстана оплата переводом на карту Каспи или Halyk.
    3) Укажите E-Mail, на него придет ссылка на скачивание оплаченной задачи.
    4) Нажмите на «Оформить заказ», затем «Перейти к оплате»

    Перед покупкой задачи рекомендуем Вам ознакомиться с Примерами решений
    Бесплатные решенные примеры по высшей математике
    Пробная покупка "тестовой задачи" магазина за 3 руб. (проверка оплаты/доставки) и инструкция по оплате через Webmoney, ЮMoney+Банковская карта RU/РФ. Перейти на страницу
    Помимо решений в Word'е, также в e-mail-рассылку входят решения купленных задач в PDF формате для удобства просмотра на смартфонах и планшетах. Письма на e-mail приходят с темой "Заказ xxxxx"
Купить задачу
  • Описание

ВУЗ: Тюменский государственный нефтегазовый университет (ТюмГНГУ), Тюмень 2013-2014
Высшая математика. Методические указания для студентов всех специальностей заочной формы обучения
Методичка по математике Тюменский государственный нефтегазовый университет Скачать файл
Решенные задания из Контрольной работы, Вариант 3

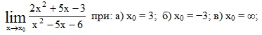
1. Найти пределы функций:


2. Найти производные следующих функций:


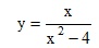
3. Исследовать функцию и построить ее график:


4. Найти неопределенные интегралы:


5. Выполнить чертеж и найти площадь фигуры, ограниченной линиями:
x – y + 3 = 0; x + y – 1 = 0; y = 0

6. Вычислить определитель матрицы


7. Используя классическое определение теории вероятностей решить задачу:
7.3. Шесть шаров случайным образом раскладывают в три ящика. Найти вероятность того, что во всех ящиках окажется разное число шаров, при условии, что все ящики не пустые.

Подробное решение. Оформлено в Microsoft Word 2003 (Задание решено с использованием редактора формул)

Если не нашли решение своего варианта, вы можете заказать его у нас.
Решение задачи добавил: Massimo, Среда, 14.10.2015

Просмотренные ранее товары

Период полураспада радиоактивного изотопа хрома равен 28 суток Через какое время распадется 75% атомов
Решенная задача по физике. Раздел: Квантовая, ядерная физика Условие задачи: Период полураспада радиоактивного изотопа хрома равен 28 суток. Через какое время распадется 75% атомов? Подробное решение. Оформлено в Microsoft Word 2003. (Задание решено с ...
30 руб.

    Определить отношение импульса р электрона с кинетической энергией Т = 1,02 МэВ к комптоновскому импульсу m0с электрона
    Решенная задача по физике. Раздел: Элементы теории относительности Условие задачи: Определить отношение импульса р электрона с кинетической энергией Т = 1,02 МэВ к комптоновскому импульсу m0с электрона. Подробное решение. Оформлено в Microsoft Word 200...
    30 руб.

      67. Найдите формулу вещества, имеющего состав в массовых долях процента: углерода - 93,75; водорода - 6,25. Плотность этого вещества по воздуху равна 4,41.
      67. Найдите формулу вещества, имеющего состав в массовых долях процента: углерода - 93,75; водорода - 6,25. Плотность этого вещества по воздуху равна 4,41. Подробное решение. Оформлено в Microsoft Word 2003. (Задание решено с использованием редактора ф...
      40 руб.

        Активность а препарата некоторого изотопа за время t = 5 суток уменьшилась на 30% Определить период полураспада этого препарата
        Активность а препарата некоторого изотопа за время t = 5 суток уменьшилась на 30%. Определить период полураспада этого препарата. Подробное решение. Оформлено в Microsoft Word 2003. (Задание решено с использованием редактора формул)
        30 руб.

          Газ совершающий цикл Карно отдал теплоприемнику 67% теплоты полученной от теплоотдатчика Определить температуру T2 теплоприемника если температура теплоотдатчика T1 = 430 К
          Газ, совершающий цикл Карно, отдал теплоприемнику 67% теплоты, полученной от теплоотдатчика. Определить температуру T2 теплоприемника, если температура теплоотдатчика T1 = 430 К. Подробное решение. Оформлено в Microsoft Word 2003
          30 руб.
            Корзина
            Ваша корзина пуста
            Валюта

            • 10 руб. = 0.100 $
            • 1 руб. = 5.000₸
            Поиск в магазине
            Группа Vk.com Рынок цифровых товаров plati.market, игры, игровые аккаунты, itunes, appstore, xbox, steam, ключи, пин-коды Сертификат Webmoney www.webmoney.ru

            Пользовательское соглашение | Договор оферты  ЭЙНФЕЛЬД ЛОЛИТА РИЧАРДОВНА ИНН 502205387028
            Решение контрольных работ по высшей математике
            Fizmathim.ru © 2013 - 2026


            Visa, MasterCard, Мир
            Рейтинг@Mail.ru