Контакты E-Mail: PMaxim2006@mail.ru Lolita.Einfeld@yandex.ru VK: id197545744 Instagram: @math_example

Решение задач и примеров

Информация
18.03.2024
Инструкция как оплачивать картой Каспи или Halyk для Казахстана
Прочитать инструкцию

18.03.2024
При добавлении товаров в корзину на сумму от 200 до 500 руб. и оформлении заказа активируется 5 % скидка на оплату, на сумму от 500 руб. активируется 10 % скидка на оплату

22.10.2022
Для Беларуси возможно оплачивать только банковской картой выпущенной в России или картой Белкарт МИР.
Также для Беларуси можно оплачивать Банковской картой Белкарт МИР или картой выпущенной в РФ, ЮMoney перейдя в раздел Решения заданий (digiseller) в меню сайта

23.08.2021
ЮMoney+Банковская карта. Принимаются виды оплат: Карты RU/РФ, ЮMoney-кошелек (Снижена комиссия)
Оплата картой Каспи или Halyk для Казахстана, пишите на почтовый ящик pmaxim2006@mail.ru

23.08.2021
В Digiseller можно найти все решения, что и на fizmathim.ru Перейти в Магазин на Digiseller
Можно воспользоваться формой поиска по первым 3-4 словам. Способы оплаты: Банковская карта (RU/РФ), ЮMoney, Webmoney, Unionpay, Alipay, Скины Steam

26.04.2019
- Все задачи оформлены в текстовом редакторе Microsoft Word, в PDF формате рассылаются решения отдельно.

- Ссылки действительны в течение 24 часов до первой попытки скачать (90 минут с момента первого скачивания).

05.02.2019
- Ссылка на скачивание задач, приходит на указанный вами почтовый ящик при оформлении заказа и его оплаты. Дополнительная рассылка оплаченных заказов на E-mail производится в течение нескольких минут/часов, тема писем имеет вид "Заказ xxxxx".
Форма входа
Главная Магазин готовых задач Высшая Математика Решенные методички

Контрольная работа N1 l3, m3, n6 Дальневосточный государственный университет путей сообщения (ДВГУПС), Хабаровск 2012 Математика


    100 руб.
  •        Единица: шт.
  •        Размер файла (.doc): 200.0Kb
  • Теги: контрольная, двгупс, КР1, математика
    Чтобы получить решение задачи: 1) Нажмите "справа" на кнопку "Купить задачу"Купить задачу сейчас
    2) Выбираете один из удобных способов оплаты (ЮMoney+Банковская карта RU/РФ, ЮMoney-кошелек (Снижена комиссия) Webmoney WMZ-USD; WMB-белорусские рубли). Для Казахстана оплата переводом на карту Каспи или Halyk.
    3) Укажите E-Mail, на него придет ссылка на скачивание оплаченной задачи.
    4) Нажмите на «Оформить заказ», затем «Перейти к оплате»

    Перед покупкой задачи рекомендуем Вам ознакомиться с Примерами решений
    Бесплатные решенные примеры по высшей математике
    Пробная покупка "тестовой задачи" магазина за 3 руб. (проверка оплаты/доставки) и инструкция по оплате через Webmoney, ЮMoney+Банковская карта RU/РФ. Перейти на страницу
    Помимо решений в Word'е, также в e-mail-рассылку входят решения купленных задач в PDF формате для удобства просмотра на смартфонах и планшетах. Письма на e-mail приходят с темой "Заказ xxxxx"
Купить задачу
  • Описание

ВУЗ: Дальневосточный государственный университет путей сообщения (ДВГУПС), Хабаровск 2012
Высшая математика. Методическое пособие по выполнению контрольных работ № 1, 2, 3, 4 для студентов ИИФО специальностей «Эксплуатация железных дорог», «Подвижной состав железной дороги», «Строительство железных дорог, мостов и транспортных тоннелей» и «Наземные транспортно-технологические средства», «Наземные транспортно-технологические средства», «Строительство»
Методичка по математике Дальневосточный государственный университет путей сообщения Скачать файл
Решенные задания из Контрольной работы N1, l=3, m=3, n=6

Контрольная работа № 1
Элементы линейной и векторной алгебры
Примечание: l=3, m=3, n=6

Задание 1 к разделу 1
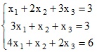
Решить систему алгебраических уравнений:
1) по правилу Крамера;
2) методом Гаусса;
3) матричным способом.


Задание 1 к разделу 2
Даны координаты точек А (0; 2; 3); B (−1; 4; 3); C (5; −1; 6).
Найти:
1) периметр ΔАВС;
2) больший угол ΔАВС;
3) площадь ΔАВС;
4) уравнение прямой (АВ);
5) уравнение плоскости ΔАВС.

Задание 1 к разделу 3
Установить, что векторы a{0; 2; 3}, b{3; −1; 4},c{−5; 1; 2}образуют базис, и найти координаты вектора d в этом базисе, если d{6; 3; 1}.

Подробное решение. Оформлено в Microsoft Word 2003 (Задание решено с использованием редактора формул)

Если не нашли решение своего варианта, вы можете заказать его у нас.
Решение задачи добавил: Massimo, Среда, 21.10.2015

Просмотренные ранее товары

Контрольная работа N1 1 семестр Вариант 2 Уральский государственный экономический университет (УрГЭУ), Екатеринбург Математика
ВУЗ: Уральский государственный экономический университет (УрГЭУ), Екатеринбург Методичка по математике Уральский государственный экономический университет Скачать файл Решенные задания из Контрольная работа N1 (семестр 1), вариант 2 Тема 1. Матрицы и о...
260 руб.
    Корзина
    Ваша корзина пуста
    Валюта

    • 1 руб. = 5.000₸
    • 10 руб. = 0.100 $
    Поиск в магазине
    Группа Vk.com Рынок цифровых товаров plati.market, игры, игровые аккаунты, itunes, appstore, xbox, steam, ключи, пин-коды Сертификат Webmoney www.webmoney.ru

    Пользовательское соглашение | Договор оферты  ЭЙНФЕЛЬД ЛОЛИТА РИЧАРДОВНА ИНН 502205387028
    Решение контрольных работ по высшей математике
    Fizmathim.ru © 2013 - 2026


    Visa, MasterCard, Мир
    Рейтинг@Mail.ru